| 欢迎来到梦题库! 请登录 注册 今天是2026/4/21 |
![]() |
![]() |
12 | ||||
| 课程 | 题库 | 下载 | 答疑 |
第二节 经济增长模型
经济增长模型所要说明的是一个经济社会的长期经济增长与各种相关经济变量之间的数量关系和因果联系。它试图解决两个方面的问题:一是一个经济社会的经济增长主要取决于什么因素的问题;二是一个经济社会的经济能否实现长期均衡增长的问题。
一、哈罗德一多马经济增长模型
20世纪40年代,英国经济学家哈罗德和美国经济学家多马各自创立了内容基本相同的经济增长理论和经济增长模型,被称为哈罗德一多马经济增长模型。但经济学通常以哈罗德经济增长模型作为哈罗德一多马经济增长模型的代表。
哈罗德假定:(1)全社会只生产一种产品,并且生产这种产品只需要资本和劳动两种生产要素;(2)劳动力或人口按一个固定比率增长;(3)不存在资本折旧;(4)不存在技术进步;(5)资本—产出比即资本系数不变;(6)储蓄是国民收入的函数;(7)经济社会是封闭型的,不存在对外贸易;(8)不存在政府对经济的干预。
哈罗德沿用了投资等于储蓄的均衡分析方法,认为只有投资等于储蓄时,经济才能实现均衡增长。在此基础上,哈罗德首先考察了实际经济增长率(G)、储蓄率(s)和资本—产出比(v)三个经济变量之间的关系。
设存量资本(K)与国民收入的比率为资本—产出比(v),即:
V=K/Y
假设在一个经济社会中,伴随着资本存量的增加,国民收入也相应增加。设资本存量的增加即资本增量为(△K),增加的国民收入即国民收入增量为(AY),两者的比率为边际资本—产出比,如果边际资本—产出比与资本产出比相等,则有:
V=△K /△Y
由此可知,资本增量是资本产出比与国民收入增量的乘积,即:
△K=V·△Y
如果不存在固定资产折旧,那么投资(,)就应当与增量资本相等,故有:
I=△K
已知储蓄S是国民收入Y,与储蓄率s的乘积,即S=sY,且经济灼衡的条件是投资等于储蓄,即I=S,故有:
V·△Y=sY
移项整理,就可以得到哈罗德一多马经济增长模型的基本公式:
![]()
根据哈罗德经济增长的基本公式,假定资本—产出比不变,这时,一国的经济增长率就取决于储蓄率。由于经济均衡的条件是投资等于储蓄,因此,储蓄率即资本积累率。储蓄率越高,经济增长率就越高;反之则反。例如,假定资本—产出比为4并且不变,当储蓄率为20%时,经济增长率即为5%,如果储蓄率提高到40%,则经济增长率就会提高到10%。
哈罗德认为,要实现一国经济长期的均衡增长,必须有企业家的意愿做保证,这时的增长率才是有保证的增长率,它是建立在企业家意愿的资本—产出比基础之上的。设有保证的增长率为Gw,企业家意愿的资本—产出比为Vr,则有:
Gw =S/Vr
哈罗德认为,只有在G= Gw时,即实际经济增长率等于有保证的增长率时,经济增长才有可能实现。不过,即使经济增长是有保证的,但如果经济中存在着失业,经济也不能充分实现就业的均衡。要使一个经济社会能够在长期中实现充分就业的均衡,实际经济率(G)和有保证的增长率(Gw)还必须等于能够保证充分就业的经济增长率。设能够保证充分就业的经济增长率为自然增长率(Gn),要实现长期的充分就业的均衡增长,就必须具备如下条件:
G= Gw= Gn
上述条件表明,要使一个经济社会能够实现长期的、有保证的并且能够实现充分就业的均衡增长,实际经济增长率与有保证的增长率必须相等,同时,实际经济增长率也应当与自然增长率相等。
在经济中,是否存在哈罗德一多马模型所指出的长期均衡增长的条件?这个问题在经济学中被称为“存在问题”。假如经济运行偏离了G= Gw = Gn这一增长路径,经济中是否存在一种自动纠正的机制,使经济运行实现新的稳态均衡?这个问题在经济学中被称为“稳定性问题”。由于实际经济增长率、有保证的增长率和自然增长率各自取决于不同的因素,因此当实际经济增长率、有保证的增长率和自然增长率不一致时,经济中不仅没有一种力量能够对这种非均衡进行自我纠正,而且还会产生更大的偏离。这一结论被称为哈罗德“不稳定原理”。因此,哈罗德所提出的实现经济长期均衡增长的条件是很难实现的。人们把这一很难卖现的均衡条件形象地比喻为“刃锋”或“刀刃上的平衡”。这是哈罗德一多马经济增长模型的一大缺陷。
二、新古典经济增长模型
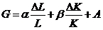
以美国经济学家索洛为主要代表的新古典经济增长模型更强调了技术进步对经济增长的推动作用,认为技术进步是推动经济增长的决定性因素,并提出了测算技术进步对经济增长推动作用的索洛“余值法”。设经济增长率为G,劳动增长率为
,资本增长率为
,技术进步率为A,则有下列关系式:
式中α和β为参数,且α+β=1,它们分别表示劳动和资本对产出(GDP)所作贡献的比例,即贡献权数,亦称劳动产出弹性和资本产出弹性。上式的经济含义是,一个社会的经济增长是由劳动和资本以及技术推动的。由于G、L和K的数据都可以从历史资料的分析中得到,因此,如果用适当的方法估计出d和口值,便可以把技术进步率作为“余值”计算出来,即:
![]()
上式是包括技术进步在内的全要素生产率的重要关系式,即索洛的“余值法”。
用技术进步率除以经济增长率,即得到技术进步对经济增长的贡献。例如,根据美国经济学家丹尼森的计算,从1929 -1973年,美国年均经济增长率约为3%左右,劳动增长率和资本增长率约为2%,劳动产出弹性和资本产出弹性分别为0. 75和0.25。根据索洛余值法,则有技术进步率A=0. 03 -0. 75 x0. 02 -0. 25 x0. 02=1%。因此在这一期间,技术进步对美国经济增长的贡献约为三分之一(1 %/3%)。
索洛认为,一个经济社会要实现长期的并且能够充分就业的经济增长,在假定不存在固定资产折旧的情况下,必须具备下述条件:
![]()
式中:s=S/Y,即储蓄率;f(k)=
,即人均国民收入;
为人均储蓄;
,即人均资本存量;n为劳动力增长率或人口增长率;K是为现有劳动力增加配置的资本,称为资本的深化;nk是为新增劳动力配置的资本,被称为资本的广化。
新古典经济学的均衡增长公式表明,要使一个经济社会的经济能够实现长期的并且充分就业的均衡增长,人均储蓄必须被用于两个方面:一是为现有劳动力配置更多的资本,即实现资本的深化;二是为新增劳动力配置相应数量的资本,即实现资本的广化。只有这样,经济社会才能实现长期的经济增长,并且实现充分就业。索洛认为,在经济生活中,市场机制的作用能够使这一均衡条件自动地得以实现。但是,按照这一均衡条件,实现经济增长率最终只能等于劳动力增长率或人口增长率,这是与实际情况不相符合的,因此,索洛在他的经济增长模型中,又引进了技术进步的因素,认为技术进步是推动一国经济长期增长的源泉。
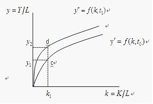
图8-1(1)描述了不存在技术进步条件下,随着人均资本的增加,即资本深化所引起的人均国民收入增长的路径。图8-1(2)描述了存在技术进步条件下人均国民收入增长的路径。


(1)没有技术进步 (2)有技术进步
图8-1增长效应和水平效应
图8-1的纵轴表示人均收入或人均产出,横轴表示人均资本。假定资本K以外的所有生产要素的投入量均不变,只有投入要素K是可变的,即人均产出仅仅是资本的函数。图8-1(1)中,在t0期,不存在技术进步,人均产出曲线为
线。伴随着人均资本
增加到
人均产出由
增加到
这种由于人均资本的增加所引起的经济增长被称为增长效应。
曲线上从a点到b点或整条
曲线即为资本深化所引起的人均产出增长的路径。在图8-1(2)中,随着时间的推移,即从t0到t1,出现了技术进步,技术进步改变了生产函数曲线,即人均产出曲线,使人均产出曲线从
线上移到
线,这时,人均资本虽然没有增加,仍为
,但人均产出却从y1增加到y2这种由于技术进步所引起的经济增长被称为水平效应。在坐标中,经济增长从c点到d点即为技术进步所引起的人均产出的增长路径。可见,技术进步是经济增长的一个重要源泉。
索罗模型虽然把技术进步引进了增长模型,更确切地说明了影响经济增长的因素,并强调了技术进步在经济增长中的作用,但在索洛模型中,技术进步是一个外生变量,这是索洛模型的缺陷。
三、新经济增长理论
进入20世纪90年代以后,随着西方经济发达国家已逐渐进入后工业化时期,知识、人力资本对技术进步以及对经济增长的作用日益显著,梦题库版权所有,于是又出现了“新经济增长理论”。新经济增长理论以美国经济学家罗默和卢卡斯各自创立的罗默经济增长模型和卢卡斯经济增长模型为代表。
在罗默模型中,技术进步是一个内生变量,是知识积累的结果。罗默认为,知识积累是现代社会经济增长的新的源泉,为此,他建立了两时期模型和两部门模型。在两时期模型中,罗默把知识积累作为经济增长的一个独立要素纳入生产函数中,同时又把知识分为一般知识和专业化知识,认为一般知识会产生经济外部性,使所有企业都能获得收益,而专业化知识会产生经济内部性,给个别企业带来收益。但从整个社会来看,知识积累可以使全社会产生递增收益,从而为经济的长期稳定增长提供了保证。在两部门模型中,他把一个经济社会的经济部门划分为物质生产部门和知识积累部门即研究与开发部门,并且建立了物质生产部门和研究与开发部门之间的内在联系,同时建立了产出与技术、资本、劳动、知识积累之间的内在联系,并强调了研究与开发部门在经济增长中的作用。认为一个国家要实现长期的可持续增长,就必须重视研究开发部门的作用,增加研究与开发部门的投入,提高知识积累率。
卢卡斯模型认为,只有特殊的、专业化的人力资本积累才是经济增长的真正源泉。为此,卢卡斯建立了两资本模型和两商品模型。在两资本模型中,卢卡斯将资本分为有形资本和无形资本两种形式,同时又把劳动区分为纯体力的“原始劳动”和具有劳动技能的专业化的人力资本两种类型。并认为只有专业化的人力资本积累才是促进经济增长的源泉。在两商品模型中,卢卡斯认为,通过学校教育产生的是人力资本的内部效应,而边干边掌所产生的是人力资本的外部效应。卢卡斯的两资本模型和两商品模型都是用来表示人力资本积累的增长模型。所不同的是,两资本模型强调人力资本的积累是通过在校学习而形成的,所产生的是内部效应;而两商品模型所强调的是劳动者的时间全部用于商品生产,表明人力资本是通过边干边学形成的,所产生的是外部效应。卢卡斯的两个模型都强调了人力资本对经济增长的作用,并且把人力资本形成的途径归结为两个:正规的学习教育和边干边学。
第二节 经济增长模型
经济增长模型所要说明的是一个经济社会的长期经济增长与各种相关经济变量之间的数量关系和因果联系。它试图解决两个方面的问题:一是一个经济社会的经济增长主要取决于什么因素的问题;二是一个经济社会的经济能否实现长期均衡增长的问题。
一、哈罗德一多马经济增长模型
20世纪40年代,英国经济学家哈罗德和美国经济学家多马各自创立了内容基本相同的经济增长理论和经济增长模型,被称为哈罗德一多马经济增长模型。但经济学通常以哈罗德经济增长模型作为哈罗德一多马经济增长模型的代表。
哈罗德假定:(1)全社会只生产一种产品,并且生产这种产品只需要资本和劳动两种生产要素;(2)劳动力或人口按一个固定比率增长;(3)不存在资本折旧;(4)不存在技术进步;(5)资本—产出比即资本系数不变;(6)储蓄是国民收入的函数;(7)经济社会是封闭型的,不存在对外贸易;(8)不存在政府对经济的干预。
哈罗德沿用了投资等于储蓄的均衡分析方法,认为只有投资等于储蓄时,经济才能实现均衡增长。在此基础上,哈罗德首先考察了实际经济增长率(G)、储蓄率(s)和资本—产出比(v)三个经济变量之间的关系。
设存量资本(K)与国民收入的比率为资本—产出比(v),即:
V=K/Y
假设在一个经济社会中,伴随着资本存量的增加,国民收入也相应增加。设资本存量的增加即资本增量为(△K),增加的国民收入即国民收入增量为(AY),两者的比率为边际资本—产出比,如果边际资本—产出比与资本产出比相等,则有:
V=△K /△Y
由此可知,资本增量是资本产出比与国民收入增量的乘积,即:
△K=V·△Y
如果不存在固定资产折旧,那么投资(,)就应当与增量资本相等,故有:
I=△K
已知储蓄S是国民收入Y,与储蓄率s的乘积,即S=sY,且经济灼衡的条件是投资等于储蓄,即I=S,故有:
V·△Y=sY
移项整理,就可以得到哈罗德一多马经济增长模型的基本公式:
![]()
根据哈罗德经济增长的基本公式,假定资本—产出比不变,这时,一国的经济增长率就取决于储蓄率。由于经济均衡的条件是投资等于储蓄,因此,储蓄率即资本积累率。储蓄率越高,经济增长率就越高;反之则反。例如,假定资本—产出比为4并且不变,当储蓄率为20%时,经济增长率即为5%,如果储蓄率提高到40%,则经济增长率就会提高到10%。
哈罗德认为,要实现一国经济长期的均衡增长,必须有企业家的意愿做保证,这时的增长率才是有保证的增长率,它是建立在企业家意愿的资本—产出比基础之上的。设有保证的增长率为Gw,企业家意愿的资本—产出比为Vr,则有:
Gw =S/Vr
哈罗德认为,只有在G= Gw时,即实际经济增长率等于有保证的增长率时,经济增长才有可能实现。不过,即使经济增长是有保证的,但如果经济中存在着失业,经济也不能充分实现就业的均衡。要使一个经济社会能够在长期中实现充分就业的均衡,实际经济率(G)和有保证的增长率(Gw)还必须等于能够保证充分就业的经济增长率。设能够保证充分就业的经济增长率为自然增长率(Gn),要实现长期的充分就业的均衡增长,就必须具备如下条件:
G= Gw= Gn
上述条件表明,要使一个经济社会能够实现长期的、有保证的并且能够实现充分就业的均衡增长,实际经济增长率与有保证的增长率必须相等,同时,实际经济增长率也应当与自然增长率相等。
在经济中,是否存在哈罗德一多马模型所指出的长期均衡增长的条件?这个问题在经济学中被称为“存在问题”。假如经济运行偏离了G= Gw = Gn这一增长路径,经济中是否存在一种自动纠正的机制,使经济运行实现新的稳态均衡?这个问题在经济学中被称为“稳定性问题”。由于实际经济增长率、有保证的增长率和自然增长率各自取决于不同的因素,因此当实际经济增长率、有保证的增长率和自然增长率不一致时,经济中不仅没有一种力量能够对这种非均衡进行自我纠正,而且还会产生更大的偏离。这一结论被称为哈罗德“不稳定原理”。因此,哈罗德所提出的实现经济长期均衡增长的条件是很难实现的。人们把这一很难卖现的均衡条件形象地比喻为“刃锋”或“刀刃上的平衡”。这是哈罗德一多马经济增长模型的一大缺陷。
二、新古典经济增长模型
以美国经济学家索洛为主要代表的新古典经济增长模型更强调了技术进步对经济增长的推动作用,认为技术进步是推动经济增长的决定性因素,并提出了测算技术进步对经济增长推动作用的索洛“余值法”。设经济增长率为G,劳动增长率为
,资本增长率为
,技术进步率为A,则有下列关系式:
式中α和β为参数,且α+β=1,它们分别表示劳动和资本对产出(GDP)所作贡献的比例,即贡献权数,亦称劳动产出弹性和资本产出弹性。上式的经济含义是,一个社会的经济增长是由劳动和资本以及技术推动的。由于G、L和K的数据都可以从历史资料的分析中得到,因此,如果用适当的方法估计出d和口值,便可以把技术进步率作为“余值”计算出来,即:
![]()
上式是包括技术进步在内的全要素生产率的重要关系式,即索洛的“余值法”。
用技术进步率除以经济增长率,即得到技术进步对经济增长的贡献。例如,根据美国经济学家丹尼森的计算,从1929 -1973年,美国年均经济增长率约为3%左右,劳动增长率和资本增长率约为2%,劳动产出弹性和资本产出弹性分别为0. 75和0.25。根据索洛余值法,则有技术进步率A=0. 03 -0. 75 x0. 02 -0. 25 x0. 02=1%。因此在这一期间,技术进步对美国经济增长的贡献约为三分之一(1 %/3%)。
索洛认为,一个经济社会要实现长期的并且能够充分就业的经济增长,在假定不存在固定资产折旧的情况下,必须具备下述条件:
![]()
式中:s=S/Y,即储蓄率;f(k)=
,即人均国民收入;
为人均储蓄;
,即人均资本存量;n为劳动力增长率或人口增长率;K是为现有劳动力增加配置的资本,称为资本的深化;nk是为新增劳动力配置的资本,被称为资本的广化。
新古典经济学的均衡增长公式表明,要使一个经济社会的经济能够实现长期的并且充分就业的均衡增长,人均储蓄必须被用于两个方面:一是为现有劳动力配置更多的资本,即实现资本的深化;二是为新增劳动力配置相应数量的资本,即实现资本的广化。只有这样,经济社会才能实现长期的经济增长,并且实现充分就业。索洛认为,在经济生活中,市场机制的作用能够使这一均衡条件自动地得以实现。但是,按照这一均衡条件,实现经济增长率最终只能等于劳动力增长率或人口增长率,这是与实际情况不相符合的,因此,索洛在他的经济增长模型中,又引进了技术进步的因素,认为技术进步是推动一国经济长期增长的源泉。
图8-1(1)描述了不存在技术进步条件下,随着人均资本的增加,即资本深化所引起的人均国民收入增长的路径。图8-1(2)描述了存在技术进步条件下人均国民收入增长的路径。


(1)没有技术进步 (2)有技术进步
图8-1增长效应和水平效应
图8-1的纵轴表示人均收入或人均产出,横轴表示人均资本。假定资本K以外的所有生产要素的投入量均不变,只有投入要素K是可变的,即人均产出仅仅是资本的函数。图8-1(1)中,在t0期,不存在技术进步,人均产出曲线为
线。伴随着人均资本
增加到
人均产出由
增加到
这种由于人均资本的增加所引起的经济增长被称为增长效应。
曲线上从a点到b点或整条
曲线即为资本深化所引起的人均产出增长的路径。在图8-1(2)中,随着时间的推移,即从t0到t1,出现了技术进步,技术进步改变了生产函数曲线,即人均产出曲线,使人均产出曲线从
线上移到
线,这时,人均资本虽然没有增加,仍为
,但人均产出却从y1增加到y2这种由于技术进步所引起的经济增长被称为水平效应。在坐标中,经济增长从c点到d点即为技术进步所引起的人均产出的增长路径。可见,技术进步是经济增长的一个重要源泉。
索罗模型虽然把技术进步引进了增长模型,更确切地说明了影响经济增长的因素,并强调了技术进步在经济增长中的作用,但在索洛模型中,技术进步是一个外生变量,这是索洛模型的缺陷。
三、新经济增长理论
进入20世纪90年代以后,随着西方经济发达国家已逐渐进入后工业化时期,知识、人力资本对技术进步以及对经济增长的作用日益显著,梦题库版权所有,于是又出现了“新经济增长理论”。新经济增长理论以美国经济学家罗默和卢卡斯各自创立的罗默经济增长模型和卢卡斯经济增长模型为代表。
在罗默模型中,技术进步是一个内生变量,是知识积累的结果。罗默认为,知识积累是现代社会经济增长的新的源泉,为此,他建立了两时期模型和两部门模型。在两时期模型中,罗默把知识积累作为经济增长的一个独立要素纳入生产函数中,同时又把知识分为一般知识和专业化知识,认为一般知识会产生经济外部性,使所有企业都能获得收益,而专业化知识会产生经济内部性,给个别企业带来收益。但从整个社会来看,知识积累可以使全社会产生递增收益,从而为经济的长期稳定增长提供了保证。在两部门模型中,他把一个经济社会的经济部门划分为物质生产部门和知识积累部门即研究与开发部门,并且建立了物质生产部门和研究与开发部门之间的内在联系,同时建立了产出与技术、资本、劳动、知识积累之间的内在联系,并强调了研究与开发部门在经济增长中的作用。认为一个国家要实现长期的可持续增长,就必须重视研究开发部门的作用,增加研究与开发部门的投入,提高知识积累率。
卢卡斯模型认为,只有特殊的、专业化的人力资本积累才是经济增长的真正源泉。为此,卢卡斯建立了两资本模型和两商品模型。在两资本模型中,卢卡斯将资本分为有形资本和无形资本两种形式,同时又把劳动区分为纯体力的“原始劳动”和具有劳动技能的专业化的人力资本两种类型。并认为只有专业化的人力资本积累才是促进经济增长的源泉。在两商品模型中,卢卡斯认为,通过学校教育产生的是人力资本的内部效应,而边干边掌所产生的是人力资本的外部效应。卢卡斯的两资本模型和两商品模型都是用来表示人力资本积累的增长模型。所不同的是,两资本模型强调人力资本的积累是通过在校学习而形成的,所产生的是内部效应;而两商品模型所强调的是劳动者的时间全部用于商品生产,表明人力资本是通过边干边学形成的,所产生的是外部效应。卢卡斯的两个模型都强调了人力资本对经济增长的作用,并且把人力资本形成的途径归结为两个:正规的学习教育和边干边学。
![]() |
|
| 高级统计师选课中心 | |