欢迎来到梦题库!                  请登录       注册      今天是2026/4/21
12
课程 题库 下载 答疑
你当前的位置:网站首页>>实务精讲

2021年高级统计师实务热点真题精讲54

更新日期:2021/9/7 17:01:16

第二章  经济增长与经济波动

在现实世界中,一方面,不同国家居民的生活水平存在巨大差距;另一方面,即使是同一个国家内,生活水平也会随时间而发生巨大的变化。造成这些差别和变化的根源在于不同国家或同一国家不同时期的经济增长速度存在的差异。本章将重点讨论经济增长的根源以及促进经济增长的政策。

    第一节  经济增长与经济增长的源泉

一、经济增长与经济发展

(一)经济增长

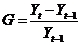
就一般意义而言,经济增长是指一个国家或一个地区在一定时期内的产出与前期相比所实现的增长。产出通常用国内生产总值( GDP)来衡量,因此通常用GDP增长率来度量经济增长率。设为本期或报告期的GDP,为(t-1)期的GDP,则经济增长率(G)就可以用下式表示:

需要注意的是,GDP是一个价值量指标,其价值的变化受价格变化和物量变化两大因素影响。为了在对两个不同时期的价值进行比较时,能够剔除价格变化的影响,反映物量变化,即反映生产活动成果的实际变动,计算经济增长率时,通常采用不变价GDP来计算经济增长率,而不是直接用现价(即当期价格)GDP来计算。所谓不变价GDP,是把按当期价格计算的GDP换算成按某个固定期价格计算的价值,从而消除价格变动的影响。例如,2005年和2006年,我国现价GDP分别为183217.4亿元和213131.7亿元;按2005年价格计算的不变价GDP分别为183217.4亿元和204556.1亿元。如果用现价GDP计算,则2006年的经济增长率为16.3%,然而按照不变价GDP计算,则为11.6%,后者才是官方统计公布的经济增长率数据。

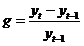
经济增长有时也用人均GDP的增长率来表示。如果用表示本期或报告期的人均GDP,表示(t-1)期的人均GDP,则经济增长率(G)可以用下式表示:

经济增长率的高低体现了一个国家或一个地区在一定时期内产出的增长速度,也是衡量一个国家总体经济实力增长速度的标志。而人均总产出增长率的高低则体现了经济效率的高低。

    (二)经济发展

    经济发展的内涵比经济增长丰富,它不仅意味着经济增长,还包括伴随经济增长过程而出现的技术进步、结构优化、制度变迁、福利改善以及人与自然之间关系的进一步和谐等方面的内容。因此,经济发展是反映一个经济总体发展水平的综合性的概念。

    从经济增长与经济发展的关系来看,经济增长是经济发展的前提、基础和核心,没有一定的经济增长,就不会有经济发展。美国经济学家萨缪尔森曾经这样描述长期经济增长的重要性:持续快速的经济增长使得先进工业国能给它的居民提供更多的福利、更好的食物、更大的住房、更多的医疗,以及对污染的控制,对孩子的普及教育和为退休者提供广泛的补贴。同时,持续快速的经济增长还可以避免政治和社会的动荡。

二、影响长期经济增长的因素

    一个社会的长期经济增长,常常受总供给方面的多种因素的影响。概括地说,它主要取决于生产要素的投入数量和生产要素效率的提高。

    (一)生产要素对经济增长的影响

    生产要素包括劳动、资本和土地及其他自然资源等。由于土地和其他自然资源可以被视为一种特殊形式的资本,因此,劳动和资本常常被看作是影响长期经济增长的两个基本生产要素。如果其他条件是一定的,那么一个经济社会投入的劳动数量和资本数量越多,产出就越多,经济增长就越快。劳动的数量取决于劳动者的人数和劳动时间,在劳动时间不变的情况下,劳动的数量就取决于人口的增长。资本的数量则主要取决于资本积累,包括资本积累的规模和资本积累的速度,也包括引进外资的数量。

    (二)生产要素效率对长期经济增长的影响

    经济增长不仅取决于生产要素的投入数量,而且与生产要素效率的高低相关。如果生产要素投入的数量不变,那么生产要素的效率越高,总产出的增长就越快;反之,生产要素的效率越低,总产出的增长就越慢。生产要素效率的提高,主要表现为劳动者素质的提高、以物质资本形态存在的机器设备的技术水平的提高以及劳动和资本两种要素结合方式的改进。

    影响生产要素效率提高的因素主要有:技术进步,即指通过技术革新、改造、新技术的应用、技术结构的调整和升级来提高生产要素的效率;知识的积累和人力资本的积累,即指可以用于生产过程的一般知识和专业化知识的增加;以及制度创新,即指对现存的具体的社会经济制度,例如政治组织.经济组织、税收制度、教育制度、经济体制等等以及对现有企业制度的变革。

    技术进步、知识和人力资本的积累以及制度创新都会极大地促进生产要素效率的提高,进而促进一个国家或地区的长期经济增长。正是由于这个原因,经济学在分析影响经济增长的因素时,常常把技术进步、知识和人力资本的积累以及制度创新视为除劳动、资本之外的决定长期经济增长的第三因素。

美国经济学家萨缪尔森把人力资源(包括劳动力的供给、教育、纪律、激励)、自然资源(包括土地、矿产、燃料、环境质量)、资本(机器、工厂、道路)和技术(科学、工程、管理、企业家才能)等四个要素视为经济增长的四个轮子。

美国经济学家丹尼森则把影响经济增长的因素分为两大类:生产要素投入量和生产要素的生产率。生产要素投入量包括劳动投入量、资本投入量和土地投入量。其中,土地投入量是不可变的,而劳动投入量和资本投入量都是可变的。丹尼森把生产要素的生产率看作是产出量和投入量的比率,即单位投入量所实现的产出量。据此,丹尼森将影响经济增长的因素归结为7个,即:劳动者的数量以及劳动者的年龄和性别构成;包括非全日制劳动者在内的工作时数;就业人员的受教育程度;资本存量的规模:资源配置状况;规模经济;知识进展。这7个因素中,梦题库版权所有,前四项基本属于生产要素投入量,后三项属于生产要素的生产率。

美国另一位经济学家和统计学家库兹涅茨运用统计分析方法,通过对美国、英国等十几个发达国家100多年来的统计资料进行分类研究,从各国经济增长的差异中探索影响经济增长的因素。他把影响经济增长的因素归结为三个方画,即:生产率的提高;经济结构的变化;知识存量的增长。

实际上,在社会经济发展的不同阶段,各种增长因素对经济增长作用的程度和贡献是不同的。在以手工劳动为基础的传统农业社会中,劳动是促进经济增长的最重要因素。这时,人口的增长和劳动效率的提高就成为经济增长最基本、最重要的源泉。在工业化进程开始以后,随着机器大工业的产生和发展,资本积累和技术进步对经济增长的作用和贡献越来越大。在工业化进程的初期,资本积累曾一度成为制约经济增长的关键。在现代社会中,尽管资本积累对经济增长的作用依然不可低估,但技术进步、知识和人力资本积累以及制度创新对经济增长的促进作用越来越大。正是由于在经济的不同发展阶段会有不同的因素对经济增长起主导作用,所以在现代经济增长理论中出现了多个经济增长模型。

【上一条】   【下一条】
你当前的位置:网站首页>>实务精讲

2021年高级统计师实务热点真题精讲54

更新日期:2021/9/7 17:01:16

第二章  经济增长与经济波动

在现实世界中,一方面,不同国家居民的生活水平存在巨大差距;另一方面,即使是同一个国家内,生活水平也会随时间而发生巨大的变化。造成这些差别和变化的根源在于不同国家或同一国家不同时期的经济增长速度存在的差异。本章将重点讨论经济增长的根源以及促进经济增长的政策。

    第一节  经济增长与经济增长的源泉

一、经济增长与经济发展

(一)经济增长

就一般意义而言,经济增长是指一个国家或一个地区在一定时期内的产出与前期相比所实现的增长。产出通常用国内生产总值( GDP)来衡量,因此通常用GDP增长率来度量经济增长率。设为本期或报告期的GDP,为(t-1)期的GDP,则经济增长率(G)就可以用下式表示:

需要注意的是,GDP是一个价值量指标,其价值的变化受价格变化和物量变化两大因素影响。为了在对两个不同时期的价值进行比较时,能够剔除价格变化的影响,反映物量变化,即反映生产活动成果的实际变动,计算经济增长率时,通常采用不变价GDP来计算经济增长率,而不是直接用现价(即当期价格)GDP来计算。所谓不变价GDP,是把按当期价格计算的GDP换算成按某个固定期价格计算的价值,从而消除价格变动的影响。例如,2005年和2006年,我国现价GDP分别为183217.4亿元和213131.7亿元;按2005年价格计算的不变价GDP分别为183217.4亿元和204556.1亿元。如果用现价GDP计算,则2006年的经济增长率为16.3%,然而按照不变价GDP计算,则为11.6%,后者才是官方统计公布的经济增长率数据。

经济增长有时也用人均GDP的增长率来表示。如果用表示本期或报告期的人均GDP,表示(t-1)期的人均GDP,则经济增长率(G)可以用下式表示:

经济增长率的高低体现了一个国家或一个地区在一定时期内产出的增长速度,也是衡量一个国家总体经济实力增长速度的标志。而人均总产出增长率的高低则体现了经济效率的高低。

    (二)经济发展

    经济发展的内涵比经济增长丰富,它不仅意味着经济增长,还包括伴随经济增长过程而出现的技术进步、结构优化、制度变迁、福利改善以及人与自然之间关系的进一步和谐等方面的内容。因此,经济发展是反映一个经济总体发展水平的综合性的概念。

    从经济增长与经济发展的关系来看,经济增长是经济发展的前提、基础和核心,没有一定的经济增长,就不会有经济发展。美国经济学家萨缪尔森曾经这样描述长期经济增长的重要性:持续快速的经济增长使得先进工业国能给它的居民提供更多的福利、更好的食物、更大的住房、更多的医疗,以及对污染的控制,对孩子的普及教育和为退休者提供广泛的补贴。同时,持续快速的经济增长还可以避免政治和社会的动荡。

二、影响长期经济增长的因素

    一个社会的长期经济增长,常常受总供给方面的多种因素的影响。概括地说,它主要取决于生产要素的投入数量和生产要素效率的提高。

    (一)生产要素对经济增长的影响

    生产要素包括劳动、资本和土地及其他自然资源等。由于土地和其他自然资源可以被视为一种特殊形式的资本,因此,劳动和资本常常被看作是影响长期经济增长的两个基本生产要素。如果其他条件是一定的,那么一个经济社会投入的劳动数量和资本数量越多,产出就越多,经济增长就越快。劳动的数量取决于劳动者的人数和劳动时间,在劳动时间不变的情况下,劳动的数量就取决于人口的增长。资本的数量则主要取决于资本积累,包括资本积累的规模和资本积累的速度,也包括引进外资的数量。

    (二)生产要素效率对长期经济增长的影响

    经济增长不仅取决于生产要素的投入数量,而且与生产要素效率的高低相关。如果生产要素投入的数量不变,那么生产要素的效率越高,总产出的增长就越快;反之,生产要素的效率越低,总产出的增长就越慢。生产要素效率的提高,主要表现为劳动者素质的提高、以物质资本形态存在的机器设备的技术水平的提高以及劳动和资本两种要素结合方式的改进。

    影响生产要素效率提高的因素主要有:技术进步,即指通过技术革新、改造、新技术的应用、技术结构的调整和升级来提高生产要素的效率;知识的积累和人力资本的积累,即指可以用于生产过程的一般知识和专业化知识的增加;以及制度创新,即指对现存的具体的社会经济制度,例如政治组织.经济组织、税收制度、教育制度、经济体制等等以及对现有企业制度的变革。

    技术进步、知识和人力资本的积累以及制度创新都会极大地促进生产要素效率的提高,进而促进一个国家或地区的长期经济增长。正是由于这个原因,经济学在分析影响经济增长的因素时,常常把技术进步、知识和人力资本的积累以及制度创新视为除劳动、资本之外的决定长期经济增长的第三因素。

美国经济学家萨缪尔森把人力资源(包括劳动力的供给、教育、纪律、激励)、自然资源(包括土地、矿产、燃料、环境质量)、资本(机器、工厂、道路)和技术(科学、工程、管理、企业家才能)等四个要素视为经济增长的四个轮子。

美国经济学家丹尼森则把影响经济增长的因素分为两大类:生产要素投入量和生产要素的生产率。生产要素投入量包括劳动投入量、资本投入量和土地投入量。其中,土地投入量是不可变的,而劳动投入量和资本投入量都是可变的。丹尼森把生产要素的生产率看作是产出量和投入量的比率,即单位投入量所实现的产出量。据此,丹尼森将影响经济增长的因素归结为7个,即:劳动者的数量以及劳动者的年龄和性别构成;包括非全日制劳动者在内的工作时数;就业人员的受教育程度;资本存量的规模:资源配置状况;规模经济;知识进展。这7个因素中,梦题库版权所有,前四项基本属于生产要素投入量,后三项属于生产要素的生产率。

美国另一位经济学家和统计学家库兹涅茨运用统计分析方法,通过对美国、英国等十几个发达国家100多年来的统计资料进行分类研究,从各国经济增长的差异中探索影响经济增长的因素。他把影响经济增长的因素归结为三个方画,即:生产率的提高;经济结构的变化;知识存量的增长。

实际上,在社会经济发展的不同阶段,各种增长因素对经济增长作用的程度和贡献是不同的。在以手工劳动为基础的传统农业社会中,劳动是促进经济增长的最重要因素。这时,人口的增长和劳动效率的提高就成为经济增长最基本、最重要的源泉。在工业化进程开始以后,随着机器大工业的产生和发展,资本积累和技术进步对经济增长的作用和贡献越来越大。在工业化进程的初期,资本积累曾一度成为制约经济增长的关键。在现代社会中,尽管资本积累对经济增长的作用依然不可低估,但技术进步、知识和人力资本积累以及制度创新对经济增长的促进作用越来越大。正是由于在经济的不同发展阶段会有不同的因素对经济增长起主导作用,所以在现代经济增长理论中出现了多个经济增长模型。

       
高级统计师选课中心  
培训课程
名师试听
热销套餐
课程名称
试听
价格
报名
高级统计实务教程(有视频无纸质)
98元
历年考试真题含解析无纸质
48元
统计时政热点及备考资料无纸质
98元
高级统计押题密卷含热点(纸质)
158元
高级统计网授班(含题库班全套资料有视频)有纸质
339元
题库班+押题(有纸质)
298元
网授班+押题(有纸质)
439元
网页左侧浮动jquery在线QQ客服代码
  • 客服金老师