| 欢迎来到梦题库! 请登录 注册 今天是2026/4/21 |
![]() |
![]() |
12 | ||||
| 课程 | 题库 | 下载 | 答疑 |
三、多元回归分析
所谓多元回归分析,即一个因变量(随机变量)与一组自变量(非随机变量)的关系问题。由一组自变量来估计或预测一个因变量的趋势值时,建立数学模型及所作的统计分析,称为多元回归分析。
多元线性回归模型的一般表达方程为:
![]()
式中:Yc为因变量,即被估计的量。
x1,x2……Xm为回归因子即为因变量的m个影响因素。
b0,b1,b2……bm称为回归系数。
对于n组数据,y,xi1,xi2,……xim
i=1,2,……,n。
它们满足以下的线性方程组:

为研究方便,上式可化为矩阵形式:
令:

即(1)可化为
Yc=XB
运用最小平方法原理可以求出回归系数。
即:![]()
式中:矩阵X′为矩阵X的转置矩阵。(X′X)-1表示逆矩阵的形式。
上面的计算方法比较复杂,需要借助电子计算机运算。2021年高级统计师报名时间高级统计师考试教材统计时政热点统计师辅导高级统计师历年真购买点图片
表7-8 单位:万元
要求:运用最小平方法求多元回归方程,并预测1989年的价格指数。
【分析与提示】设多元回归直线方程为:
![]()
则借助电子计算机,运用公式B=(X′X)-1X′Yc可得:

所以Yc=76.5830-0.00207x1+0.00079x2-0.00024x3+0.00036X若该市1989年价格补贴为6590万元,工资总额为52490万元,社会商品购买力为256196万元,社会商品零售总额为218560万元。
则该市1989年零售物价指数可以用多元回归方程来预测:
Yc=76.5830-0.00207×6590+0.00079×52490-0.00024×256196+0.00036×218560=121.6034 即该市1989年零售物价指数的预测值为121.60%。
实际上,(1)式中运用最小平方法原理推导出来的标准方程组如下:

【例题6】
表8-9 单位:万元

【分析与提示】按表中建立的多元回归方程为:
Yc=b0+b1x1+b2x2
式中,Yc为二元回归的估计量,b0为常数项,b1和b2是回归系数。b1表示当自变量x2为一定值时,由于自变量x1变化1个单位,而使Y改变的平均值;b2表示当自变量x1为一定值时,由于自变量x2变化1个单位,而使Yc改变的平均值。
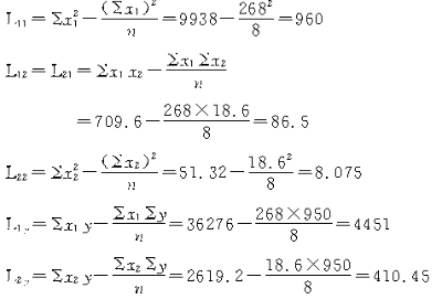
以下分别计算L:

将以上结果代表(2)式得:

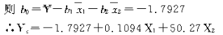
解:方程得出b1=0.1094,b2=50.27

上述二元回归方程说明:如果职工人数固定,当生产性固定资产每增加1万元,则增加值平均增加1094元;如果生产性固定资产固定,当职工人数每增加100人,则增加值平均增加50.27万元。
【例题7】(2006年)在一项关于某种谷物产量的研究中,从10个试验田得到的数据如下表:
|
产量Y |
50 |
52 |
56 |
59 |
62 |
64 |
68 |
69 |
70 |
71 |
|
所施肥料X1 |
38 |
39 |
39 |
41 |
44 |
42 |
43 |
46 |
48 |
47 |
|
土质指数X2 |
50 |
50 |
54 |
56 |
56 |
60 |
64 |
63 |
62 |
60 |
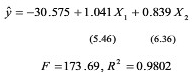
对表中的数据进行多元线性回归分析,模型结果为:

(括号内是t统计量的值)
要求回答:
1.模型参数的经济意义是什么?
2.F统计量、R2和t统计量的值分别说明了什么?
![]()
【分析与提示】
模型参数的经济意义是y代表谷物产量,x1代表所施肥料,x2代表土质指数。
2.F说明回归方程的显著性检验F检验的统计量,R2 是判定系数,t说明回归参数的显著性检验t检验的统计量。
三、多元回归分析
所谓多元回归分析,即一个因变量(随机变量)与一组自变量(非随机变量)的关系问题。由一组自变量来估计或预测一个因变量的趋势值时,建立数学模型及所作的统计分析,称为多元回归分析。
多元线性回归模型的一般表达方程为:
![]()
式中:Yc为因变量,即被估计的量。
x1,x2……Xm为回归因子即为因变量的m个影响因素。
b0,b1,b2……bm称为回归系数。
对于n组数据,y,xi1,xi2,……xim
i=1,2,……,n。
它们满足以下的线性方程组:

为研究方便,上式可化为矩阵形式:
令:

即(1)可化为
Yc=XB
运用最小平方法原理可以求出回归系数。
即:![]()
式中:矩阵X′为矩阵X的转置矩阵。(X′X)-1表示逆矩阵的形式。
上面的计算方法比较复杂,需要借助电子计算机运算。2021年高级统计师报名时间高级统计师考试教材统计时政热点统计师辅导高级统计师历年真购买点图片
表7-8 单位:万元
要求:运用最小平方法求多元回归方程,并预测1989年的价格指数。
【分析与提示】设多元回归直线方程为:
![]()
则借助电子计算机,运用公式B=(X′X)-1X′Yc可得:

所以Yc=76.5830-0.00207x1+0.00079x2-0.00024x3+0.00036X若该市1989年价格补贴为6590万元,工资总额为52490万元,社会商品购买力为256196万元,社会商品零售总额为218560万元。
则该市1989年零售物价指数可以用多元回归方程来预测:
Yc=76.5830-0.00207×6590+0.00079×52490-0.00024×256196+0.00036×218560=121.6034 即该市1989年零售物价指数的预测值为121.60%。
实际上,(1)式中运用最小平方法原理推导出来的标准方程组如下:

【例题6】
表8-9 单位:万元

【分析与提示】按表中建立的多元回归方程为:
Yc=b0+b1x1+b2x2
式中,Yc为二元回归的估计量,b0为常数项,b1和b2是回归系数。b1表示当自变量x2为一定值时,由于自变量x1变化1个单位,而使Y改变的平均值;b2表示当自变量x1为一定值时,由于自变量x2变化1个单位,而使Yc改变的平均值。
以下分别计算L:

将以上结果代表(2)式得:

解:方程得出b1=0.1094,b2=50.27

上述二元回归方程说明:如果职工人数固定,当生产性固定资产每增加1万元,则增加值平均增加1094元;如果生产性固定资产固定,当职工人数每增加100人,则增加值平均增加50.27万元。
【例题7】(2006年)在一项关于某种谷物产量的研究中,从10个试验田得到的数据如下表:
|
产量Y |
50 |
52 |
56 |
59 |
62 |
64 |
68 |
69 |
70 |
71 |
|
所施肥料X1 |
38 |
39 |
39 |
41 |
44 |
42 |
43 |
46 |
48 |
47 |
|
土质指数X2 |
50 |
50 |
54 |
56 |
56 |
60 |
64 |
63 |
62 |
60 |
对表中的数据进行多元线性回归分析,模型结果为:

(括号内是t统计量的值)
要求回答:
1.模型参数的经济意义是什么?
2.F统计量、R2和t统计量的值分别说明了什么?
![]()
【分析与提示】
模型参数的经济意义是y代表谷物产量,x1代表所施肥料,x2代表土质指数。
2.F说明回归方程的显著性检验F检验的统计量,R2 是判定系数,t说明回归参数的显著性检验t检验的统计量。
![]() |
|
| 高级统计师选课中心 | |