| 欢迎来到梦题库! 请登录 注册 今天是2026/4/21 |
![]() |
![]() |
12 | ||||
| 课程 | 题库 | 下载 | 答疑 |
第三节多元相关与回归分析
一、多元相关与回归的概念
前面讨论了两个变量之间的相关与回归的问题。也就是说,研究因变量变化时,仅考虑一个自变量的因素影响,事实上,社会经济现象是相当复杂的,影响因变量的变化不止是一个因素,而是有多个因素。例如,研究粮食产量问题,要考虑到播种面积、化肥施用量、降雨量等多个因素;研究物价指数的变化,要分析社会商品购买力、货币发行量、社会商品消费量、政府价格补贴额等多种因素的影响。
所谓多元相关与回归分析,是指研究一个因变量的数量变动时,要考虑多个因素(至少两个因素)的影响。其基本原理与简单相关分析和简单回归分析类似,但在计算上比较复杂。2021年高级统计师报名时间高级统计师考试教材统计时政热点统计师辅导高级统计师历年真购买点图片
二、复相关系数和偏相关系数
1.复相关系数。前面在研究简单相关分析中,引用相关系数r来反映一个因变量与一个自变量之间的相关关系密切程度。现在也需要引入一个指标,来反映一个因变量与多个自变量之间的相关关系密切程度。这个指标称为复相关系数。换言之,复相关系数是反映一个因变量与多个自变量之间的相关关系密切程度的统计分析指标。用符号Ry 1,2……n表示,其计算公式如下:

复相关系数的数值是介于0和1之间变化的,即0≤R≤1。也就是说,复相关系数只取正值。
如果每个观察值都与根据回归方程式计算的理论估计值相等,则有:
![]()
这时,复相关系数R=1,说明这是配合复回归面的相关密切程度最好的情况。
反之,如果观察值的平均数与每个观察值的离差平方和等于Σ(y-yc)2,即:
![]()
这时,复相关系数R=0,说明这是配合复回归面的相关程度最差的情况。
上述两种情况,一个是完全相关的关系,一个是无相关的关系,一般情况下是少见的。 2.偏相关系数。偏相关既不同于简单相关,也不同于复相关。简单相关只考虑一个固变量与一个自变量之间的相关关系的密切程度。而偏相关考虑的是多个自变量与一个因变量的相关关系问题。与复相关系数不同的是:偏相关系数是将其它变量控制起来,让它们保持固定值,以反映两个特定变量之间的相关关系密切的程度的统计分析指标。
例如,变量x1、x2、x3之间彼此存在相关关系,为了衡量x1和x2之间的相关关系,就要让x3保持不变,计算x1和x2的偏相关系数,用符号r12·3表示。同理r13·2表示当x2保持不变时,x1和x3的相关系数,r23·1表示当x1保持不变时,x2和x3的相关系数。其计算公式如下:

偏相关分析的主要作用是根据实际资料计算偏相关系数,可以判断哪些自变量对因变量的影响较大,从而选择作为必需考虑的自变量。至于那些对因变量影响较小的自变量则可以舍去不顾。这样在计算多元回归时,便能去粗取精,去伪存真,保留一些起主要作用的自变量,来反映因变量的综合平均变动量。
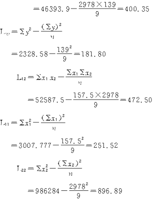
下面举例来说明复相关系数和偏相关系数的计算步骤:
【例题5】某市统计资料
单位:亿元
![]()

要求:根据表中资料计算复相关系数、偏相关系数。
【分析与提示】


复相关系数:

简单相关系数:


偏相关系数:
假定消费品零售额固定,则居民人数与居民货币收入的偏相关系数为:

假定居民人数固定,则消费品零售额与居民货币收入的偏相关系数为:

假定居民货币收入固定,则消费品零售额与居民人数的偏相关系数为:

上述计算可以看出,分别固定其中一个变量,则居民人数与居民货币收入的偏相关系数、消费品零售额与居民货币收入的偏相关系数较高,这说明它们之间的相关关系较为密切,而消费品零售额与居民货币收入的偏相关系数较小,相关关系不太密切。
第三节多元相关与回归分析
一、多元相关与回归的概念
前面讨论了两个变量之间的相关与回归的问题。也就是说,研究因变量变化时,仅考虑一个自变量的因素影响,事实上,社会经济现象是相当复杂的,影响因变量的变化不止是一个因素,而是有多个因素。例如,研究粮食产量问题,要考虑到播种面积、化肥施用量、降雨量等多个因素;研究物价指数的变化,要分析社会商品购买力、货币发行量、社会商品消费量、政府价格补贴额等多种因素的影响。
所谓多元相关与回归分析,是指研究一个因变量的数量变动时,要考虑多个因素(至少两个因素)的影响。其基本原理与简单相关分析和简单回归分析类似,但在计算上比较复杂。2021年高级统计师报名时间高级统计师考试教材统计时政热点统计师辅导高级统计师历年真购买点图片
二、复相关系数和偏相关系数
1.复相关系数。前面在研究简单相关分析中,引用相关系数r来反映一个因变量与一个自变量之间的相关关系密切程度。现在也需要引入一个指标,来反映一个因变量与多个自变量之间的相关关系密切程度。这个指标称为复相关系数。换言之,复相关系数是反映一个因变量与多个自变量之间的相关关系密切程度的统计分析指标。用符号Ry 1,2……n表示,其计算公式如下:

复相关系数的数值是介于0和1之间变化的,即0≤R≤1。也就是说,复相关系数只取正值。
如果每个观察值都与根据回归方程式计算的理论估计值相等,则有:
![]()
这时,复相关系数R=1,说明这是配合复回归面的相关密切程度最好的情况。
反之,如果观察值的平均数与每个观察值的离差平方和等于Σ(y-yc)2,即:
![]()
这时,复相关系数R=0,说明这是配合复回归面的相关程度最差的情况。
上述两种情况,一个是完全相关的关系,一个是无相关的关系,一般情况下是少见的。 2.偏相关系数。偏相关既不同于简单相关,也不同于复相关。简单相关只考虑一个固变量与一个自变量之间的相关关系的密切程度。而偏相关考虑的是多个自变量与一个因变量的相关关系问题。与复相关系数不同的是:偏相关系数是将其它变量控制起来,让它们保持固定值,以反映两个特定变量之间的相关关系密切的程度的统计分析指标。
例如,变量x1、x2、x3之间彼此存在相关关系,为了衡量x1和x2之间的相关关系,就要让x3保持不变,计算x1和x2的偏相关系数,用符号r12·3表示。同理r13·2表示当x2保持不变时,x1和x3的相关系数,r23·1表示当x1保持不变时,x2和x3的相关系数。其计算公式如下:

偏相关分析的主要作用是根据实际资料计算偏相关系数,可以判断哪些自变量对因变量的影响较大,从而选择作为必需考虑的自变量。至于那些对因变量影响较小的自变量则可以舍去不顾。这样在计算多元回归时,便能去粗取精,去伪存真,保留一些起主要作用的自变量,来反映因变量的综合平均变动量。
下面举例来说明复相关系数和偏相关系数的计算步骤:
【例题5】某市统计资料
单位:亿元
![]()

要求:根据表中资料计算复相关系数、偏相关系数。
【分析与提示】


复相关系数:

简单相关系数:


偏相关系数:
假定消费品零售额固定,则居民人数与居民货币收入的偏相关系数为:

假定居民人数固定,则消费品零售额与居民货币收入的偏相关系数为:

假定居民货币收入固定,则消费品零售额与居民人数的偏相关系数为:

上述计算可以看出,分别固定其中一个变量,则居民人数与居民货币收入的偏相关系数、消费品零售额与居民货币收入的偏相关系数较高,这说明它们之间的相关关系较为密切,而消费品零售额与居民货币收入的偏相关系数较小,相关关系不太密切。
![]() |
|
| 高级统计师选课中心 | |