| 欢迎来到梦题库! 请登录 注册 今天是2026/4/21 |
![]() |
![]() |
12 | ||||
| 课程 | 题库 | 下载 | 答疑 |
第二节简单回归分析
一、回归分析的意义
回归这个概念是英国的遗传学家高尔顿首先提出来的,高尔顿在研究子女身高与父母亲身高的关系时,发现一个有趣的事实。身材特别高的父母所生的孩子一般地讲也要高一些,但不是特别高。而身材特别高的孩子,其父母常常是中等偏高的身材。同时身材特别矮的父母所生的孩子一般也矮一些,但并不是特别矮。由此得了一个规律,即子女的平均身高有回复到人类总平均高度的倾向,这就是著名的“回归法则”。
回归这一名词最初用于对血缘关系的研究,现已成为统计上研究社会经济现象间相互关系的通用语。
所谓回归分析,就是对具有相互联系的现象,根据其关系的形态,选择一个合适的数学模式,用来近似地表达变量间平均变化关系。这个数学模式,称为回归方程式。2021年高级统计师报名时间高级统计师考试教材统计时政热点统计师辅导高级统计师历年真购买点图片
回归分析的作用很广泛,特别是社会经济的某一现象受许多错综复杂的因素影响时,回归分析是较为有效的方法。梦题库版权所有,另外在投入产出,统计预测、控制等方面开展统计分析时,都要运用回归法。
二、简单回归分析的特点
简单回归分析是指对两个变量之间的变动关系分析,三个以上变量之间的回归称为复回归。本书介绍的是简单回归分析中的直线回归。
简单直线回归有以下几个特点:
1.两个变量之间不是对等关系,在进行回归分析时,必须根据研究目的,确定哪个是自变量,哪个是因变量。
2.回归方程的主要作用是给出自变量的数值来估计因变量的可能值的。一般情况下,可以求得两个回归方程。一个回归方程只能作一种推算,不能逆转推算。
3.直线回归方程中,自变量的系数称为回归系数。回归系数的符号为正时,表示正相关;回归系数的符号为负时,表示负相关。
4.确定回归方程时,要求因变量是随机的,而自变量是给定的数值。
【例题2】(2009年)请简述相关分析与回归分析的区别和联系。
【分析与提示】
1、相关分析与回归分析的区别
相关分析,两个变量是对等关系。不反映任何自变量和因变量的关系,不分彼此关系。
回归分析,两个变量之间不是对等关系,在进行回归分析时,必须根据研究目的,确定哪个是自变量,哪个是因变量。
相关分析,相关系数具有唯一性。相关系数的数值反映两变量间相关的密切程度。由于两变量的关系是对等的,改变两者的地位不影响相关系数的数值。
回归分析,回归方程的主要作用是给出自变量的数值来估计因变量的可能值的。一般情况下,可以求得两个回归方程。一个回归方程只能作一种推算,不能逆转推算。
相关分析,相关系数具有正负号。相关系数大于零表示正相关,相关系数小于零表示负相关。
回归分析,直线回归方程中,自变量的系数称为回归系数。回归系数的符号为正时,表示正相关;回归系数的符号为负时,表示负相关。
相关分析,计算相关系数对资料的要求是:相关的两个变量均为随机变量。
回归分析,
确定回归方程时,要求因变量是随机的,而自变量是给定的数值。
2、相关分析与回归分析的联系
相关分析与回归分析很多情形下是同时采用的。进行回归分析时离不开对变量的相关分析。
三、简单直线回归方程
简单直线回归方程又称为一元线性回归方程,其基本形式是:
y倚x回归方程:yc=a+bx
x倚y回归方程:xc=c+dy
上式中,a与c分别是两条直线的起点值,在数学的解析几何中称为直线的纵截距。b与d分别是两条直线的斜率,也称为回归系数。下面以y倚x回归方程为例,运用最小平方法给出确定回归直线待定参数a和b的公式。这里讲的最小平方法与第四章时间数列中长期趋势介绍的方法一样,其推导过程请参阅第四章的有关内容,以下直接给出求参数a、b的两个标准方程式:

解方程组得:

以下举例说明确定简单直线回归方程的方法步骤:
【例题3】某工业企业产品产量与单位成本的资料如下:
表8-3
要求:
(1)确定简单直线回归方程,指出产量每增加1千件时,单位成本平均下降多少元? (2)假定产量为7千件时,单位成本为多少元?
(3)若单位成本为72元时,产量应为多少件?
解:(1)设简单直线回归方程为yc=a+bx。
由于产量是给定的数值,即产量是自变量设为x单位成本是被估计的因变量设为y,列计算表如下:
表8-4


即当产量每增加1千件时,单位成本平均下降1.36元。
实际上问题(1)说明的是回归系数的经济意义:当自变量每增加一个单位时,回归系数b为因变量的平均增加量。
(2)当产量为7千件时,单位成本是为:
yc=83.62-1.36×7=74.1元
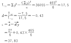
(3)当已知单位成本为72元时,确定产量的简单直线回归方程应设为xc=c+dy

所以xc=37.83-0.43y
当单位成本为72元时,产量应为:
xc=37.83-0.43×72=6.87(千件)
通过以上的例子,可以归纳出简单直线回归分析的步骤。
1.设简单直线回归方程为yc=a+bx。
这里要特别注意:自变量x是给定的数值,因变量是被估计的量,yc是推算出来的因变量的估计值,也称理论值或趋势值。另一个要注意的问题是一个回归方程只能作一种推算,例如,上述yc=83.62-1.36x,只能推算单位成本。不能作逆转推算,当需要推算产品产量时,必须运用回归方程xc=37.83-0.43y。
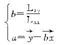
2.求参数a、b,分别用下面的公式。

3.将计算参数a、b的数值代入方程进行回归分析。
四、估计标准误差
回归分析是根据给定的自变量的数值,来推算因变量的估计值。而这个被推算的估计值yc与实际值y存在着误差,这就产生了回归分析推算结果的准确性问题。
估计标准误差就是用来说明回归方程代表性问题的统计分析指标。估计标准误差与回归方程的关系和标志变异指标与平均数的关系雷同。即估计标准误差数值的大小与回归方程代表性的大小成反比。若估计标准误差数值越小,即说明回归方程的代表性就越大;若估计标准误差数值越大,则说明回归方程的代表性就越小。
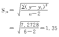
估计标准误差的计算公式为:

其中:Syx为估计标准误差,表示y倚x回归方程;
y是因变量的实际值;
yc是因变量的估计值;
n-2是自由度。
下面通过例题说明估计标准误差的计算步骤。
【例题4】仍以前面的资料来计算
表8-5

回归方程为:yc=83.62-1.36x

若已知直线回归方程的参数值a和b,可用下面的公式计算:

第二节简单回归分析
一、回归分析的意义
回归这个概念是英国的遗传学家高尔顿首先提出来的,高尔顿在研究子女身高与父母亲身高的关系时,发现一个有趣的事实。身材特别高的父母所生的孩子一般地讲也要高一些,但不是特别高。而身材特别高的孩子,其父母常常是中等偏高的身材。同时身材特别矮的父母所生的孩子一般也矮一些,但并不是特别矮。由此得了一个规律,即子女的平均身高有回复到人类总平均高度的倾向,这就是著名的“回归法则”。
回归这一名词最初用于对血缘关系的研究,现已成为统计上研究社会经济现象间相互关系的通用语。
所谓回归分析,就是对具有相互联系的现象,根据其关系的形态,选择一个合适的数学模式,用来近似地表达变量间平均变化关系。这个数学模式,称为回归方程式。2021年高级统计师报名时间高级统计师考试教材统计时政热点统计师辅导高级统计师历年真购买点图片
回归分析的作用很广泛,特别是社会经济的某一现象受许多错综复杂的因素影响时,回归分析是较为有效的方法。梦题库版权所有,另外在投入产出,统计预测、控制等方面开展统计分析时,都要运用回归法。
二、简单回归分析的特点
简单回归分析是指对两个变量之间的变动关系分析,三个以上变量之间的回归称为复回归。本书介绍的是简单回归分析中的直线回归。
简单直线回归有以下几个特点:
1.两个变量之间不是对等关系,在进行回归分析时,必须根据研究目的,确定哪个是自变量,哪个是因变量。
2.回归方程的主要作用是给出自变量的数值来估计因变量的可能值的。一般情况下,可以求得两个回归方程。一个回归方程只能作一种推算,不能逆转推算。
3.直线回归方程中,自变量的系数称为回归系数。回归系数的符号为正时,表示正相关;回归系数的符号为负时,表示负相关。
4.确定回归方程时,要求因变量是随机的,而自变量是给定的数值。
【例题2】(2009年)请简述相关分析与回归分析的区别和联系。
【分析与提示】
1、相关分析与回归分析的区别
相关分析,两个变量是对等关系。不反映任何自变量和因变量的关系,不分彼此关系。
回归分析,两个变量之间不是对等关系,在进行回归分析时,必须根据研究目的,确定哪个是自变量,哪个是因变量。
相关分析,相关系数具有唯一性。相关系数的数值反映两变量间相关的密切程度。由于两变量的关系是对等的,改变两者的地位不影响相关系数的数值。
回归分析,回归方程的主要作用是给出自变量的数值来估计因变量的可能值的。一般情况下,可以求得两个回归方程。一个回归方程只能作一种推算,不能逆转推算。
相关分析,相关系数具有正负号。相关系数大于零表示正相关,相关系数小于零表示负相关。
回归分析,直线回归方程中,自变量的系数称为回归系数。回归系数的符号为正时,表示正相关;回归系数的符号为负时,表示负相关。
相关分析,计算相关系数对资料的要求是:相关的两个变量均为随机变量。
回归分析,
确定回归方程时,要求因变量是随机的,而自变量是给定的数值。
2、相关分析与回归分析的联系
相关分析与回归分析很多情形下是同时采用的。进行回归分析时离不开对变量的相关分析。
三、简单直线回归方程
简单直线回归方程又称为一元线性回归方程,其基本形式是:
y倚x回归方程:yc=a+bx
x倚y回归方程:xc=c+dy
上式中,a与c分别是两条直线的起点值,在数学的解析几何中称为直线的纵截距。b与d分别是两条直线的斜率,也称为回归系数。下面以y倚x回归方程为例,运用最小平方法给出确定回归直线待定参数a和b的公式。这里讲的最小平方法与第四章时间数列中长期趋势介绍的方法一样,其推导过程请参阅第四章的有关内容,以下直接给出求参数a、b的两个标准方程式:

解方程组得:

以下举例说明确定简单直线回归方程的方法步骤:
【例题3】某工业企业产品产量与单位成本的资料如下:
表8-3
要求:
(1)确定简单直线回归方程,指出产量每增加1千件时,单位成本平均下降多少元? (2)假定产量为7千件时,单位成本为多少元?
(3)若单位成本为72元时,产量应为多少件?
解:(1)设简单直线回归方程为yc=a+bx。
由于产量是给定的数值,即产量是自变量设为x单位成本是被估计的因变量设为y,列计算表如下:
表8-4


即当产量每增加1千件时,单位成本平均下降1.36元。
实际上问题(1)说明的是回归系数的经济意义:当自变量每增加一个单位时,回归系数b为因变量的平均增加量。
(2)当产量为7千件时,单位成本是为:
yc=83.62-1.36×7=74.1元
(3)当已知单位成本为72元时,确定产量的简单直线回归方程应设为xc=c+dy

所以xc=37.83-0.43y
当单位成本为72元时,产量应为:
xc=37.83-0.43×72=6.87(千件)
通过以上的例子,可以归纳出简单直线回归分析的步骤。
1.设简单直线回归方程为yc=a+bx。
这里要特别注意:自变量x是给定的数值,因变量是被估计的量,yc是推算出来的因变量的估计值,也称理论值或趋势值。另一个要注意的问题是一个回归方程只能作一种推算,例如,上述yc=83.62-1.36x,只能推算单位成本。不能作逆转推算,当需要推算产品产量时,必须运用回归方程xc=37.83-0.43y。
2.求参数a、b,分别用下面的公式。

3.将计算参数a、b的数值代入方程进行回归分析。
四、估计标准误差
回归分析是根据给定的自变量的数值,来推算因变量的估计值。而这个被推算的估计值yc与实际值y存在着误差,这就产生了回归分析推算结果的准确性问题。
估计标准误差就是用来说明回归方程代表性问题的统计分析指标。估计标准误差与回归方程的关系和标志变异指标与平均数的关系雷同。即估计标准误差数值的大小与回归方程代表性的大小成反比。若估计标准误差数值越小,即说明回归方程的代表性就越大;若估计标准误差数值越大,则说明回归方程的代表性就越小。
估计标准误差的计算公式为:

其中:Syx为估计标准误差,表示y倚x回归方程;
y是因变量的实际值;
yc是因变量的估计值;
n-2是自由度。
下面通过例题说明估计标准误差的计算步骤。
【例题4】仍以前面的资料来计算
表8-5

回归方程为:yc=83.62-1.36x

若已知直线回归方程的参数值a和b,可用下面的公式计算:

![]() |
|
| 高级统计师选课中心 | |