| 欢迎来到梦题库! 请登录 注册 今天是2026/4/21 |
![]() |
![]() |
12 | ||||
| 课程 | 题库 | 下载 | 答疑 |
第三节抽样估计原理和方法
一、抽样估计的特点
抽样估计就是在随机抽样的基础上,以样本指标对总体指标作出估计和判断。由于抽样估计是建立在概率论和数理统计基础上的,因此有必要对抽样估计的特点加以分析,以便对抽样估计原理能够有一定的理解。
1.抽样估计从逻辑上看是一种归纳推断方法。根据抽样调查的概念可以表明,抽样估计是从个别到一般、从部分到总体的一种认识过程。例如,某县对农产量进行抽样调查,从N块播种粮食的耕地中,梦题库版权所有,随机抽出n块播种粮食的耕地,第一块耕地粮食平均亩产量达到600斤,第二块耕地粮食平均亩产量也达到了600斤,……,测量的结果,随机抽出的n块耕地的粮食平均亩产量为600斤。在此基础上,抽样估计的结论是:该县全部耕地粮食平均亩产量在600斤左右,并且这种推断是有一定的把握程度的。显然这种方法是具体到一般(样本到总体)的归纳推断方法,是一种可能性的推理,而不是必然的结论。
2.抽样估计运用的是概率估计法,而不是数学分析法。实际上抽样估计是根据小概率事件原理进行推断的。小概率事件原理认为发生可能性极小的事件,比如概率为0.1%、0.5%、1%等的事件在一次观察或试验中不可能发生,然而,某事件在一次试验或观察中果然发生了,这说明它不是小概率事件。因此用样本指标来推断总体指标是一种概率估计法,而不是必然的结论。
3.抽样估计的结论存在抽样误差。这个特点在上一节中已经有过介绍。抽样误差在抽样调查中是无法避免的、固有的。但可以控制并计算抽样误差。2021年高级统计师报名时间高级统计师考试教材统计时政热点统计师辅导高级统计师历年真购买点图片
二、抽样估计的优良标准
对于确定的总体指标,往往可以采用不同的计算方法,因此求得的样本指标,即估计量不同。这样,就需要比较各种估计量的优劣。一个优良的估计量,应满足以下三个基本标准:
1.无偏性。是指每一次的样本指标与未知总体指标可能不同,也许偏大或偏小。然而一个好的估计量从平均上看应该等于所估计的总体指标。换句话说,样本指标的数值应围绕其总体指标周围波动而无系统的偏差。即:
![]()
2.一致性。是指用样本指标估计总体指标要求当样本容量充分大时,样本指标趋近于总体指标。即对任意正数ε,有:
![]()
3.有效性。是指用样本指标估计总体指标要求作为优良估计量的方应该比其他估计量的方差小。
三、抽样估计方法
抽样估计又称参数估计。是用样本指标来估计推断总体指标。参数估计的方法有两种,一是点估计,二是区间估计。现分述如下:
1.点估计。也称定值估计,就是把样本指标直接作为未知的总体指标的估计值。例如,某城市随机抽选了100户居民,经调查其中有40户拥有冰箱。这个问题的样本成数即拥有冰箱的户数比重为40%。如果运用点估计的方法,可以得出的结论是该城市的总体指标全部居民户拥有冰箱的户数比重为40%。
2.区间估计。是在一定的概率保证程度要求下,根据样本的观察值来估计总体指标在一定的范围内变化。
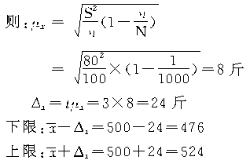
【例题2】某地区进行农产量抽样调查,按不重复方法,随机抽选了100亩小麦耕地,测得平均亩产量为500斤,标准差为80斤,又知道抽样数是小麦耕地的千分之一,当可靠程度为99.73%时,试估计该地区小麦平均亩产量的变化范围。
【分析与提示】
![]()

所以该地区小麦平均亩产量的变化范围为476斤~524斤。
【例题3】某城市按不重复方法随机抽选了100户居民,经调查其中有70户拥有彩电,又知道抽样数是全部居民户的千分之一,当可靠程度为95.45%时,试估计城市居民拥有彩电的户数所占的比重范围。
【分析与提示】

所以该城市居民拥有彩电的户数所占比重的范围为60.84%~79.16%。
从上述例子可以看出区间估计的步骤为:
首先,要确定两项要素指标,即样本指标与抽样极限误差。
其次,计算置信区间:

【例题4】某高校按不重复方法随机抽选百分之一的大学生进行抽样调查,测得他们的身高资料如下:
表7-3
要求:试以94.45%的概率保证估计。
(1)该校全部大学生的平均身高的范围。
(2)该校全部大学生身高在170厘米以上的人数范围。
【分析与提示】题目中的两个要求,一个是样本平均数的问题,另一个是样本成数问题。
表7-4




人数范围的置信区间:
下限:10000×0.155=1550人
上限:10000×0.325=3250人
所以该校全部大学生身高在170厘米以上的人数范围为1550-3250人。
【例题5】(2007年)为了解消费者2007年购买汽车的打算,某调查公司利用国内某知名门户网站汽车栏目进行了一次网上调查。共有10万人自愿参加了此项调查,其中有3万人表示将于2007年购买小汽车。随后,该调查公司发布报告:2007年中国将有30%的居民计划购买小汽车。请对这一结果进行评价。
【分析与提示】互联网调查的特点:1、优点:组织简单,费用低廉; 具较高的保密性和客观性;快速传播和多媒体问卷;采集信息的质量可靠;没有时间和空间的限制;周期短。2、 缺点:样本缺乏代表性;网上调查需要去伪存真;回答率低;不适宜开放性问题的调查。
问题中“将有30%的居民计划购买小汽车”属于点估计值法,这种方法没有考虑到抽样估计的误差。也没有指明误差在一定范围内的概率保证程度,要解决这个问题应该采用区间估计。
第三节抽样估计原理和方法
一、抽样估计的特点
抽样估计就是在随机抽样的基础上,以样本指标对总体指标作出估计和判断。由于抽样估计是建立在概率论和数理统计基础上的,因此有必要对抽样估计的特点加以分析,以便对抽样估计原理能够有一定的理解。
1.抽样估计从逻辑上看是一种归纳推断方法。根据抽样调查的概念可以表明,抽样估计是从个别到一般、从部分到总体的一种认识过程。例如,某县对农产量进行抽样调查,从N块播种粮食的耕地中,梦题库版权所有,随机抽出n块播种粮食的耕地,第一块耕地粮食平均亩产量达到600斤,第二块耕地粮食平均亩产量也达到了600斤,……,测量的结果,随机抽出的n块耕地的粮食平均亩产量为600斤。在此基础上,抽样估计的结论是:该县全部耕地粮食平均亩产量在600斤左右,并且这种推断是有一定的把握程度的。显然这种方法是具体到一般(样本到总体)的归纳推断方法,是一种可能性的推理,而不是必然的结论。
2.抽样估计运用的是概率估计法,而不是数学分析法。实际上抽样估计是根据小概率事件原理进行推断的。小概率事件原理认为发生可能性极小的事件,比如概率为0.1%、0.5%、1%等的事件在一次观察或试验中不可能发生,然而,某事件在一次试验或观察中果然发生了,这说明它不是小概率事件。因此用样本指标来推断总体指标是一种概率估计法,而不是必然的结论。
3.抽样估计的结论存在抽样误差。这个特点在上一节中已经有过介绍。抽样误差在抽样调查中是无法避免的、固有的。但可以控制并计算抽样误差。2021年高级统计师报名时间高级统计师考试教材统计时政热点统计师辅导高级统计师历年真购买点图片
二、抽样估计的优良标准
对于确定的总体指标,往往可以采用不同的计算方法,因此求得的样本指标,即估计量不同。这样,就需要比较各种估计量的优劣。一个优良的估计量,应满足以下三个基本标准:
1.无偏性。是指每一次的样本指标与未知总体指标可能不同,也许偏大或偏小。然而一个好的估计量从平均上看应该等于所估计的总体指标。换句话说,样本指标的数值应围绕其总体指标周围波动而无系统的偏差。即:
![]()
2.一致性。是指用样本指标估计总体指标要求当样本容量充分大时,样本指标趋近于总体指标。即对任意正数ε,有:
![]()
3.有效性。是指用样本指标估计总体指标要求作为优良估计量的方应该比其他估计量的方差小。
三、抽样估计方法
抽样估计又称参数估计。是用样本指标来估计推断总体指标。参数估计的方法有两种,一是点估计,二是区间估计。现分述如下:
1.点估计。也称定值估计,就是把样本指标直接作为未知的总体指标的估计值。例如,某城市随机抽选了100户居民,经调查其中有40户拥有冰箱。这个问题的样本成数即拥有冰箱的户数比重为40%。如果运用点估计的方法,可以得出的结论是该城市的总体指标全部居民户拥有冰箱的户数比重为40%。
2.区间估计。是在一定的概率保证程度要求下,根据样本的观察值来估计总体指标在一定的范围内变化。
【例题2】某地区进行农产量抽样调查,按不重复方法,随机抽选了100亩小麦耕地,测得平均亩产量为500斤,标准差为80斤,又知道抽样数是小麦耕地的千分之一,当可靠程度为99.73%时,试估计该地区小麦平均亩产量的变化范围。
【分析与提示】
![]()

所以该地区小麦平均亩产量的变化范围为476斤~524斤。
【例题3】某城市按不重复方法随机抽选了100户居民,经调查其中有70户拥有彩电,又知道抽样数是全部居民户的千分之一,当可靠程度为95.45%时,试估计城市居民拥有彩电的户数所占的比重范围。
【分析与提示】

所以该城市居民拥有彩电的户数所占比重的范围为60.84%~79.16%。
从上述例子可以看出区间估计的步骤为:
首先,要确定两项要素指标,即样本指标与抽样极限误差。
其次,计算置信区间:

【例题4】某高校按不重复方法随机抽选百分之一的大学生进行抽样调查,测得他们的身高资料如下:
表7-3
要求:试以94.45%的概率保证估计。
(1)该校全部大学生的平均身高的范围。
(2)该校全部大学生身高在170厘米以上的人数范围。
【分析与提示】题目中的两个要求,一个是样本平均数的问题,另一个是样本成数问题。
表7-4




人数范围的置信区间:
下限:10000×0.155=1550人
上限:10000×0.325=3250人
所以该校全部大学生身高在170厘米以上的人数范围为1550-3250人。
【例题5】(2007年)为了解消费者2007年购买汽车的打算,某调查公司利用国内某知名门户网站汽车栏目进行了一次网上调查。共有10万人自愿参加了此项调查,其中有3万人表示将于2007年购买小汽车。随后,该调查公司发布报告:2007年中国将有30%的居民计划购买小汽车。请对这一结果进行评价。
【分析与提示】互联网调查的特点:1、优点:组织简单,费用低廉; 具较高的保密性和客观性;快速传播和多媒体问卷;采集信息的质量可靠;没有时间和空间的限制;周期短。2、 缺点:样本缺乏代表性;网上调查需要去伪存真;回答率低;不适宜开放性问题的调查。
问题中“将有30%的居民计划购买小汽车”属于点估计值法,这种方法没有考虑到抽样估计的误差。也没有指明误差在一定范围内的概率保证程度,要解决这个问题应该采用区间估计。
![]() |
|
| 高级统计师选课中心 | |