| 欢迎来到梦题库! 请登录 注册 今天是2026/4/21 |
![]() |
![]() |
12 | ||||
| 课程 | 题库 | 下载 | 答疑 |
第四节平均指标构成指数
平均指标构成指数也是总指数的一种形式,与综合指数和平均数指数所不同的是它的分子和分母均为平均指标,换言之,平均指标构成指数是由两个平均指标对此而成的指数。
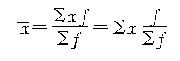
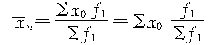
以下让我们首先复习一下前面所学过的平均指标的计算公式:

式中:x为工资水平,f为职工人数
则:
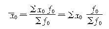
基期的平均工资:

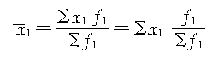
报告期的平均工资:

假定期的平均工资:
![]()
平均指标成指数有三种形式,分别为可变构成指数、固定构成指数、结构变动影响指数。
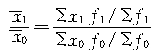
一、可变构成指数
反映总平均指标变动方向和程度的指数,称为可变构成指数。其计算公式如下:

2021年高级统计师报名时间高级统计师考试教材统计时政热点统计师辅导高级统计师历年真购买点图片
【例题7】某企业资料如下:
表6-7
【分析与提示】
根据表中资料计算:


计算结果表明,今年工人总平均工资比去年提高了13.33%,总平均工资增加了15.8元。
二、固定构成指数
固定的构成指数是将总体的结构固定在报告期上,借以测定各组平均水平变动方向和程度的指数。其计算公式如下:
仍以表6-7的资料为例进行计算。
固定构成指数:

计算结果表明,消除工人结构这一变动的影响,今年工人平均工资水平比去年提高了14.98%,同时由于工资水平这一因素的变动使平均工资增加了17.5元。
三、结构变动影响指数
结构变动影响指数是将各组平均水平这个因素固定在基期,借以测定总体结构变动影响程度的指数。其计算公式如下:

仍以表6-7的资料为例进行计算。
结构影响指数:

计算结果表明,消除各组工人平均工资水平变动的影响,单纯由各组工人结构的变动影响使今年的平均工资比去年下降了1.43%,平均每人的工资减少了1.7元。
第四节平均指标构成指数
平均指标构成指数也是总指数的一种形式,与综合指数和平均数指数所不同的是它的分子和分母均为平均指标,换言之,平均指标构成指数是由两个平均指标对此而成的指数。
以下让我们首先复习一下前面所学过的平均指标的计算公式:

式中:x为工资水平,f为职工人数
则:
基期的平均工资:

报告期的平均工资:

假定期的平均工资:
![]()
平均指标成指数有三种形式,分别为可变构成指数、固定构成指数、结构变动影响指数。
一、可变构成指数
反映总平均指标变动方向和程度的指数,称为可变构成指数。其计算公式如下:

2021年高级统计师报名时间高级统计师考试教材统计时政热点统计师辅导高级统计师历年真购买点图片
【例题7】某企业资料如下:
表6-7
【分析与提示】
根据表中资料计算:


计算结果表明,今年工人总平均工资比去年提高了13.33%,总平均工资增加了15.8元。
二、固定构成指数
固定的构成指数是将总体的结构固定在报告期上,借以测定各组平均水平变动方向和程度的指数。其计算公式如下:
仍以表6-7的资料为例进行计算。
固定构成指数:

计算结果表明,消除工人结构这一变动的影响,今年工人平均工资水平比去年提高了14.98%,同时由于工资水平这一因素的变动使平均工资增加了17.5元。
三、结构变动影响指数
结构变动影响指数是将各组平均水平这个因素固定在基期,借以测定总体结构变动影响程度的指数。其计算公式如下:

仍以表6-7的资料为例进行计算。
结构影响指数:

计算结果表明,消除各组工人平均工资水平变动的影响,单纯由各组工人结构的变动影响使今年的平均工资比去年下降了1.43%,平均每人的工资减少了1.7元。
![]() |
|
| 高级统计师选课中心 | |