| 欢迎来到梦题库! 请登录 注册 今天是2026/4/21 |
![]() |
![]() |
12 | ||||
| 课程 | 题库 | 下载 | 答疑 |
第三节平均数指数
平均数指数是个体指数的平均数,它是从个体指数出发来编制总指数的,即先计算的数量指标或质量指标的个体指数,然后加以平均以测定经济现象的变动状况。平均数指数按是否加权分为简单平均数指数和加权平均数指数两种。
一、简单平均数指数
1.简单算术平均数指数。简单算术平均数指数是各个体指数的简单算术平均数,其一般公式为:
![]()
式中:I1,I2,……,In均为个体指数。
【例题3】某地区集贸市场资料如下:
表6-3
要求:计算三种商品的简单算术平均数价格指数。
【分析与提示】
2021年高级统计师报名时间高级统计师考试教材统计时政热点统计师辅导高级统计师历年真购买点图片
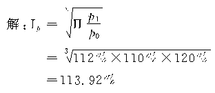
2.简单几何平均数指数。简单几何平均数指数是各个体指数的简单几何平均数,其一般公式为:
![]()
仍以表6-3的资料为例来计算三种商品的简单几何平均数价格指数。

除以上两种简单平均数指数以外,还可以用调和法、中位数法和众数法计算简单平均数指数。
由于简单平均数指数没有考虑到权数问题,事实上当某一种商品的价格指数过高(或过低)时,这样计算的总指数难于准确的反映实际情况,因此实际工作中较少采用。
二、加权平均数指数
加权平均数指数常用的基本形式有两种,一是加权算术平均数指数,二是加权调和平均数指数。以下按不同的权数分述如下:
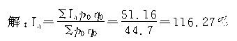
1.基期加权算术平均法。它是以基期的价值指标作为权数的加权算术平均数指数。其计算公式如下:

从公式中可以看出:对于个体质量指标指数或个体数量指标指数给以特定的基期权数
p0q0,则加权算术平均数指数可以变形为相应的拉氏综合指数。
以下举例说明其计算方法。
【例题4】某地区集贸市场资料如下:
表6-4
要求:计算三种商品的销售量总指数。
【分析与提示】

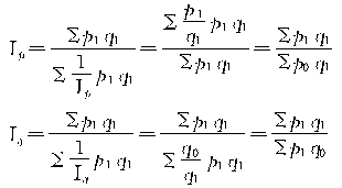
2.报告期加权调和平均法。它是以报告期的价值指标作为权数的加权调和平均数指数。其计算公式如下:

从公式中可以看出:对于个体质量指标指数或个体数量指标指数给以特定的报告期权数p1q1,则加权调和平均数指数可以变形为相应的派氏综合指数。
【例题5】某商店资料如下:
表6-5
要求:计算三种商品的物价总指数。
【分析与提示】

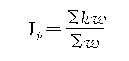
3.比重形式的固定权数平均法。它是以比重形式的固定权数来计算的平均数指数。我国现行的零售物价指数就是采用这种方法编制的。其计算公式如下:

式中:
,k是个体价格指数或是类价格指数。
第三节平均数指数
平均数指数是个体指数的平均数,它是从个体指数出发来编制总指数的,即先计算的数量指标或质量指标的个体指数,然后加以平均以测定经济现象的变动状况。平均数指数按是否加权分为简单平均数指数和加权平均数指数两种。
一、简单平均数指数
1.简单算术平均数指数。简单算术平均数指数是各个体指数的简单算术平均数,其一般公式为:
![]()
式中:I1,I2,……,In均为个体指数。
【例题3】某地区集贸市场资料如下:
表6-3
要求:计算三种商品的简单算术平均数价格指数。
【分析与提示】
2021年高级统计师报名时间高级统计师考试教材统计时政热点统计师辅导高级统计师历年真购买点图片
2.简单几何平均数指数。简单几何平均数指数是各个体指数的简单几何平均数,其一般公式为:
![]()
仍以表6-3的资料为例来计算三种商品的简单几何平均数价格指数。

除以上两种简单平均数指数以外,还可以用调和法、中位数法和众数法计算简单平均数指数。
由于简单平均数指数没有考虑到权数问题,事实上当某一种商品的价格指数过高(或过低)时,这样计算的总指数难于准确的反映实际情况,因此实际工作中较少采用。
二、加权平均数指数
加权平均数指数常用的基本形式有两种,一是加权算术平均数指数,二是加权调和平均数指数。以下按不同的权数分述如下:
1.基期加权算术平均法。它是以基期的价值指标作为权数的加权算术平均数指数。其计算公式如下:

从公式中可以看出:对于个体质量指标指数或个体数量指标指数给以特定的基期权数
p0q0,则加权算术平均数指数可以变形为相应的拉氏综合指数。
以下举例说明其计算方法。
【例题4】某地区集贸市场资料如下:
表6-4
要求:计算三种商品的销售量总指数。
【分析与提示】

2.报告期加权调和平均法。它是以报告期的价值指标作为权数的加权调和平均数指数。其计算公式如下:

从公式中可以看出:对于个体质量指标指数或个体数量指标指数给以特定的报告期权数p1q1,则加权调和平均数指数可以变形为相应的派氏综合指数。
【例题5】某商店资料如下:
表6-5
要求:计算三种商品的物价总指数。
【分析与提示】

3.比重形式的固定权数平均法。它是以比重形式的固定权数来计算的平均数指数。我国现行的零售物价指数就是采用这种方法编制的。其计算公式如下:

式中:
,k是个体价格指数或是类价格指数。
![]() |
|
| 高级统计师选课中心 | |