| 欢迎来到梦题库! 请登录 注册 今天是2026/4/21 |
![]() |
![]() |
12 | ||||
| 课程 | 题库 | 下载 | 答疑 |
第二节 时间数列的水平分析
时间数列的动态分析主要有水平分析和速度分析两种。水平分析主要有发展水平,平均发展水平、增长量、平均增长量四种指标。速度分析主要有发展速度、增长速度、平均发展速度、平均增长速度四种指标。水平分析是速度分析的基础,速度分析是水平分析的深入和继续。
一、发展水平和平均发展水平
(一)发展水平。时间数列中的每个指标数值叫做发展水平或时间数列水平。它可以是总量指标,也可以是相对指标或平均指标
时间数列中第一个指标数值称为最初水平,最后一个指标数值称为最末水平,其余各个指标数值称为中间水平。
设时间数列为:
a0,a1,a2,a3,……,an-1,an
其中:a0称最初水平,an称最末水平。
发展水平根据作用不同,有基期水平和报告期水平之分。报告期水平一般是指时间在后的那个时期的发展水平,又称计算期水平。基期水平和报告期水平分别以a0和a1表示。2021年高级统计师报名时间高级统计师考试教材统计时政热点统计师辅导高级统计师历年真购买点图片
(二)平均发展水平一序时平均数。平均发展水平是对不同时期的发展水平求平均数,也称序时平均数或动态平均数。它与静态平均数有共同之处,都是将现象的数量差异抽象化,作为其代表水平的。彼此又有区别。序时平均数是根据时间数列来计算的,是社会经济现象在不同时间上的数量差异抽象化,从动态上说明其在一段时间内的代表水平。而静态平均数是根据静态数列来计算的,是社会经济现象在同一时间上的数量差异抽象化,从静态上说明其在具体历史条件下的代表水平。
序时平均数可以对总量指标时间数列、相对指标时间数列、平均指标时间数列进行计算。从方法上说,对总量指标时间数列的计算是最基本的,其余对另外两种时间数列的序时平均数,也是由此派生而成的。
1.总量指标时间数列的序时平均数
总量指标时间数列的序时平均数有时期数列和时点数列两种不同的计算方法。
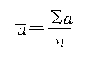
(一)时期数列的序时平均数。一般采用简单算术平均法,其计算公式如下:

【例题1】某工业企业资料如下:
表4-2 单位:万元

【分析与提示】
![]()
这里提请大家注意的是除了公式的应用条件之外,分母“n”要与序时平均数计算问题中的日历数相一致。
(二)时点数列的序时平均数。时点数列有逐日登记和间断登记两种情况。
以下先研究间断时点数列问题:
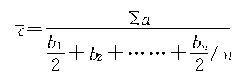
(1)时间间隔相等时,按“首末折半法”计算,公式如下:

【例题2】某银行储蓄所资料如下:
表4-3 单位:万元

要求:计算一季度月平均储蓄额。
【分析与提示】
本例题的经济关系式应如下:

然而资料中仅有时间的端点值,即月初资料,假定资料的变动是呈均匀状况的,则可用其平均数作为各月份的储蓄额代表值。


以上不仅介绍了“首末折半法”的计算,同时又说明了公式的推导过程。
在运用“首末折半法”公式时,注意以下几个问题:
①应用公式时,是假定了相邻点的数值变化是均匀的。
②公式的应用条件是时点数列,间隔相等,且均为时间的端点值。即月(季、年)初或月(季、年)末的数值。
③计算时运用数列的项数应该比日历数多l而分母“n-1”必须与日历数一致。
(2)时间间隔不相等时,其计算公式如下:

其中:f为时间间隔,表示权数
【例题3】某地区生猪存栏数资料如下:
表4-4 单位:百头

要求:计算该地区全年平均生猪存栏数。
【分析与提示】

![]()
与“首末折半法”相.类似,运用公式时,应注意以下几个问题:
①应用公式时,是假定了相邻点的数值变化是均匀的。
②公式的应用条件是时点数列,间隔不相等,且均为时间的端点值。即月(季、年)初或月(季、年)末的数值。
③分母“∑f”必须与日历数相一致。
(3)时间数列以天为时点来计算时,有两种计算公式,分述如下:
方法一:简单算术平均法:

此公式的应用条件是已知某时间内每日的资料,运用简单算术平均法。
方法二:加权算术平均法:

其中:f为时间权数。
【例题4】某企业2013年元月份的钢材库存置,只在发生变动时登记:
表 4-5 单位:

要求:计算元月份钢材平均库存量。
【分析与提示】

2.相对指标或平均指标时间数列的序时平均数
相对指标或平均指标一般是由具有互相联系的两个总量指标进行对比而计算的,其形式如下:
![]()
其中:c代表相对数或平均数,a代表分子项,b代表分母项。
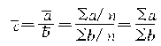
则相对指标或平均指标时间数列的序时平均数的基本公式如下:

其中c代表相对指标或平均指标时间序列的序时平均数,a代表分子项的 序时平均数,b代表分母项的序时平均数。
由于分子与分母项分别是由时期数列或时点数列构成的,所以大体有以下三种类型:
(一)分子、分母均为时期数列。其基本公式如下:

(1)缺分子a项,则公式如下:
![]()
(2)缺分母b项,则公式如下:

(二)分子、分母均为时点数列。其计算公式有两种:
公式一:

公式二:

(三)分子为时期数列,分母为时点数列。计算公式如下:
(1)全时期月序时平均数公式:

(2)全时期序时平均数公式:

【例题5】某工业企业资料如下:
表4-6
要求计算:(1) 一季度月平均劳动生产率。
(2) 一季度平均劳动生产率。
【分析与提示】
解:(1)一季度月平均劳动生产率

(2) 一季度平均劳动生产率=0.3×3= 0.9万元/人
二、增长量和平均增长量
(一)增长量。是报告期水平与基础水平的差额。即:
增长量=报告期水平-基期水平=a1-a0
增长量由于选择的基期不同,可分为逐期增长量和累计增长量。(也可称为环比增长量和定基增长量)
逐期增长量报告期水平减去前一期水平,说明现象逐期增加的数量;
累计增长量是报告期水平减去某一固定期水平,说明现象在某一时期内的总增长量。
计算公式如下:
逐期增长量:
-
,
-
,……,
-
累计增长量:
-
,
-
,……,
-![]()
二者的关系如下:
( 1)累计增长量等于逐期增长量的总和,即:
(
-
)+(
-
)+……+(
-
)=
-![]()
(2)相邻两期的累计增长量之差等于相应的逐期增长量,即
(
-
) -(
-
)=
-
(二)平均增长量。它是增长量的序时平均数。计算公式如下:

从计算公式来看,平均增长量是将逐期增长量相加之后,除以其项数,或将累计增长量除以时间数列的项数减1。
第二节 时间数列的水平分析
时间数列的动态分析主要有水平分析和速度分析两种。水平分析主要有发展水平,平均发展水平、增长量、平均增长量四种指标。速度分析主要有发展速度、增长速度、平均发展速度、平均增长速度四种指标。水平分析是速度分析的基础,速度分析是水平分析的深入和继续。
一、发展水平和平均发展水平
(一)发展水平。时间数列中的每个指标数值叫做发展水平或时间数列水平。它可以是总量指标,也可以是相对指标或平均指标
时间数列中第一个指标数值称为最初水平,最后一个指标数值称为最末水平,其余各个指标数值称为中间水平。
设时间数列为:
a0,a1,a2,a3,……,an-1,an
其中:a0称最初水平,an称最末水平。
发展水平根据作用不同,有基期水平和报告期水平之分。报告期水平一般是指时间在后的那个时期的发展水平,又称计算期水平。基期水平和报告期水平分别以a0和a1表示。2021年高级统计师报名时间高级统计师考试教材统计时政热点统计师辅导高级统计师历年真购买点图片
(二)平均发展水平一序时平均数。平均发展水平是对不同时期的发展水平求平均数,也称序时平均数或动态平均数。它与静态平均数有共同之处,都是将现象的数量差异抽象化,作为其代表水平的。彼此又有区别。序时平均数是根据时间数列来计算的,是社会经济现象在不同时间上的数量差异抽象化,从动态上说明其在一段时间内的代表水平。而静态平均数是根据静态数列来计算的,是社会经济现象在同一时间上的数量差异抽象化,从静态上说明其在具体历史条件下的代表水平。
序时平均数可以对总量指标时间数列、相对指标时间数列、平均指标时间数列进行计算。从方法上说,对总量指标时间数列的计算是最基本的,其余对另外两种时间数列的序时平均数,也是由此派生而成的。
1.总量指标时间数列的序时平均数
总量指标时间数列的序时平均数有时期数列和时点数列两种不同的计算方法。
(一)时期数列的序时平均数。一般采用简单算术平均法,其计算公式如下:

【例题1】某工业企业资料如下:
表4-2 单位:万元

【分析与提示】
![]()
这里提请大家注意的是除了公式的应用条件之外,分母“n”要与序时平均数计算问题中的日历数相一致。
(二)时点数列的序时平均数。时点数列有逐日登记和间断登记两种情况。
以下先研究间断时点数列问题:
(1)时间间隔相等时,按“首末折半法”计算,公式如下:

【例题2】某银行储蓄所资料如下:
表4-3 单位:万元

要求:计算一季度月平均储蓄额。
【分析与提示】
本例题的经济关系式应如下:

然而资料中仅有时间的端点值,即月初资料,假定资料的变动是呈均匀状况的,则可用其平均数作为各月份的储蓄额代表值。


以上不仅介绍了“首末折半法”的计算,同时又说明了公式的推导过程。
在运用“首末折半法”公式时,注意以下几个问题:
①应用公式时,是假定了相邻点的数值变化是均匀的。
②公式的应用条件是时点数列,间隔相等,且均为时间的端点值。即月(季、年)初或月(季、年)末的数值。
③计算时运用数列的项数应该比日历数多l而分母“n-1”必须与日历数一致。
(2)时间间隔不相等时,其计算公式如下:

其中:f为时间间隔,表示权数
【例题3】某地区生猪存栏数资料如下:
表4-4 单位:百头

要求:计算该地区全年平均生猪存栏数。
【分析与提示】

![]()
与“首末折半法”相.类似,运用公式时,应注意以下几个问题:
①应用公式时,是假定了相邻点的数值变化是均匀的。
②公式的应用条件是时点数列,间隔不相等,且均为时间的端点值。即月(季、年)初或月(季、年)末的数值。
③分母“∑f”必须与日历数相一致。
(3)时间数列以天为时点来计算时,有两种计算公式,分述如下:
方法一:简单算术平均法:

此公式的应用条件是已知某时间内每日的资料,运用简单算术平均法。
方法二:加权算术平均法:

其中:f为时间权数。
【例题4】某企业2013年元月份的钢材库存置,只在发生变动时登记:
表 4-5 单位:

要求:计算元月份钢材平均库存量。
【分析与提示】

2.相对指标或平均指标时间数列的序时平均数
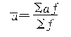
相对指标或平均指标一般是由具有互相联系的两个总量指标进行对比而计算的,其形式如下:
![]()
其中:c代表相对数或平均数,a代表分子项,b代表分母项。
则相对指标或平均指标时间数列的序时平均数的基本公式如下:

其中c代表相对指标或平均指标时间序列的序时平均数,a代表分子项的 序时平均数,b代表分母项的序时平均数。
由于分子与分母项分别是由时期数列或时点数列构成的,所以大体有以下三种类型:
(一)分子、分母均为时期数列。其基本公式如下:

(1)缺分子a项,则公式如下:
![]()
(2)缺分母b项,则公式如下:

(二)分子、分母均为时点数列。其计算公式有两种:
公式一:

公式二:

(三)分子为时期数列,分母为时点数列。计算公式如下:
(1)全时期月序时平均数公式:

(2)全时期序时平均数公式:

【例题5】某工业企业资料如下:
表4-6
要求计算:(1) 一季度月平均劳动生产率。
(2) 一季度平均劳动生产率。
【分析与提示】
解:(1)一季度月平均劳动生产率

(2) 一季度平均劳动生产率=0.3×3= 0.9万元/人
二、增长量和平均增长量
(一)增长量。是报告期水平与基础水平的差额。即:
增长量=报告期水平-基期水平=a1-a0
增长量由于选择的基期不同,可分为逐期增长量和累计增长量。(也可称为环比增长量和定基增长量)
逐期增长量报告期水平减去前一期水平,说明现象逐期增加的数量;
累计增长量是报告期水平减去某一固定期水平,说明现象在某一时期内的总增长量。
计算公式如下:
逐期增长量:
-
,
-
,……,
-
累计增长量:
-
,
-
,……,
-![]()
二者的关系如下:
( 1)累计增长量等于逐期增长量的总和,即:
(
-
)+(
-
)+……+(
-
)=
-![]()
(2)相邻两期的累计增长量之差等于相应的逐期增长量,即
(
-
) -(
-
)=
-
(二)平均增长量。它是增长量的序时平均数。计算公式如下:

从计算公式来看,平均增长量是将逐期增长量相加之后,除以其项数,或将累计增长量除以时间数列的项数减1。
![]() |
|
| 高级统计师选课中心 | |