| 欢迎来到梦题库! 请登录 注册 今天是2026/4/22 |
![]() |
![]() |
12 | ||||
| 课程 | 题库 | 下载 | 答疑 |
第三节 资产负债变动核算
一、资产负债变动的原因
在上节的案例分析中我们注意到,无论经济总体还是各机构部门,它们的资产负债存量从期初到期末都发生了一定的变动。那么,这种变动是如何引起的?怎样对这种变动进行系统的核算?本节将回答这些问题。
从一定时期来看,可能导致资产负债存量发生变动的原因有很多。但我们总是可以将其归入下列四类中的某一类:
(1)由于各种非金融资产交易而引致的非金融资产的变动;
(2)由于各种金融交易而引致的金融资产或负债的变动;
(3)由于战争和资源发现等非交易因素而引致的资产或负债的数量变动;
(4)由于价格波动而引致的资产或负债的持有损益。
上面的(1)(2)两项与当期的经济交易(积累交易)有关。这些交易具体包括:资本转移,固定资产的获得和处置,土地改良等其他形式的固定资本形成,存货的获得和处置,贵重物品的获得和处置,土地及其他非生产非金融资产的获得和处置,以及各种金融交易。值得注意的是,经常交易的最后结余(正的净储蓄)构成积累的资金来源,最终将被用于金融或非金融投资;而经常交易的赤字(负的净储蓄)最终也要通过金融交易来弥补。因此,“储蓄”实际上集中体现了各种经常交易对资产、负债和净值的间接影响,也可视为积累过程的初始来源。由于各种积累交易所引起的资金运动也属于资金流量核算的范畴,在第五章中已经做了详细的讨论,这里不再赘述。
上面的(3)(4)两项与当期的经济交易无关,包括了各种非交易因素所引致的资产、负债和净值的变动,一般称之为“其他经济流量(非交易流量)”。具体说,第(3)项仅指各种外生因素或意外事件所引起的资产负债的数量(数额)变动,与资产负债的价格变动无关,主要包括战争和自然灾害造成的资产毁损,自然资源的经济发现,历史文化遗产首次被发现或承认,无偿没收或分类变化等引起的资产负债数量的变动,特别提款权的分配或取消,黄金的货币化或非货币化,专利等知识产权和其他非生产无形资产的创造,等等。第(4)项则仅指纯粹由于资产负债项目的价格(以及汇率和利率等)变动所引起的资产负债经济价值的变动,而与资产负债的任何数量变动无关。为区别起见,一般把第(3)项叫做资产负债的“外生数量变动”,而把第(4)项叫做资产负债的“持有损益”。由于它们会引起资产负债的变动,
这与“积累交易”非常相似,所以,SNA也将其统称为“其他积累流量(登录)”。
资产负债变动核算旨在对一定时期资产负债存量的各种变动进行系统描述。显然,这里不仅需要反映各种积累交易所引起的资产负债变动,而且需要对资产负债的各种“外生数量变动”和“持有损益”给予足够重视。下面对资产负债“外生数量变动”和“持有损益”的具体核算方法再作补充说明。
二、资产负债外生数量变动核算
关于资产负债的各种外生数量变动,由于它们彼此之间没有任何的联系,故其核算方法较为简单,只须搜集各种外生数量变动的资料,并对资产负债存量做出相应的调整即可。所以,关键是弄清究竟有哪些外生因素(或意外事件)可能导致资产、负债及净值的数量变动。通常可将这些外生因素划分为九大类。
1.非生产资产的经济出现
非生产资产不是生产过程创造的产物,而是在自然界中出现,或以生产活动以外的方式产生。因此,所有非生产资产的出现都不应记人资本形成,而应作为外生变动处理。具体说,非生产资产的经济出现包括:可开采地下资源量的增加;非经济自然资产向经济资产的转移,如荒地首次被确定所有权并用于经济目的、填海造田等引起的土地存量增加、原始森林首次被用于商业开发;经济用途变化引起的非生产资产的质量变化,如从耕地变为建筑物的地基所引起的资产总量的额外增加;无形非生产资产(如商誉、专利权)的出现。
2.生产资产的经济出现
该项仅指贵重物品和历史纪念物首次被发现或承认、还未记人资产负债表的部分。由于它们不属于本期的生产成果,所以也不应记人本期的资本形成。
3.非培育生物资源的自然生长
该项仅指作为经济资产的自然林木、鱼类等非培育生物资源不受任何机构单位的直接控制和影响的生长。这种生长显然也不能作为生产对待。
4.非生产资产的经济消失
这包括:作为经济资产的自然资源的耗减;由于经济用途变化引起的非生产资产的质量变化,如土地用途变化引起的土地价值减少;经济活动引起的非生产资产的退化;购买的商誉、可转让的合同等的注销和摊销,以及专利保护结束所引起的无形非生产资产的消失,等等。
5.灾难损失
这里涉及的是可能毁灭所有类型资产的各种自然或社会的大灾难,如地震、海啸、干旱、洪涝、火山爆发、特大风暴和森林大火,以及战争和暴乱等,其结果一般都会造成经济资产的重大损失。如洪灾和风灾造成的土地质量恶化、旱灾或蝗灾造成的培育资产破坏、地震造成的设备、建筑物或贵重物品毁坏、自然灾害或政治事件造成的通货或无记名证券的损毁,等等。
6.无偿没收
这是指政府或其他机构单位强行占有另一机构单位(包括非常住单位)的资产而不予补偿或不予充分补偿的行为。值得注意的是,与经过司法或准司法程序裁决的“罚款”不同,这里的“无偿没收”不属于强制性的经常转移;与得到债权人和债务人双方认可的“债务取消”不同,这里的“无偿没收”不属于资本转移。无偿没收可能造成各种金融或非金融资产的外生数量变动。
7.未另分类的非金融资产物量的其他变动
比较常见的有:由于意外的淘汰、破损等原因造成的固定资产的提前报废;固定资本消耗中未考虑到的固定资产的退化,如酸雨对建筑物外表或车辆的影响所造成的固定资产价值的下降;生产设施在完工或投入经济使用前的废弃,由火灾、偷盗或虫灾造成的存货异常损失;仍在生产中使用但其价值已完全注销的资产的估算价值。
8.未另分类的金融资产和负债的其他物量变动
比较典型的有:国际货币基金组织对特别提款权的分配或撤销;债权人对坏账的注销(这里不包括经债务人和债权人双方同意的债务取消,仅指在债务人破产等情况下,债权人意识到某笔债权将无法收回而不得不注销的坏账)。
9.分类引起的结构变化
这里包括两种情形:一是部门分类引起的结构变化,即某机构单位从一部门重新划归到另一部门,或某部门的内部组成结构发生改变(如公司被兼并)所引起的资产负债变动;二是资产和负债分类引起的结构变化,这一般是指分类前后的价值并未发生改变的部分,如黄金的货币化或非货币化、土地用途的变化等。但土地用途改变所引起的价值增减,应作为质量变化反映在非生产资产的经济出现或消失项下,而不是包含在这里。
三、资产负债价格变动与持有损益核算
前已指出,以SNA为代表的国民核算采用现行价格核算所有的经济流量和经济存量。换言之,对于经济交易,要采用交易发生时的市场价格估价;对于资产和负债,则应按编制资产负债表时的市场价格或重置价格估价。依据这一估价原则,必然导致这样的核算结果:从期初到期末,任何价格的变动都会引起有关资产或负债的价值量发生增减变动,从而给其持有者带来一定的收益或损失。这种纯粹由于资产负债的价格水平和价格结构变化而给其持有者带来的收益或损失,就是持有损益。具体说,当一笔特定资产的价值增加或者一笔特定负债的价值减少时,都可以给其持有者带来相应的持有收益;而当一笔特定资产的价值减少或者一笔特定负债的价值增加时,则会给其持有者带来相应的持有损失。归根到底,有关资产或负债的持有损益是以它们各自对净值变动的影响来判断的,增加净值即为收益,减少净值则为损失。所以,对于负债的损益,要按照与资产的损益相反的方向去理解。
为了经济分析的需要,还可以按照引起持有损益的价格变动是实际价格变动、平均价格变动还是相对价格变动,进一步区分三种不同的持有损益,它们分别是:名义持有损益、中性持有损益和实际持有损益。
1.名义持有损益及其计算
名义持有损益是由于资产或负债的实际价格变动而给其持有者带来的正的或负的收益。这里的价格既可以是市场价格,也可以是市场利率或汇率;而价格的变动不涉及资产或负债的任何数量或质量上的改变。原则上,核算期内任何一段时间持有的资产或负债都可以产生名义持有损益。名义持有损益的计算方法有两种:一是直接法,二是间接法。
在讨论名义持有损益的计算或估算公式之前,有必要适当区分四种不同情形下所产生的名义持有损益:①在整个核算期内都持有的资产(或负债,下同)所产生的名义持有损益,它等于期末资产负债表中的价值减去期初资产负债表中的价值。②在核算期内获得或出现并一直持有到期末的资产所产生的名义持有损益,它等于期末资产负债表中的相应价值减去其获得或出现时的价值。③期初持有而在核算期内处置或消失的资产所产生的名义持有损益,它等于其处置或消失时的价值减去期初资产负债表中的相应价值。④在核算期内获得或出现,又在期内处置或消失了的资产所产生的名义持有损益,它等于该资产的处置价值减去其获得价值。以上,期初和期末的资产价值分别按编表时的价格估价;资产的处置价值按处置时的价格估价,获得价值按获得时的价格估价。
(1)直接法。
这种方法是直接根据上述名义持有损益所包含的内容计算全部的名义持有损益。设qt和Pt分别表示核算期内t(=0,1,…,n)时刻(具体可为核算期内的各月末或任一天)某类资产的持有数量和价格,则dt=qt - qt-1(t-l,…,n)就表示t时刻相对于前一时刻的资产数量变动,且这种变动部分是由经济交易所引起,其余部分则是由外生数量变动因素所造成。根据以上分析,分别有:
①在整个核算期内都持有的那部分资产(设其数量为
)所产生的名义持有损益为
![]()
②在期内时刻t获得或出现并持有到期末的那部分资产所产生的名义持有损益为
![]()
③期初持有但在期内某时刻£处置或消失的那部分资产(设其数量为
)所产生的名义持有损益为
![]()
④在期内某时刻t1,获得或出现,又在另一时刻t2(t2>t1)处置或消失的资产的名义持有损益为
![]()
综合以上,我们将该类资产在核算期内的数量变化次数推广到任意的n次,就可以导出按直接法计算该类资产的名义持有损益G的一般公式:

按直接法计算名义持有损益,需要具备关于各种资产的获得、处置和其他变动的时间、数量及相应价格的完整资料。但在实践中往往难以满足这些要求。
(2)间接法。
间接法又称为剩余法,它是利用衔接期初与期末资产负债表的经济交易、外生数量变动和名义持有损益的如下基本恒等式导出的:

若将期末资产价值减去期初资产价值,再从所得差额中减去所有交易和外生数量变动的价值总和,即可求得名义持有损益G。用公式表示就是


式中,p。q。和Pnqn分别是期初和期末的资产价值,∑ptdt则是核算期内发生的交
易和外生数量变动的价值总和。
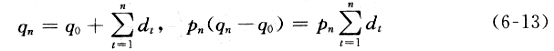
容易验证,式(6-12)与式(6-10)是等价的。因为事实上

用式(6-13)替代式(6-10)中的,即可把式(6-10)转化为式(6-12)。
采用间接法计算名义持有损益,关键是要遵守SNA的估价原则:关于资产的所有交易或外生数量变动必须按交易或外生数量变动发生时的现行价格估价,而记录在资产负债表上的资产必须按编表时的重置价格估价。这样,只要掌握核算期内的资产总变动以及交易和外生数量变动的价值总额,就可以求得名义持有损益总额。
2.中性持有损益及其计算
中性持有损益是假定资产的价格与一般物价水平按同样幅度变化所形成的持有损益。当资产的价格按照与一般物价水平相同的幅度变化时,其实际价值(亦即它能够换取的其他货物和服务的平均水平)将保持不变,所以,中性持有损益也可以理解为保持资产实际价值不变所需要的持有损益的价值。
为了计算一笔资产的中性持有损益,关键是要选用一种涵盖尽可能多的货物、服务和资产的综合物价指数,以其衡量一般物价水平的变动。较为理想的是采用按最终支出法计算的国内生产总值价格指数,因其涵盖了所有的最终货物和服务。但这种指数的编制周期一般为一年,难以用它衡量短期内一般物价水平的变动。所以,为了计算持有时间很短的资产所产生的中性持有损益,较适宜的做法是采用按月编制的消费物价指数。除此之外,关于中性持有损益计算公式的推导思路,与上述名义持有损益的间接计算法基本一致。
设rt表示以期初(即t=0时)为基期的综合物价指数,则ro =1。假定资产价格按照与一般物价水平变动rt相同的幅度变化,则核算期末持有的资产存量价值将是rnpoqn;而从期初到期末所发生的交易或外生数量变动的总价值为
。这样,中性持有损益NG的计算公式就可以由下式给出:

然而,实践中难以准确的计算出
,因为它需要关于每天交易价值的数据,而不是简单地计算整个核算期的交易总值。所以,还有必要对其做一些估算。方法是,先计算整个核算期内某种资产价格的相对变动系数K

再以
作为核算期内任何时刻价格相对变动的估计值,亦即假定

于是,可以得到中性持有损益的一个近似估计

按式(6-15)估算中性持有损益的特点是,只需在估算名义持有损益的式(6-12)基础上多计算一个K值。
3.实际持有损益及其计算
资产的实际持有损益是由资产价格的相对变动引起的。换言之,当一笔资产的价格相对于一般物价水平提高时,该资产的持有者就会获得实际持有收益;反之,当一笔资产的价格相对于一般物价水平下降时,将会给其持有者带来实际持有损失。而资产相对价格的提高(或下降),将直接导致它所能换取的货物、服务或其他资产的数量较过去增加(或减少)。所以,实际持有损益同时也衡量了资产持有者实际购买力的变化。它的大小或正负不同,必然会对有关资产持有者的经济行为产生程度不同的影响。正因如此,有人建议将实际持有损益与现期收入融合,以得到一个更全面地衡量收入的指标。另外,一个单位在各种资产和负债上的实际持有损益的代数和还是影响其实际净值(有别于账面的净值)变动的重要原因之一。这些都表明,实际持有损益是一个比名义持有损益和中性持有损益更为重要的经济分析指标。
资产的实际持有损益就等于其名义持有损益与中性持有损益之差。因此,在已计算出名义持有损益G和中性持有损益NG之后,马上就可以求出实际持有损益RG。

实际持有损益的精确公式由式(6-12)减去式(6-14)得到实际持有损益的近似估计式则由上述的式(6-12)减去式(6-15)得到

4.特殊情形下的名义、中性和实际持有损益
前文介绍了在一般情形下如何计算三种持有损益。实际上,在某些特殊情形下,我们可以直接把握有关持有损益的大小或正负符号,或者对其做出简捷的估算。分述如下:
(1)当整个核算期的一般物价水平保持稳定即不升不降时,中性持有损益必为零,从而名义持有损益就是实际持有损益,二者都由相对价格变动引起。
(2)当一笔资产的价格相对于一般物价水平保持不变,即K=l时,实际持有损益为零,从而名义持有损益就等于中性持有损益,二者的大小及正负符号完全取决于一般物价水平的变动方向和变动幅度。
(3)具有固定货币价值的资产和负债,如现金、存款、贷款、预付款等,其价格(面值)是不变的,因而其名义持有损益恒为零。但是,它们的中性持有损益将随着一般物价水平的升降而增减,故其实际持有损益仍然存在;且不论一般物价水平怎么变,这些资产的实际持有损益与中性持有损益总是相反数。
(4)当存在通货膨胀时,具有固定货币价值的资产和负债的中性持有损益一定是正数,因而其实际持有损益一定是负数。这对于债务人一方来说,意味着实际净值的提高;而对于债权人一方来说,则意味着实际净值的下降。所以,这时实际上隐含着一笔实际购买力从债权人手中转移到了债务人手中。
(5)当假定资产的价格和数量在整个核算期内都以线性方式均匀变化时,我们还可以根据资产负债表的数据,对三种持有损益做出简捷的估算。具体方法如下。
设
分别表示某种资产在整个核算期内的平均价格和平均持有量,则依据上述的均匀变化假定,下式成立:

进而,核算期内由交易和外生数量变动引起的资产变动可表为
,名义持有损益可表为
,二者之和恰好等于该种资产价值的总变动![]()
。此时,该种的中性持有损益为
![]()
式中,rn为核算期末的一般物价指数。于是,实际持有损益为
![]()
显然,上述估算结果的准确性取决于关于资产价格和数量变动假设的真实性。一般情况是,资产价格的变动相对平稳,而资产数量的变动却可能出现较大波动。所以,必须注意这种简捷估算法的适用条件。
四、资产负债变动表及资产负债表的动态衔接
至此,我们对核算期内由于各种经济交易、外生数量变动和价格变动所引起的资产负债变动分别作了核算。为了更为概括地反映在整个核算期内各种资产负债存量的总变动,以便在期初资产负债表和期末资产负债表之间建立起更为直观的联系,还须引入一张重要的核算表——资产负债变动表。
资产负债变动表的基本结构如表6-7所示,左方按经济资产的主要分类列示资产的总变动;右方相应地列示负债的总变动和净值的总变动,并按引起净值变动的原因对其进行分组。
表6-7国民资产负债变动表(单位:亿元)

从表6-7可以看出,资产总变动1212亿元减去负债总变动677亿元,正好是净值总变动535亿元。而净值变动又等于储蓄和净资本转移、资产外生数量变动和名义持有损益分别引起的净值变动之和。如果要求计算实际净值变动,只需把储蓄和净资本转移、资产外生数量变动和实际持有损益分别引起的净值变动相加即可。这些核算关系不仅对于经济总体成立,对于每一个机构单位或机构部门也是成立的。
与存量核算类似,为系统地反映各部门从期初到期末的资产、负债及净值的总变动,还需要编制如表6-8所示的综合国民资产负债变动表。它是把各部门(含国外)和经济总体的资产负债变动表并列在一起而得到的。这张表正好把表6-4和表6-5中各部门(含国外)和经济总体的期初、期末资产负债表衔接起来。以住户部门为例,非金融资产期初为2822亿元,加本期变动110亿元,变为期末的2932亿元;金融资产期初为1819亿元,加本期变动199亿元,变成期末的2018亿元;负债期初为289亿元,加本期变动33亿元,得到期末的322亿元;净值期初为4352亿元,加本期变动276亿元,正好是期末的4628亿元。关于其他部门和经济总体,可以作同样的解释。

为了更好地观察和分析每一机构部门(或经济总体)期末存量与期初存量之间的动态衔接关系,1993年SNA还提供两种特殊形式的表格(表6-9和表6-10)。


注:表中“固定资本形成总额”所在的行与“非生产资产”所在的列交叉位置的数字为22,意味着本例数据假定“附着在土地及其他非生产资产上的资本形成总额”为22亿元。
第三节 资产负债变动核算
一、资产负债变动的原因
在上节的案例分析中我们注意到,无论经济总体还是各机构部门,它们的资产负债存量从期初到期末都发生了一定的变动。那么,这种变动是如何引起的?怎样对这种变动进行系统的核算?本节将回答这些问题。
从一定时期来看,可能导致资产负债存量发生变动的原因有很多。但我们总是可以将其归入下列四类中的某一类:
(1)由于各种非金融资产交易而引致的非金融资产的变动;
(2)由于各种金融交易而引致的金融资产或负债的变动;
(3)由于战争和资源发现等非交易因素而引致的资产或负债的数量变动;
(4)由于价格波动而引致的资产或负债的持有损益。
上面的(1)(2)两项与当期的经济交易(积累交易)有关。这些交易具体包括:资本转移,固定资产的获得和处置,土地改良等其他形式的固定资本形成,存货的获得和处置,贵重物品的获得和处置,土地及其他非生产非金融资产的获得和处置,以及各种金融交易。值得注意的是,经常交易的最后结余(正的净储蓄)构成积累的资金来源,最终将被用于金融或非金融投资;而经常交易的赤字(负的净储蓄)最终也要通过金融交易来弥补。因此,“储蓄”实际上集中体现了各种经常交易对资产、负债和净值的间接影响,也可视为积累过程的初始来源。由于各种积累交易所引起的资金运动也属于资金流量核算的范畴,在第五章中已经做了详细的讨论,这里不再赘述。
上面的(3)(4)两项与当期的经济交易无关,包括了各种非交易因素所引致的资产、负债和净值的变动,一般称之为“其他经济流量(非交易流量)”。具体说,第(3)项仅指各种外生因素或意外事件所引起的资产负债的数量(数额)变动,与资产负债的价格变动无关,主要包括战争和自然灾害造成的资产毁损,自然资源的经济发现,历史文化遗产首次被发现或承认,无偿没收或分类变化等引起的资产负债数量的变动,特别提款权的分配或取消,黄金的货币化或非货币化,专利等知识产权和其他非生产无形资产的创造,等等。第(4)项则仅指纯粹由于资产负债项目的价格(以及汇率和利率等)变动所引起的资产负债经济价值的变动,而与资产负债的任何数量变动无关。为区别起见,一般把第(3)项叫做资产负债的“外生数量变动”,而把第(4)项叫做资产负债的“持有损益”。由于它们会引起资产负债的变动,
这与“积累交易”非常相似,所以,SNA也将其统称为“其他积累流量(登录)”。
资产负债变动核算旨在对一定时期资产负债存量的各种变动进行系统描述。显然,这里不仅需要反映各种积累交易所引起的资产负债变动,而且需要对资产负债的各种“外生数量变动”和“持有损益”给予足够重视。下面对资产负债“外生数量变动”和“持有损益”的具体核算方法再作补充说明。
二、资产负债外生数量变动核算
关于资产负债的各种外生数量变动,由于它们彼此之间没有任何的联系,故其核算方法较为简单,只须搜集各种外生数量变动的资料,并对资产负债存量做出相应的调整即可。所以,关键是弄清究竟有哪些外生因素(或意外事件)可能导致资产、负债及净值的数量变动。通常可将这些外生因素划分为九大类。
1.非生产资产的经济出现
非生产资产不是生产过程创造的产物,而是在自然界中出现,或以生产活动以外的方式产生。因此,所有非生产资产的出现都不应记人资本形成,而应作为外生变动处理。具体说,非生产资产的经济出现包括:可开采地下资源量的增加;非经济自然资产向经济资产的转移,如荒地首次被确定所有权并用于经济目的、填海造田等引起的土地存量增加、原始森林首次被用于商业开发;经济用途变化引起的非生产资产的质量变化,如从耕地变为建筑物的地基所引起的资产总量的额外增加;无形非生产资产(如商誉、专利权)的出现。
2.生产资产的经济出现
该项仅指贵重物品和历史纪念物首次被发现或承认、还未记人资产负债表的部分。由于它们不属于本期的生产成果,所以也不应记人本期的资本形成。
3.非培育生物资源的自然生长
该项仅指作为经济资产的自然林木、鱼类等非培育生物资源不受任何机构单位的直接控制和影响的生长。这种生长显然也不能作为生产对待。
4.非生产资产的经济消失
这包括:作为经济资产的自然资源的耗减;由于经济用途变化引起的非生产资产的质量变化,如土地用途变化引起的土地价值减少;经济活动引起的非生产资产的退化;购买的商誉、可转让的合同等的注销和摊销,以及专利保护结束所引起的无形非生产资产的消失,等等。
5.灾难损失
这里涉及的是可能毁灭所有类型资产的各种自然或社会的大灾难,如地震、海啸、干旱、洪涝、火山爆发、特大风暴和森林大火,以及战争和暴乱等,其结果一般都会造成经济资产的重大损失。如洪灾和风灾造成的土地质量恶化、旱灾或蝗灾造成的培育资产破坏、地震造成的设备、建筑物或贵重物品毁坏、自然灾害或政治事件造成的通货或无记名证券的损毁,等等。
6.无偿没收
这是指政府或其他机构单位强行占有另一机构单位(包括非常住单位)的资产而不予补偿或不予充分补偿的行为。值得注意的是,与经过司法或准司法程序裁决的“罚款”不同,这里的“无偿没收”不属于强制性的经常转移;与得到债权人和债务人双方认可的“债务取消”不同,这里的“无偿没收”不属于资本转移。无偿没收可能造成各种金融或非金融资产的外生数量变动。
7.未另分类的非金融资产物量的其他变动
比较常见的有:由于意外的淘汰、破损等原因造成的固定资产的提前报废;固定资本消耗中未考虑到的固定资产的退化,如酸雨对建筑物外表或车辆的影响所造成的固定资产价值的下降;生产设施在完工或投入经济使用前的废弃,由火灾、偷盗或虫灾造成的存货异常损失;仍在生产中使用但其价值已完全注销的资产的估算价值。
8.未另分类的金融资产和负债的其他物量变动
比较典型的有:国际货币基金组织对特别提款权的分配或撤销;债权人对坏账的注销(这里不包括经债务人和债权人双方同意的债务取消,仅指在债务人破产等情况下,债权人意识到某笔债权将无法收回而不得不注销的坏账)。
9.分类引起的结构变化
这里包括两种情形:一是部门分类引起的结构变化,即某机构单位从一部门重新划归到另一部门,或某部门的内部组成结构发生改变(如公司被兼并)所引起的资产负债变动;二是资产和负债分类引起的结构变化,这一般是指分类前后的价值并未发生改变的部分,如黄金的货币化或非货币化、土地用途的变化等。但土地用途改变所引起的价值增减,应作为质量变化反映在非生产资产的经济出现或消失项下,而不是包含在这里。
三、资产负债价格变动与持有损益核算
前已指出,以SNA为代表的国民核算采用现行价格核算所有的经济流量和经济存量。换言之,对于经济交易,要采用交易发生时的市场价格估价;对于资产和负债,则应按编制资产负债表时的市场价格或重置价格估价。依据这一估价原则,必然导致这样的核算结果:从期初到期末,任何价格的变动都会引起有关资产或负债的价值量发生增减变动,从而给其持有者带来一定的收益或损失。这种纯粹由于资产负债的价格水平和价格结构变化而给其持有者带来的收益或损失,就是持有损益。具体说,当一笔特定资产的价值增加或者一笔特定负债的价值减少时,都可以给其持有者带来相应的持有收益;而当一笔特定资产的价值减少或者一笔特定负债的价值增加时,则会给其持有者带来相应的持有损失。归根到底,有关资产或负债的持有损益是以它们各自对净值变动的影响来判断的,增加净值即为收益,减少净值则为损失。所以,对于负债的损益,要按照与资产的损益相反的方向去理解。
为了经济分析的需要,还可以按照引起持有损益的价格变动是实际价格变动、平均价格变动还是相对价格变动,进一步区分三种不同的持有损益,它们分别是:名义持有损益、中性持有损益和实际持有损益。
1.名义持有损益及其计算
名义持有损益是由于资产或负债的实际价格变动而给其持有者带来的正的或负的收益。这里的价格既可以是市场价格,也可以是市场利率或汇率;而价格的变动不涉及资产或负债的任何数量或质量上的改变。原则上,核算期内任何一段时间持有的资产或负债都可以产生名义持有损益。名义持有损益的计算方法有两种:一是直接法,二是间接法。
在讨论名义持有损益的计算或估算公式之前,有必要适当区分四种不同情形下所产生的名义持有损益:①在整个核算期内都持有的资产(或负债,下同)所产生的名义持有损益,它等于期末资产负债表中的价值减去期初资产负债表中的价值。②在核算期内获得或出现并一直持有到期末的资产所产生的名义持有损益,它等于期末资产负债表中的相应价值减去其获得或出现时的价值。③期初持有而在核算期内处置或消失的资产所产生的名义持有损益,它等于其处置或消失时的价值减去期初资产负债表中的相应价值。④在核算期内获得或出现,又在期内处置或消失了的资产所产生的名义持有损益,它等于该资产的处置价值减去其获得价值。以上,期初和期末的资产价值分别按编表时的价格估价;资产的处置价值按处置时的价格估价,获得价值按获得时的价格估价。
(1)直接法。
这种方法是直接根据上述名义持有损益所包含的内容计算全部的名义持有损益。设qt和Pt分别表示核算期内t(=0,1,…,n)时刻(具体可为核算期内的各月末或任一天)某类资产的持有数量和价格,则dt=qt - qt-1(t-l,…,n)就表示t时刻相对于前一时刻的资产数量变动,且这种变动部分是由经济交易所引起,其余部分则是由外生数量变动因素所造成。根据以上分析,分别有:
①在整个核算期内都持有的那部分资产(设其数量为
)所产生的名义持有损益为
![]()
②在期内时刻t获得或出现并持有到期末的那部分资产所产生的名义持有损益为
![]()
③期初持有但在期内某时刻£处置或消失的那部分资产(设其数量为
)所产生的名义持有损益为
![]()
④在期内某时刻t1,获得或出现,又在另一时刻t2(t2>t1)处置或消失的资产的名义持有损益为
![]()
综合以上,我们将该类资产在核算期内的数量变化次数推广到任意的n次,就可以导出按直接法计算该类资产的名义持有损益G的一般公式:

按直接法计算名义持有损益,需要具备关于各种资产的获得、处置和其他变动的时间、数量及相应价格的完整资料。但在实践中往往难以满足这些要求。
(2)间接法。
间接法又称为剩余法,它是利用衔接期初与期末资产负债表的经济交易、外生数量变动和名义持有损益的如下基本恒等式导出的:

若将期末资产价值减去期初资产价值,再从所得差额中减去所有交易和外生数量变动的价值总和,即可求得名义持有损益G。用公式表示就是


式中,p。q。和Pnqn分别是期初和期末的资产价值,∑ptdt则是核算期内发生的交
易和外生数量变动的价值总和。
容易验证,式(6-12)与式(6-10)是等价的。因为事实上

用式(6-13)替代式(6-10)中的,即可把式(6-10)转化为式(6-12)。
采用间接法计算名义持有损益,关键是要遵守SNA的估价原则:关于资产的所有交易或外生数量变动必须按交易或外生数量变动发生时的现行价格估价,而记录在资产负债表上的资产必须按编表时的重置价格估价。这样,只要掌握核算期内的资产总变动以及交易和外生数量变动的价值总额,就可以求得名义持有损益总额。
2.中性持有损益及其计算
中性持有损益是假定资产的价格与一般物价水平按同样幅度变化所形成的持有损益。当资产的价格按照与一般物价水平相同的幅度变化时,其实际价值(亦即它能够换取的其他货物和服务的平均水平)将保持不变,所以,中性持有损益也可以理解为保持资产实际价值不变所需要的持有损益的价值。
为了计算一笔资产的中性持有损益,关键是要选用一种涵盖尽可能多的货物、服务和资产的综合物价指数,以其衡量一般物价水平的变动。较为理想的是采用按最终支出法计算的国内生产总值价格指数,因其涵盖了所有的最终货物和服务。但这种指数的编制周期一般为一年,难以用它衡量短期内一般物价水平的变动。所以,为了计算持有时间很短的资产所产生的中性持有损益,较适宜的做法是采用按月编制的消费物价指数。除此之外,关于中性持有损益计算公式的推导思路,与上述名义持有损益的间接计算法基本一致。
设rt表示以期初(即t=0时)为基期的综合物价指数,则ro =1。假定资产价格按照与一般物价水平变动rt相同的幅度变化,则核算期末持有的资产存量价值将是rnpoqn;而从期初到期末所发生的交易或外生数量变动的总价值为
。这样,中性持有损益NG的计算公式就可以由下式给出:

然而,实践中难以准确的计算出
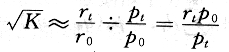
,因为它需要关于每天交易价值的数据,而不是简单地计算整个核算期的交易总值。所以,还有必要对其做一些估算。方法是,先计算整个核算期内某种资产价格的相对变动系数K

再以
作为核算期内任何时刻价格相对变动的估计值,亦即假定

于是,可以得到中性持有损益的一个近似估计

按式(6-15)估算中性持有损益的特点是,只需在估算名义持有损益的式(6-12)基础上多计算一个K值。
3.实际持有损益及其计算
资产的实际持有损益是由资产价格的相对变动引起的。换言之,当一笔资产的价格相对于一般物价水平提高时,该资产的持有者就会获得实际持有收益;反之,当一笔资产的价格相对于一般物价水平下降时,将会给其持有者带来实际持有损失。而资产相对价格的提高(或下降),将直接导致它所能换取的货物、服务或其他资产的数量较过去增加(或减少)。所以,实际持有损益同时也衡量了资产持有者实际购买力的变化。它的大小或正负不同,必然会对有关资产持有者的经济行为产生程度不同的影响。正因如此,有人建议将实际持有损益与现期收入融合,以得到一个更全面地衡量收入的指标。另外,一个单位在各种资产和负债上的实际持有损益的代数和还是影响其实际净值(有别于账面的净值)变动的重要原因之一。这些都表明,实际持有损益是一个比名义持有损益和中性持有损益更为重要的经济分析指标。
资产的实际持有损益就等于其名义持有损益与中性持有损益之差。因此,在已计算出名义持有损益G和中性持有损益NG之后,马上就可以求出实际持有损益RG。

实际持有损益的精确公式由式(6-12)减去式(6-14)得到实际持有损益的近似估计式则由上述的式(6-12)减去式(6-15)得到

4.特殊情形下的名义、中性和实际持有损益
前文介绍了在一般情形下如何计算三种持有损益。实际上,在某些特殊情形下,我们可以直接把握有关持有损益的大小或正负符号,或者对其做出简捷的估算。分述如下:
(1)当整个核算期的一般物价水平保持稳定即不升不降时,中性持有损益必为零,从而名义持有损益就是实际持有损益,二者都由相对价格变动引起。
(2)当一笔资产的价格相对于一般物价水平保持不变,即K=l时,实际持有损益为零,从而名义持有损益就等于中性持有损益,二者的大小及正负符号完全取决于一般物价水平的变动方向和变动幅度。
(3)具有固定货币价值的资产和负债,如现金、存款、贷款、预付款等,其价格(面值)是不变的,因而其名义持有损益恒为零。但是,它们的中性持有损益将随着一般物价水平的升降而增减,故其实际持有损益仍然存在;且不论一般物价水平怎么变,这些资产的实际持有损益与中性持有损益总是相反数。
(4)当存在通货膨胀时,具有固定货币价值的资产和负债的中性持有损益一定是正数,因而其实际持有损益一定是负数。这对于债务人一方来说,意味着实际净值的提高;而对于债权人一方来说,则意味着实际净值的下降。所以,这时实际上隐含着一笔实际购买力从债权人手中转移到了债务人手中。
(5)当假定资产的价格和数量在整个核算期内都以线性方式均匀变化时,我们还可以根据资产负债表的数据,对三种持有损益做出简捷的估算。具体方法如下。
设
分别表示某种资产在整个核算期内的平均价格和平均持有量,则依据上述的均匀变化假定,下式成立:

进而,核算期内由交易和外生数量变动引起的资产变动可表为
,名义持有损益可表为
,二者之和恰好等于该种资产价值的总变动![]()
。此时,该种的中性持有损益为
![]()
式中,rn为核算期末的一般物价指数。于是,实际持有损益为
![]()
显然,上述估算结果的准确性取决于关于资产价格和数量变动假设的真实性。一般情况是,资产价格的变动相对平稳,而资产数量的变动却可能出现较大波动。所以,必须注意这种简捷估算法的适用条件。
四、资产负债变动表及资产负债表的动态衔接
至此,我们对核算期内由于各种经济交易、外生数量变动和价格变动所引起的资产负债变动分别作了核算。为了更为概括地反映在整个核算期内各种资产负债存量的总变动,以便在期初资产负债表和期末资产负债表之间建立起更为直观的联系,还须引入一张重要的核算表——资产负债变动表。
资产负债变动表的基本结构如表6-7所示,左方按经济资产的主要分类列示资产的总变动;右方相应地列示负债的总变动和净值的总变动,并按引起净值变动的原因对其进行分组。
表6-7国民资产负债变动表(单位:亿元)

从表6-7可以看出,资产总变动1212亿元减去负债总变动677亿元,正好是净值总变动535亿元。而净值变动又等于储蓄和净资本转移、资产外生数量变动和名义持有损益分别引起的净值变动之和。如果要求计算实际净值变动,只需把储蓄和净资本转移、资产外生数量变动和实际持有损益分别引起的净值变动相加即可。这些核算关系不仅对于经济总体成立,对于每一个机构单位或机构部门也是成立的。
与存量核算类似,为系统地反映各部门从期初到期末的资产、负债及净值的总变动,还需要编制如表6-8所示的综合国民资产负债变动表。它是把各部门(含国外)和经济总体的资产负债变动表并列在一起而得到的。这张表正好把表6-4和表6-5中各部门(含国外)和经济总体的期初、期末资产负债表衔接起来。以住户部门为例,非金融资产期初为2822亿元,加本期变动110亿元,变为期末的2932亿元;金融资产期初为1819亿元,加本期变动199亿元,变成期末的2018亿元;负债期初为289亿元,加本期变动33亿元,得到期末的322亿元;净值期初为4352亿元,加本期变动276亿元,正好是期末的4628亿元。关于其他部门和经济总体,可以作同样的解释。

为了更好地观察和分析每一机构部门(或经济总体)期末存量与期初存量之间的动态衔接关系,1993年SNA还提供两种特殊形式的表格(表6-9和表6-10)。


注:表中“固定资本形成总额”所在的行与“非生产资产”所在的列交叉位置的数字为22,意味着本例数据假定“附着在土地及其他非生产资产上的资本形成总额”为22亿元。
![]() |
|
| 高级统计师选课中心 | |