| 欢迎来到梦题库! 请登录 注册 今天是2026/4/22 |
![]() |
![]() |
12 | ||||
| 课程 | 题库 | 下载 | 答疑 |
第二节 基本的技术经济系数和投入产出模型
投入产出模型是经济数学模型的一种。经济数学模型通常是由变量、系数和函数关系三部分构成的。变量是构造模型的因素;系数是一个变量通过其特定的因果关系,对另一变量发生影响的程度;函数关系是对组成模型的各种常数、系数、变量之间的相互关系的描述。投入产出模型则是建立在技术经济系数基础之上的线性模型。
一、直接消耗系数和投入产出模型
1.直接消耗系数的意义及计算
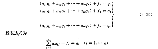
投入产出最主要的技术经济系数是直接消耗系数aij。直接消耗系数aij是生产单位j总产出对i产品的直接消耗量。
在投入产出表中,第一象限纵列各元素Xij是j部门生产中消耗的第i部门产品数量,纵列合计ai是j部门的总投入,而总投入等于总产出。因此,根据直接消耗系数的定义,它们实际上是一些结构相对数,其计算式是
![]()
直接消耗系数计算式的分子是i产品,分母是j产品。
根据表4-2,农业部门对其他部门产品的直接消耗系数分别为

这些直接消耗系数的经济意义是:农林渔业部门生产单位(1亿元)总产出,需要直接消耗0.0345亿元本部门产品、0.3562亿元工业产品、0.0115亿元建筑业产品以及0.1034亿元服务。
在进行投入产出分析时,将所有直接消耗系数用矩阵表示显然是很方便的。
通常以A表示直接消耗系数矩阵(投入系数矩阵),即有



式(4-28)表明,实物型直接消耗系数与价值型直接消耗系数的差异就取决于产出与投入的价格之比。价值型直接消耗系数除了反映生产技术联系以外,还受到相对价格的影响。实物型直接消耗系数的取值与投入和产出的计量单位有关,且只能求行和、不能求列和,因而不具备上述的第一和第二两个特点,但其主对角线上的元素仍然非负且小于1。以下主要运用价值表和系数建模分析。
3.用直接消耗系数建立投入产出模型
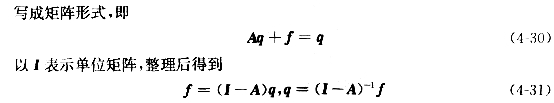
把直接消耗系数分别引进上一节建立的产品分配方程和生产投入方程中去,可以建立基本的投入产出模型。







二、完全消耗系数和完全需求系数
1.完全消耗系数
国民经济各部门的联系除了有直接的消耗和被消耗联系外,还有非常复杂和层次众多的间接消耗和被消耗联系。定量地研究直接和全部间接联系有重要意义。比如,为了增加一定数量的飞机生产,并不是只需要增加飞机制造部门的生产,因为生产飞机要直接消耗合金铝,必须增加合金铝的生产;而为了生产合金铝,需消耗电力,因而需要增加电力部门的生产;为了传输电力,需要增加铜的生产;为了生产铜,需要铜矿,为了挖掘铜矿,需要机器……这种循环可以是无穷次的,增加一个部门的生产,可能会使国民经济所有部门的生产发生一定的变化。这里飞机对合金铝的消耗是直接消耗,而飞机对电力、铜、铜矿、机器等的消耗是间接消耗。一种产品对某种产品的直接消耗量与间接消耗量之和是完全消耗量。
完全消耗系数bij,是生产单位j最终产品所要直接消耗和全部间接消耗的i产品的数量之和。用B表示完全消耗系数矩阵:

按照完全消耗系数的定义,bij应等于xij中用于生产最终产品f的直接消耗,再加上j部门对i产品的全部间接消耗量,然后除以fj。由于难以度量出j部门对i产品的全部间接消耗量,因此,完全消耗系数通常不是像直接消耗系数那样直接根据投入产出表计算。那么如何求得完全消耗系数呢?我们用图4-1来看生产一个单位的煤,对电力的直接消耗和间接消耗的情况。

图4-1揭示了各生产部门的直接和全部消耗关系,给我们一个启示:虽然完全消耗系数bij不能按定义求出,但是它与一系列直接消耗系数有关,一种产品生产对某种产品的间接消耗可以用一系列的直接消耗表示,因此可以通过一系列直接消耗系数来求全消耗系数。
采煤对电的直接消耗是a19;采煤通过采煤设备对电的消耗是第一次间接消耗,等于a16a69,采煤通过钢材和坑木对电的第一次间接消耗分别等于a17a79和a18










完全需求系数与完全消耗系数虽然都反映了国民经济各部门间的完全消耗关系,但它们是不同的。前者站在最终需求的角度,系数中包括了一个单位的最终产品;后者站在生产的角度,系数中不包括一个单位的最终产品。
三、投入产出模型的基本假定
从上边我们看到,所有的投入产出模型都是线性模型。其基本思想是将国民经济分成若干个部门,把各部门的总产品和最终产品或增加值分别作为两组变量,通过一些系数来建立线性方程组来反映他们之间的联系。这个思想要能成立,是基于以下基本假定:
1.同质性假定
同质性假定也称为非结合生产假定,它是假定每个生产部门只生产一种产品,而且只用一种生产技术方式进行生产。凡是使用价值及消耗构成相同的产品就归在同一个部门中,同一部门的产品可以相互替代,不同部门的产品不能相互替代。这个假定,在理论上一方面是为了使每个部门都成为一个单纯的某种产品集合体,以便使模型反映各个部产品的不同用途,并按不同用途说明其使用去向。另一方面,抽象掉各部门生产过程中不同生产技术的选择与相互替代,这就使得投入产出模型能准确反映各部门的消耗构成。
2.比例性假定
比例性假定也称为收益不变假定,它是假定国民经济各生产部门的投入量与产出量之间成正比关系,投入越多,产出也就越多。每一个部门的投入量是产出水平的唯一函数,每单位产出量的平均投入量是不变的。据此,每个部门的投入量可以表示为

3.相加性假定
相加性假定也称为无外部影响假定,它是假定国民经济中,任意n个部门的产出合计等于这n个部门的投入量之和。无外部影响假定的实质是:生产构成中既不存在正外部效应影响,如养蜂有利于种植业;也不存在负外部效应的影响,如工业排污有害于种植业;更不存在战争、重大自然灾害等非经济因素的影响。所有的产出都是人类作用于劳动对象的结果。
以上假定旨在保证投入产出模型的线性函数唯一性和直接消耗系数的稳定性。而现实生活中又很难完全满足它们。所以,在利用投入产出模型进行经济分析和预测时,还应该适当注意到它的局限性。
第二节 基本的技术经济系数和投入产出模型
投入产出模型是经济数学模型的一种。经济数学模型通常是由变量、系数和函数关系三部分构成的。变量是构造模型的因素;系数是一个变量通过其特定的因果关系,对另一变量发生影响的程度;函数关系是对组成模型的各种常数、系数、变量之间的相互关系的描述。投入产出模型则是建立在技术经济系数基础之上的线性模型。
一、直接消耗系数和投入产出模型
1.直接消耗系数的意义及计算
投入产出最主要的技术经济系数是直接消耗系数aij。直接消耗系数aij是生产单位j总产出对i产品的直接消耗量。
在投入产出表中,第一象限纵列各元素Xij是j部门生产中消耗的第i部门产品数量,纵列合计ai是j部门的总投入,而总投入等于总产出。因此,根据直接消耗系数的定义,它们实际上是一些结构相对数,其计算式是
![]()
直接消耗系数计算式的分子是i产品,分母是j产品。
根据表4-2,农业部门对其他部门产品的直接消耗系数分别为

这些直接消耗系数的经济意义是:农林渔业部门生产单位(1亿元)总产出,需要直接消耗0.0345亿元本部门产品、0.3562亿元工业产品、0.0115亿元建筑业产品以及0.1034亿元服务。
在进行投入产出分析时,将所有直接消耗系数用矩阵表示显然是很方便的。
通常以A表示直接消耗系数矩阵(投入系数矩阵),即有



式(4-28)表明,实物型直接消耗系数与价值型直接消耗系数的差异就取决于产出与投入的价格之比。价值型直接消耗系数除了反映生产技术联系以外,还受到相对价格的影响。实物型直接消耗系数的取值与投入和产出的计量单位有关,且只能求行和、不能求列和,因而不具备上述的第一和第二两个特点,但其主对角线上的元素仍然非负且小于1。以下主要运用价值表和系数建模分析。
3.用直接消耗系数建立投入产出模型
把直接消耗系数分别引进上一节建立的产品分配方程和生产投入方程中去,可以建立基本的投入产出模型。







二、完全消耗系数和完全需求系数
1.完全消耗系数
国民经济各部门的联系除了有直接的消耗和被消耗联系外,还有非常复杂和层次众多的间接消耗和被消耗联系。定量地研究直接和全部间接联系有重要意义。比如,为了增加一定数量的飞机生产,并不是只需要增加飞机制造部门的生产,因为生产飞机要直接消耗合金铝,必须增加合金铝的生产;而为了生产合金铝,需消耗电力,因而需要增加电力部门的生产;为了传输电力,需要增加铜的生产;为了生产铜,需要铜矿,为了挖掘铜矿,需要机器……这种循环可以是无穷次的,增加一个部门的生产,可能会使国民经济所有部门的生产发生一定的变化。这里飞机对合金铝的消耗是直接消耗,而飞机对电力、铜、铜矿、机器等的消耗是间接消耗。一种产品对某种产品的直接消耗量与间接消耗量之和是完全消耗量。
完全消耗系数bij,是生产单位j最终产品所要直接消耗和全部间接消耗的i产品的数量之和。用B表示完全消耗系数矩阵:

按照完全消耗系数的定义,bij应等于xij中用于生产最终产品f的直接消耗,再加上j部门对i产品的全部间接消耗量,然后除以fj。由于难以度量出j部门对i产品的全部间接消耗量,因此,完全消耗系数通常不是像直接消耗系数那样直接根据投入产出表计算。那么如何求得完全消耗系数呢?我们用图4-1来看生产一个单位的煤,对电力的直接消耗和间接消耗的情况。

图4-1揭示了各生产部门的直接和全部消耗关系,给我们一个启示:虽然完全消耗系数bij不能按定义求出,但是它与一系列直接消耗系数有关,一种产品生产对某种产品的间接消耗可以用一系列的直接消耗表示,因此可以通过一系列直接消耗系数来求全消耗系数。
采煤对电的直接消耗是a19;采煤通过采煤设备对电的消耗是第一次间接消耗,等于a16a69,采煤通过钢材和坑木对电的第一次间接消耗分别等于a17a79和a18










完全需求系数与完全消耗系数虽然都反映了国民经济各部门间的完全消耗关系,但它们是不同的。前者站在最终需求的角度,系数中包括了一个单位的最终产品;后者站在生产的角度,系数中不包括一个单位的最终产品。
三、投入产出模型的基本假定
从上边我们看到,所有的投入产出模型都是线性模型。其基本思想是将国民经济分成若干个部门,把各部门的总产品和最终产品或增加值分别作为两组变量,通过一些系数来建立线性方程组来反映他们之间的联系。这个思想要能成立,是基于以下基本假定:
1.同质性假定
同质性假定也称为非结合生产假定,它是假定每个生产部门只生产一种产品,而且只用一种生产技术方式进行生产。凡是使用价值及消耗构成相同的产品就归在同一个部门中,同一部门的产品可以相互替代,不同部门的产品不能相互替代。这个假定,在理论上一方面是为了使每个部门都成为一个单纯的某种产品集合体,以便使模型反映各个部产品的不同用途,并按不同用途说明其使用去向。另一方面,抽象掉各部门生产过程中不同生产技术的选择与相互替代,这就使得投入产出模型能准确反映各部门的消耗构成。
2.比例性假定
比例性假定也称为收益不变假定,它是假定国民经济各生产部门的投入量与产出量之间成正比关系,投入越多,产出也就越多。每一个部门的投入量是产出水平的唯一函数,每单位产出量的平均投入量是不变的。据此,每个部门的投入量可以表示为

3.相加性假定
相加性假定也称为无外部影响假定,它是假定国民经济中,任意n个部门的产出合计等于这n个部门的投入量之和。无外部影响假定的实质是:生产构成中既不存在正外部效应影响,如养蜂有利于种植业;也不存在负外部效应的影响,如工业排污有害于种植业;更不存在战争、重大自然灾害等非经济因素的影响。所有的产出都是人类作用于劳动对象的结果。
以上假定旨在保证投入产出模型的线性函数唯一性和直接消耗系数的稳定性。而现实生活中又很难完全满足它们。所以,在利用投入产出模型进行经济分析和预测时,还应该适当注意到它的局限性。
![]() |
|
| 高级统计师选课中心 | |