| 欢迎来到梦题库! 请登录 注册 今天是2026/4/22 |
![]() |
![]() |
12 | ||||
| 课程 | 题库 | 下载 | 答疑 |
第三节平均数指数
平均数指数是个体指数的平均数,它是从个体指数出发来编制总指数的,即先计算的数量指标或质量指标的个体指数,然后加以平均以测定经济现象的变动状况。平均数指数按是否加权分为简单平均数指数和加权平均数指数两种。
一、简单平均数指数
1.简单算术平均数指数。简单算术平均数指数是各个体指数的简单算术平均数,其一般公式为:
![]()
式中:I1,I2,……,In均为个体指数。2020年高级统计师报名时间高级统计师考试教材统计时政热点统计师辅导高级统计师历年真购买点图片
题
【例题3】某地区集贸市场资料如下:
表6-3
要求:计算三种商品的简单算术平均数价格指数。
【分析与提示】

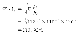
2.简单几何平均数指数。简单几何平均数指数是各个体指数的简单几何平均数,其一般公式为:
![]()
仍以表6-3的资料为例来计算三种商品的简单几何平均数价格指数。

除以上两种简单平均数指数以外,还可以用调和法、中位数法和众数法计算简单平均数指数。
由于简单平均数指数没有考虑到权数问题,事实上当某一种商品的价格指数过高(或过低)时,这样计算的总指数难于准确的反映实际情况,因此实际工作中较少采用。
二、加权平均数指数
加权平均数指数常用的基本形式有两种,一是加权算术平均数指数,二是加权调和平均数指数。以下按不同的权数分述如下:
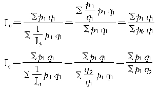
1.基期加权算术平均法。它是以基期的价值指标作为权数的加权算术平均数指数。其计算公式如下:

从公式中可以看出:对于个体质量指标指数或个体数量指标指数给以特定的基期权数
p0q0,则加权算术平均数指数可以变形为相应的拉氏综合指数。
以下举例说明其计算方法。
【例题4】某地区集贸市场资料如下:
表6-4
要求:计算三种商品的销售量总指数。
【分析与提示】

2.报告期加权调和平均法。它是以报告期的价值指标作为权数的加权调和平均数指数。其计算公式如下:

从公式中可以看出:对于个体质量指标指数或个体数量指标指数给以特定的报告期权数p1q1,则加权调和平均数指数可以变形为相应的派氏综合指数。
【例题5】某商店资料如下:
表6-5
要求:计算三种商品的物价总指数。
【分析与提示】

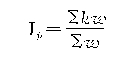
3.比重形式的固定权数平均法。它是以比重形式的固定权数来计算的平均数指数。我国现行的零售物价指数就是采用这种方法编制的。其计算公式如下:

式中:
,k是个体价格指数或是类价格指数。
【例题6】零售物价总指数的计算过程:
表6-6
|
权数 |
指数k |
指数×权数km | |
|
零售物价总指数 |
100 |
125 |
|
|
1.食品类 |
61.1 |
121.9 |
76375 |
|
(1)粮食 |
<19.7> |
125 |
22300 |
|
(2)副食品 |
<49.6> |
113.2 |
65224 |
|
(3)烟酒茶 |
<12.9> |
110.2 |
14216 |
|
(4)其他食品 |
<17.8> |
130.7 |
23265 |
|
2.衣着类 |
17.9 |
117.5 |
21032 |
|
3.日用品类 |
11.9 |
114.9 |
13673 |
|
4.文化娱乐用品类 |
4.8 |
122.6 |
5885 |
|
5.书报杂志类 |
1.2 |
112.2 |
1346 |
|
6.药及医疗用品类 |
0.7 |
124.2 |
869 |
|
7建筑材料类 |
0.8 |
111.9 |
895 |
|
8.燃料类 |
1.6 |
117.1 |
1874 |
【分析与提示】
计算零售物价总指数的具体步骤如下:
1.把各类的价格指数分别乘以该类的权数,求得指数乘权数之积2.把各中类的指数乘权数之积加总起来,除以其权数之和,得出各大类的价格指数。
![]()
![]()
食品类指数=
= =121.9%
3.用同样的方法加权平均大类指数得零售物价总指数。
三、综合指数与平均数指数的关系
综合指数与平均数指数的关系十分密切,它们是既有联系也有区别。
二者的主要联系:一是综合指数与平均指数都是反映多项事物综合变动情况的相对数,从概念上来讲,都属于总指数的范畴;二是综合指数与平均数指数的分子分母都是总量指标,也就是说,都是反映总量指标的动态情况的;三是在一定的权数下综合指数与平均数指数可以互相变形,且反映的经济内容也是完全相同的。
二者的主要区别:一是两种指数是总指数的两种独立形式,换句话说,其计算方法不同;二是综合指数主要适用于全面资料的编制,而平均数指数既可以依据全面资料编制,也可以运用非全面资料编制。三是在权数的应用上,综合指数一般采用实际资料作为权数来编制,而平均数指数既可以用实际资料为权数,也可以根据实际资料推算确定比重权数来编制。
第三节平均数指数
平均数指数是个体指数的平均数,它是从个体指数出发来编制总指数的,即先计算的数量指标或质量指标的个体指数,然后加以平均以测定经济现象的变动状况。平均数指数按是否加权分为简单平均数指数和加权平均数指数两种。
一、简单平均数指数
1.简单算术平均数指数。简单算术平均数指数是各个体指数的简单算术平均数,其一般公式为:
![]()
式中:I1,I2,……,In均为个体指数。2020年高级统计师报名时间高级统计师考试教材统计时政热点统计师辅导高级统计师历年真购买点图片
题
【例题3】某地区集贸市场资料如下:
表6-3
要求:计算三种商品的简单算术平均数价格指数。
【分析与提示】

2.简单几何平均数指数。简单几何平均数指数是各个体指数的简单几何平均数,其一般公式为:
![]()
仍以表6-3的资料为例来计算三种商品的简单几何平均数价格指数。

除以上两种简单平均数指数以外,还可以用调和法、中位数法和众数法计算简单平均数指数。
由于简单平均数指数没有考虑到权数问题,事实上当某一种商品的价格指数过高(或过低)时,这样计算的总指数难于准确的反映实际情况,因此实际工作中较少采用。
二、加权平均数指数
加权平均数指数常用的基本形式有两种,一是加权算术平均数指数,二是加权调和平均数指数。以下按不同的权数分述如下:
1.基期加权算术平均法。它是以基期的价值指标作为权数的加权算术平均数指数。其计算公式如下:

从公式中可以看出:对于个体质量指标指数或个体数量指标指数给以特定的基期权数
p0q0,则加权算术平均数指数可以变形为相应的拉氏综合指数。
以下举例说明其计算方法。
【例题4】某地区集贸市场资料如下:
表6-4
要求:计算三种商品的销售量总指数。
【分析与提示】

2.报告期加权调和平均法。它是以报告期的价值指标作为权数的加权调和平均数指数。其计算公式如下:

从公式中可以看出:对于个体质量指标指数或个体数量指标指数给以特定的报告期权数p1q1,则加权调和平均数指数可以变形为相应的派氏综合指数。
【例题5】某商店资料如下:
表6-5
要求:计算三种商品的物价总指数。
【分析与提示】

3.比重形式的固定权数平均法。它是以比重形式的固定权数来计算的平均数指数。我国现行的零售物价指数就是采用这种方法编制的。其计算公式如下:

式中:
,k是个体价格指数或是类价格指数。
【例题6】零售物价总指数的计算过程:
表6-6
|
权数 |
指数k |
指数×权数km | |
|
零售物价总指数 |
100 |
125 |
|
|
1.食品类 |
61.1 |
121.9 |
76375 |
|
(1)粮食 |
<19.7> |
125 |
22300 |
|
(2)副食品 |
<49.6> |
113.2 |
65224 |
|
(3)烟酒茶 |
<12.9> |
110.2 |
14216 |
|
(4)其他食品 |
<17.8> |
130.7 |
23265 |
|
2.衣着类 |
17.9 |
117.5 |
21032 |
|
3.日用品类 |
11.9 |
114.9 |
13673 |
|
4.文化娱乐用品类 |
4.8 |
122.6 |
5885 |
|
5.书报杂志类 |
1.2 |
112.2 |
1346 |
|
6.药及医疗用品类 |
0.7 |
124.2 |
869 |
|
7建筑材料类 |
0.8 |
111.9 |
895 |
|
8.燃料类 |
1.6 |
117.1 |
1874 |
【分析与提示】
计算零售物价总指数的具体步骤如下:
1.把各类的价格指数分别乘以该类的权数,求得指数乘权数之积2.把各中类的指数乘权数之积加总起来,除以其权数之和,得出各大类的价格指数。
![]()
![]()
食品类指数=
= =121.9%
3.用同样的方法加权平均大类指数得零售物价总指数。
三、综合指数与平均数指数的关系
综合指数与平均数指数的关系十分密切,它们是既有联系也有区别。
二者的主要联系:一是综合指数与平均指数都是反映多项事物综合变动情况的相对数,从概念上来讲,都属于总指数的范畴;二是综合指数与平均数指数的分子分母都是总量指标,也就是说,都是反映总量指标的动态情况的;三是在一定的权数下综合指数与平均数指数可以互相变形,且反映的经济内容也是完全相同的。
二者的主要区别:一是两种指数是总指数的两种独立形式,换句话说,其计算方法不同;二是综合指数主要适用于全面资料的编制,而平均数指数既可以依据全面资料编制,也可以运用非全面资料编制。三是在权数的应用上,综合指数一般采用实际资料作为权数来编制,而平均数指数既可以用实际资料为权数,也可以根据实际资料推算确定比重权数来编制。
![]() |
|
| 高级统计师选课中心 | |