| 欢迎来到梦题库! 请登录 注册 今天是2026/4/22 |
![]() |
![]() |
12 | ||||
| 课程 | 题库 | 下载 | 答疑 |
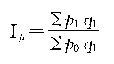
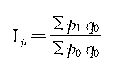
二、报告期加权综合法
报告期加权综合的指数中,所加入的同度量因素是固定在报告期的水平上。这种方法是由德国统计专家派许于1874年提出的,又称派氏指数。派许主张:计算物价指数时,以报告期销售量为同度量因素;计算物量指数时,以报告期价格为同度量因素。其计算公式如下:

派氏物价指数以报告期销售量为权数,目的在于表明在报告期销售量水平的条件下,各种商品价格综合变动的方向和程度。2020年高级统计师报名时间高级统计师考试教材统计时政热点统计师辅导高级统计师历年真购买点图片
题
派氏物量指数以报告期价格为权数,目的在于表明在报告期价格水平的条件下,各种商品销售量综合变动的方向和程度。
【例题2】仍运用表6-1的资料
表6-2
|
商品 名称 |
价格(元) |
销售量(斤) |
销售额(元) | ||||
|
11年 |
12年 |
11年 |
12年 |
|
|
| |
|
猪肉 |
2.40 |
2.60 |
500 |
600 |
1560 |
1440 |
1300 |
|
鸡蛋 |
2.00 |
2.40 |
400 |
500 |
1200 |
1000 |
960 |
|
大米 |
0.50 |
0.54 |
800 |
850 |
459 |
425 |
432 |
|
合计 |
— |
— |
— |
— |
3219 |
2865 |
2692 |
要求:计算派氏物价指数和物量指数,并进行统计分析。
【分析与提示】

计算结果表明,2012年物价指数为112.36%,比2011年上涨了12.36%,因而居民的生活费由于物价上涨多支出354元。

计算结果表明,2012年销售量指数为119.58%,销售量的增长幅度为19.58%,居民为多购买生活必需品支出527元。
派氏所计算的指数,当物价普遍上涨,销售量普遍减少时,则有下式成立:

派氏指数的主要优点在于:一是考虑到所研究社会现象的现实的经济意义,二是在研究一个因素变化时,同时也反映了另一个相关的因素的变化。
派氏指数的不足之处:一是由于使用报告期的权数,资料往往不能及时取得;二是在指数数列中,由于各期权数的不同,互相之间缺乏可比性。
三、固定期加权综合法
固定加权综合法的特点是同度量因素固定在特定时期的水平上。这种方法是由美国的统计专家杨格提出的,又称为杨格公式。其公式如下:

式中qn和pn分别表示特定代表时期的物量水平和价格水平。
杨格指数的优点在于:一是仅数一经选定,多年不变,不受指数比较时期(基期和报告期)的变化的影响。二是采用固定权数可以及时地取得资料来编制指数。三是在指数数列中,不仅便于观察现象长期发展变化的趋势,而且对于不同时期的指数的相互比较和换算也非常方便。以下用公式加以说明:
环比的物价指数数列:

由上可以看出环比指数与定基指数有两个换算关系式:
一是环比指数的连乘积等于相应的定基指数,二是相邻时期的定期指数之商等于相应的环比指数。
杨格指数所使用的固定权数,每隔一段时期必须调整,尤其是当作为固定权数的同度量因素(如物量水平或物价水平)的变化较大时,要及时调整。这是因为随着时间的推移,旧的固定权数难以反映现状的客观现象,如不及时更新,所计算的指数将产生很大的偏误。
四、编制综合指数的一般原则
通过以上的讨论,综合指数中同度量因素的固定时期的问题,众说纷纭。目前,我国关于统计指数的流行理论是:编制数量指标指数以基期的质量指标作为同度量因素,编制质量指标指数以报告期的数量指标作为同度量因素。即编制数量指标指数时用拉氏公式,编制质量指标指数时用派氏公式。这是编制综合指数的一般原则。其主要理由有两个方面:一是考虑到现实的经济意义,二是从指数体系的角度出发。
首先讨论指数的经济意义,以派氏物价指数为例:

公式的分子是报告期实际的资料,反映了居民在报告期购买商品时实际所支出的金额,分母是假定期的资料,反映了当价格不变时居民在报告期购买商品时所需要支付的金额。分子分母的对比,表示物价的变动方向和程度,分子分母的差额,表示由于物价水平的变化对居民实际支出的影响。显而易见,以上的分析具有现实的意义。再来看一下拉氏物价指数:

公式的分母是基期实际的资料,反映了居民在基期购买商品时实际所支出的金额,分子是假定期的资料。分子分母的对比表示居民维持基期的消费水平所发生的经济影响,但是实际上已经达到了报告期的消费水平,因此这种分析已失去了现实的经济意义。同理物量指数亦能以此类推,不再赘述。
其次从指数体系的角度来加以说明。在社会经济现象中,许多现象的总量指标等于它的相应的两个因素指标即 数量指标和质量指标的连乘积。例如:
销售量=销售量×销售价格
那么相应的指数是否也构成这样的关系呢?人们发现无论是拉氏指数或者是派氏指数都无法构成这种关系。即

而按编制综合指数的一般原则来编制的指数恰恰能够满足这种关系式:

当然编制综合指数的一般原则是适应于通常情况而言的,并不强调在任何情况下都必须恪守这个原则。 适用这一原则时,要结合具体的研究目的,具体问题具体分析,不能机械搬用。例如在检查成本的计划执行情况,为防止某些单位打乱产品品种计划以达到完成成本计划的做法,在编制计划完成成本指数时,不采用报告期产量作同度量因素而用计划产量作同度量因素。再如在编制综合指数时,当及时地搜集报告期的同度量因素资料(或基期的资料)确有时,也可以变通处理。另一方面西方许多国家在编制综合指数时,并不按照这个原则。因此为了国际间的对比而编制综合指数时,也需要变通处理。
五、综合指数的其它几种形式
以上分析介绍了拉氏指数、派氏指数和杨格指数。虽然这些指数各有所长,但实际运用起来又各有一些弊端。许多统计学者又设计了不少编制指数的其它方法,试图克服这种弊端。以下介绍几种较有代表性的计算公式:
1.平均权数综合法。这种方法所加入的同度量因素是拉氏权数和派氏权数的简单算术平均数。这种方法是由英国的统计学家马歇尔和埃奇沃思两人共同提出的,因此也称为马埃公式。以下分别列出其物价指数和物量指数公式:

从公式的变形可以看出,马埃公式的分子为拉氏指数的分子和派氏指数的分子之和,其分母为拉氏指数的分母和派氏指数的分母之和。借助数学方法不难证明以下结论:
若拉氏指数<派氏指数
则拉氏指数<马埃指数<派氏指数
若拉氏指数>派氏指数
则拉氏指数>马埃指数>派氏指数
也就是说,基于拉氏指数和派氏指数在权数的选择上可能存在偏大或偏小。为了减少采用拉氏指数或派氏指数而产生的偏误,马埃指数采用了折衷的方法。
2.理想公式。这是英国统计学家费歇尔为了解决不同加权指数的偏误,进行了时间与因子互换两种测验,提出了他认为是指数的最佳形式也称“理想公式”。其物价指数和物量指数的公式如下:

理想公式实际上是拉氏指数和派氏指数的几何平均数。借助数学方法可以证明以下结论:
若拉氏指数<派氏指数
则拉氏指数<理想指数<派氏指数
若拉氏指数>派氏指数
则拉氏指数>理想指数>派氏指数
也就是说,理想指数的计算结果一定介于拉氏指数和派氏指数的计算结果之间。
以上介绍的马埃指数和理想指数,以及其它一些综合指数的形式。对于综合指数的编制方法和理论探讨,以及开展统计分析,无疑具有十分重要的意义。但是由于它们的经济内容与现实的经济量距离较远,因此在统计实践中的应用不很广泛。
二、报告期加权综合法
报告期加权综合的指数中,所加入的同度量因素是固定在报告期的水平上。这种方法是由德国统计专家派许于1874年提出的,又称派氏指数。派许主张:计算物价指数时,以报告期销售量为同度量因素;计算物量指数时,以报告期价格为同度量因素。其计算公式如下:

派氏物价指数以报告期销售量为权数,目的在于表明在报告期销售量水平的条件下,各种商品价格综合变动的方向和程度。2020年高级统计师报名时间高级统计师考试教材统计时政热点统计师辅导高级统计师历年真购买点图片
题
派氏物量指数以报告期价格为权数,目的在于表明在报告期价格水平的条件下,各种商品销售量综合变动的方向和程度。
【例题2】仍运用表6-1的资料
表6-2
|
商品 名称 |
价格(元) |
销售量(斤) |
销售额(元) | ||||
|
11年 |
12年 |
11年 |
12年 |
|
|
| |
|
猪肉 |
2.40 |
2.60 |
500 |
600 |
1560 |
1440 |
1300 |
|
鸡蛋 |
2.00 |
2.40 |
400 |
500 |
1200 |
1000 |
960 |
|
大米 |
0.50 |
0.54 |
800 |
850 |
459 |
425 |
432 |
|
合计 |
— |
— |
— |
— |
3219 |
2865 |
2692 |
要求:计算派氏物价指数和物量指数,并进行统计分析。
【分析与提示】

计算结果表明,2012年物价指数为112.36%,比2011年上涨了12.36%,因而居民的生活费由于物价上涨多支出354元。

计算结果表明,2012年销售量指数为119.58%,销售量的增长幅度为19.58%,居民为多购买生活必需品支出527元。
派氏所计算的指数,当物价普遍上涨,销售量普遍减少时,则有下式成立:

派氏指数的主要优点在于:一是考虑到所研究社会现象的现实的经济意义,二是在研究一个因素变化时,同时也反映了另一个相关的因素的变化。
派氏指数的不足之处:一是由于使用报告期的权数,资料往往不能及时取得;二是在指数数列中,由于各期权数的不同,互相之间缺乏可比性。
三、固定期加权综合法
固定加权综合法的特点是同度量因素固定在特定时期的水平上。这种方法是由美国的统计专家杨格提出的,又称为杨格公式。其公式如下:

式中qn和pn分别表示特定代表时期的物量水平和价格水平。
杨格指数的优点在于:一是仅数一经选定,多年不变,不受指数比较时期(基期和报告期)的变化的影响。二是采用固定权数可以及时地取得资料来编制指数。三是在指数数列中,不仅便于观察现象长期发展变化的趋势,而且对于不同时期的指数的相互比较和换算也非常方便。以下用公式加以说明:
环比的物价指数数列:

由上可以看出环比指数与定基指数有两个换算关系式:
一是环比指数的连乘积等于相应的定基指数,二是相邻时期的定期指数之商等于相应的环比指数。
杨格指数所使用的固定权数,每隔一段时期必须调整,尤其是当作为固定权数的同度量因素(如物量水平或物价水平)的变化较大时,要及时调整。这是因为随着时间的推移,旧的固定权数难以反映现状的客观现象,如不及时更新,所计算的指数将产生很大的偏误。
四、编制综合指数的一般原则
通过以上的讨论,综合指数中同度量因素的固定时期的问题,众说纷纭。目前,我国关于统计指数的流行理论是:编制数量指标指数以基期的质量指标作为同度量因素,编制质量指标指数以报告期的数量指标作为同度量因素。即编制数量指标指数时用拉氏公式,编制质量指标指数时用派氏公式。这是编制综合指数的一般原则。其主要理由有两个方面:一是考虑到现实的经济意义,二是从指数体系的角度出发。
首先讨论指数的经济意义,以派氏物价指数为例:

公式的分子是报告期实际的资料,反映了居民在报告期购买商品时实际所支出的金额,分母是假定期的资料,反映了当价格不变时居民在报告期购买商品时所需要支付的金额。分子分母的对比,表示物价的变动方向和程度,分子分母的差额,表示由于物价水平的变化对居民实际支出的影响。显而易见,以上的分析具有现实的意义。再来看一下拉氏物价指数:

公式的分母是基期实际的资料,反映了居民在基期购买商品时实际所支出的金额,分子是假定期的资料。分子分母的对比表示居民维持基期的消费水平所发生的经济影响,但是实际上已经达到了报告期的消费水平,因此这种分析已失去了现实的经济意义。同理物量指数亦能以此类推,不再赘述。
其次从指数体系的角度来加以说明。在社会经济现象中,许多现象的总量指标等于它的相应的两个因素指标即 数量指标和质量指标的连乘积。例如:
销售量=销售量×销售价格
那么相应的指数是否也构成这样的关系呢?人们发现无论是拉氏指数或者是派氏指数都无法构成这种关系。即

而按编制综合指数的一般原则来编制的指数恰恰能够满足这种关系式:

当然编制综合指数的一般原则是适应于通常情况而言的,并不强调在任何情况下都必须恪守这个原则。 适用这一原则时,要结合具体的研究目的,具体问题具体分析,不能机械搬用。例如在检查成本的计划执行情况,为防止某些单位打乱产品品种计划以达到完成成本计划的做法,在编制计划完成成本指数时,不采用报告期产量作同度量因素而用计划产量作同度量因素。再如在编制综合指数时,当及时地搜集报告期的同度量因素资料(或基期的资料)确有时,也可以变通处理。另一方面西方许多国家在编制综合指数时,并不按照这个原则。因此为了国际间的对比而编制综合指数时,也需要变通处理。
五、综合指数的其它几种形式
以上分析介绍了拉氏指数、派氏指数和杨格指数。虽然这些指数各有所长,但实际运用起来又各有一些弊端。许多统计学者又设计了不少编制指数的其它方法,试图克服这种弊端。以下介绍几种较有代表性的计算公式:
1.平均权数综合法。这种方法所加入的同度量因素是拉氏权数和派氏权数的简单算术平均数。这种方法是由英国的统计学家马歇尔和埃奇沃思两人共同提出的,因此也称为马埃公式。以下分别列出其物价指数和物量指数公式:

从公式的变形可以看出,马埃公式的分子为拉氏指数的分子和派氏指数的分子之和,其分母为拉氏指数的分母和派氏指数的分母之和。借助数学方法不难证明以下结论:
若拉氏指数<派氏指数
则拉氏指数<马埃指数<派氏指数
若拉氏指数>派氏指数
则拉氏指数>马埃指数>派氏指数
也就是说,基于拉氏指数和派氏指数在权数的选择上可能存在偏大或偏小。为了减少采用拉氏指数或派氏指数而产生的偏误,马埃指数采用了折衷的方法。
2.理想公式。这是英国统计学家费歇尔为了解决不同加权指数的偏误,进行了时间与因子互换两种测验,提出了他认为是指数的最佳形式也称“理想公式”。其物价指数和物量指数的公式如下:

理想公式实际上是拉氏指数和派氏指数的几何平均数。借助数学方法可以证明以下结论:
若拉氏指数<派氏指数
则拉氏指数<理想指数<派氏指数
若拉氏指数>派氏指数
则拉氏指数>理想指数>派氏指数
也就是说,理想指数的计算结果一定介于拉氏指数和派氏指数的计算结果之间。
以上介绍的马埃指数和理想指数,以及其它一些综合指数的形式。对于综合指数的编制方法和理论探讨,以及开展统计分析,无疑具有十分重要的意义。但是由于它们的经济内容与现实的经济量距离较远,因此在统计实践中的应用不很广泛。
![]() |
|
| 高级统计师选课中心 | |