| 欢迎来到梦题库! 请登录 注册 今天是2026/4/22 |
![]() |
![]() |
12 | ||||
| 课程 | 题库 | 下载 | 答疑 |
第五节 偏度和峰度
一、偏度
(一)偏度的概念
总体分布有两种基本形态:对称分布和不对称分布。不对称分布就是偏态。偏度是反映不对称分布的偏态方向和程度的统计分析指标,也叫偏斜度。它结合平均数、标准差,从另一角度描述了现象总体数据分布的特点。
偏态按偏斜方向分为左向偏态和右向偏态。当
时为对称分布,即正态分布。如果
,称为右向偏态,简称右偏,此时,算术平均数与众数之差为正值,所以,右向偏态又称正偏。如果
,称为左向偏态,简称左偏,此时,算术平均数与众数之差为负值,所以左向偏态又称负偏。
(二)偏度的计算
偏度是以正态分布曲线为标准,描述分布曲线是否偏态和偏斜程度的一种量
度。其量度值为偏态系数,用SK表示。
简单偏态系数计算公式为

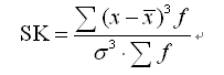
加权偏态系数计算公式为
偏态系数不仅可以说明偏斜程度大小,还可以说明偏态方向。若SK=0,表明分布是对称的,即正态分布;若SK>0,表明是右偏分布或正偏;若SK<0,表明是左偏分布或负偏。偏态系数的绝对值越小,表示数据偏斜程度越小;偏态系数的绝对值越大,表示数据偏斜程度越大。
二、峰度
(一)峰度的概念
峰度是指数据分布平峰或尖峰的程度,也叫峰态。相对于标准正态分布而言,当标志值比较集中地分布于平均数的附近,其分布曲线就比较陡峭,属于尖顶峰度;当标志值的分布比较分散,没有很明显的集中点时,其分布曲线就比较平坦,属于平顶峰度。
(二)峰度的计算
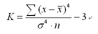
峰度是以正态分布曲线为标准,描述分布曲线的尖峭程度的一种量度。其量度值称为峰度系数,用K表示。
简单峰度系数计算公式为

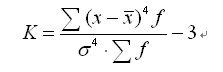
加权峰度系数计算公式为
当SK=0,K=0时,标志值的分布为正态分布。以正态分布的峰度为标准,当K<0时,分布曲线是平顶峰度,表明频数分布比较分散;当K>0时,分布曲线呈尖顶峰度,表明频数分布比较集中。峰度系数偏离0的绝对值越小,表示数据的峰度偏离正态分布的程度越小;峰度系数偏离0的绝对值越大,表示数据的峰度偏离正态分布的程度越大。
第五节 偏度和峰度
一、偏度
(一)偏度的概念
总体分布有两种基本形态:对称分布和不对称分布。不对称分布就是偏态。偏度是反映不对称分布的偏态方向和程度的统计分析指标,也叫偏斜度。它结合平均数、标准差,从另一角度描述了现象总体数据分布的特点。
偏态按偏斜方向分为左向偏态和右向偏态。当
时为对称分布,即正态分布。如果
,称为右向偏态,简称右偏,此时,算术平均数与众数之差为正值,所以,右向偏态又称正偏。如果
,称为左向偏态,简称左偏,此时,算术平均数与众数之差为负值,所以左向偏态又称负偏。
(二)偏度的计算
偏度是以正态分布曲线为标准,描述分布曲线是否偏态和偏斜程度的一种量
度。其量度值为偏态系数,用SK表示。
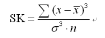
简单偏态系数计算公式为

加权偏态系数计算公式为
偏态系数不仅可以说明偏斜程度大小,还可以说明偏态方向。若SK=0,表明分布是对称的,即正态分布;若SK>0,表明是右偏分布或正偏;若SK<0,表明是左偏分布或负偏。偏态系数的绝对值越小,表示数据偏斜程度越小;偏态系数的绝对值越大,表示数据偏斜程度越大。
二、峰度
(一)峰度的概念
峰度是指数据分布平峰或尖峰的程度,也叫峰态。相对于标准正态分布而言,当标志值比较集中地分布于平均数的附近,其分布曲线就比较陡峭,属于尖顶峰度;当标志值的分布比较分散,没有很明显的集中点时,其分布曲线就比较平坦,属于平顶峰度。
(二)峰度的计算
峰度是以正态分布曲线为标准,描述分布曲线的尖峭程度的一种量度。其量度值称为峰度系数,用K表示。
简单峰度系数计算公式为

加权峰度系数计算公式为
当SK=0,K=0时,标志值的分布为正态分布。以正态分布的峰度为标准,当K<0时,分布曲线是平顶峰度,表明频数分布比较分散;当K>0时,分布曲线呈尖顶峰度,表明频数分布比较集中。峰度系数偏离0的绝对值越小,表示数据的峰度偏离正态分布的程度越小;峰度系数偏离0的绝对值越大,表示数据的峰度偏离正态分布的程度越大。
![]() |
|
| 高级统计师选课中心 | |