| 欢迎来到梦题库! 请登录 注册 今天是2026/4/22 |
![]() |
![]() |
12 | ||||
| 课程 | 题库 | 下载 | 答疑 |
(五)是非标志的标准差
1.是非标志的含义
将总体单位划分为“是”、“否”两类的标志叫是非标志。例如,产品质量表现为合格或不合格;对某一电视节目,观众表现为收看或不收看;等等,我们把这种只表现是或否、有或无的标志称为是非标志,也叫交替标志。
2.成数
总体中是非标志只有两种表现。我们把具有某种表现的单位数占全部单位数的比重和不具有某种表现的单位数占全部单位数的比重都叫成数。设具有某种标志表现的单位数为N1 ,不具有某种标志表现的单位数为N0,全部总体单位数为N,则 N = N1 + N0 。2020年高级统计师报名时间高级统计师考试教材统计时政热点统计师辅导高级统计师历年真购买点图片
题
具有某种标志表现的单位数占全部单位数的比重![]()
不具有某种标志表现的单位数占全部单位数的比重![]()
这两部分单位数占全部单位数的比重均为成数。两成数之和为:
即 p + q = 1 所以 q = 1 - p
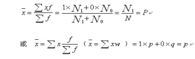
3.是非标志的平均数
是非标志是品质标志,要计算其平均数首先需要将是非标志的两种表现进行量化处理。用“1”表示具有某种表现的标志值,用“0”表示不具有某种表现的标志值,然后以“1”和“0”作为变量值计算加权算术平均数如下。

可见,是非标志的平均数等于成数。
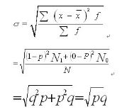
4.是非标志的标准差
是非标志的标准差计算公式如下。

【例题9】设有甲乙班组工人日产量资料如下:
|
日产量(件) |
工人数 |
日产量(件) |
工人数 | |
|
5 7 9 10 13 |
6 10 12 8 4 |
8 12 14 15 16 |
11 14 7 6 2 |
试判断甲、乙哪个班组的平均日产量代表性大。
【分析与提示】
甲班组
|
日产量X |
工人数f |
Xf |
|
|
5 7 9 10 13 |
6 10 12 8 4 |
30 70 108 80 52 |
73.5 22.5 3.0 18.0 81.0 |
|
合计 |
40 |
340 |
198 |


![]()
乙班组
|
日产量X |
工人数f |
Xf |
|
|
8 12 14 15 16 |
11 14 7 6 2 |
88 168 98 90 32 |
167.31 0.14 30.87 57.66 33.62 |
|
合计 |
40 |
476 |
289.60 |


![]()
![]()
由于两个班组的平均日产量不相等,故不能直接用标准差来比较,必须用标准差系数比较,结果表明乙班组工人的平均日产量代表性大。
【例题10】某企业准备投资开发甲新产品,现有A、B、C三个方案可供选择,经预测A、B、C三个方案的预期收益及概率如下表如示:
|
市场状况 |
概率 |
年预期收益(万元) | ||
|
A方案 |
B方案 |
C方案 | ||
|
良好 一般 较差 |
0.3 0.5 0.2 |
40 20 5 |
50 20 -5 |
80 -20 -30 |
要求:
(1)计算A、B、C三个方案预期收益率的期望值;
(2)计算A、B、C三个方案预期收益率的标准差;
(3)计算A、B、C三个方案预期收益率的标准离差率;
(4)分析A、B、C三个方案的风险选择问题
【答案】
(1)计算三个方案的收益期望值:

(2)计算三个方案的收益期望值的标准离差:

(3)计算三个方案的收益期望值的标准离差率:

(4) 通过上述计算可知,应排除C方案。
稳健的投资者选择A方案,冒险的投资者选择B方案。
第五节 偏度和峰度
(五)是非标志的标准差
1.是非标志的含义
将总体单位划分为“是”、“否”两类的标志叫是非标志。例如,产品质量表现为合格或不合格;对某一电视节目,观众表现为收看或不收看;等等,我们把这种只表现是或否、有或无的标志称为是非标志,也叫交替标志。
2.成数
总体中是非标志只有两种表现。我们把具有某种表现的单位数占全部单位数的比重和不具有某种表现的单位数占全部单位数的比重都叫成数。设具有某种标志表现的单位数为N1 ,不具有某种标志表现的单位数为N0,全部总体单位数为N,则 N = N1 + N0 。2020年高级统计师报名时间高级统计师考试教材统计时政热点统计师辅导高级统计师历年真购买点图片
题
具有某种标志表现的单位数占全部单位数的比重![]()
不具有某种标志表现的单位数占全部单位数的比重![]()
这两部分单位数占全部单位数的比重均为成数。两成数之和为:
即 p + q = 1 所以 q = 1 - p
3.是非标志的平均数
是非标志是品质标志,要计算其平均数首先需要将是非标志的两种表现进行量化处理。用“1”表示具有某种表现的标志值,用“0”表示不具有某种表现的标志值,然后以“1”和“0”作为变量值计算加权算术平均数如下。

可见,是非标志的平均数等于成数。
4.是非标志的标准差
是非标志的标准差计算公式如下。

【例题9】设有甲乙班组工人日产量资料如下:
|
日产量(件) |
工人数 |
日产量(件) |
工人数 | |
|
5 7 9 10 13 |
6 10 12 8 4 |
8 12 14 15 16 |
11 14 7 6 2 |
试判断甲、乙哪个班组的平均日产量代表性大。
【分析与提示】
甲班组
|
日产量X |
工人数f |
Xf |
|
|
5 7 9 10 13 |
6 10 12 8 4 |
30 70 108 80 52 |
73.5 22.5 3.0 18.0 81.0 |
|
合计 |
40 |
340 |
198 |


![]()
乙班组
|
日产量X |
工人数f |
Xf |
|
|
8 12 14 15 16 |
11 14 7 6 2 |
88 168 98 90 32 |
167.31 0.14 30.87 57.66 33.62 |
|
合计 |
40 |
476 |
289.60 |


![]()
![]()
由于两个班组的平均日产量不相等,故不能直接用标准差来比较,必须用标准差系数比较,结果表明乙班组工人的平均日产量代表性大。
【例题10】某企业准备投资开发甲新产品,现有A、B、C三个方案可供选择,经预测A、B、C三个方案的预期收益及概率如下表如示:
|
市场状况 |
概率 |
年预期收益(万元) | ||
|
A方案 |
B方案 |
C方案 | ||
|
良好 一般 较差 |
0.3 0.5 0.2 |
40 20 5 |
50 20 -5 |
80 -20 -30 |
要求:
(1)计算A、B、C三个方案预期收益率的期望值;
(2)计算A、B、C三个方案预期收益率的标准差;
(3)计算A、B、C三个方案预期收益率的标准离差率;
(4)分析A、B、C三个方案的风险选择问题
【答案】
(1)计算三个方案的收益期望值:

(2)计算三个方案的收益期望值的标准离差:

(3)计算三个方案的收益期望值的标准离差率:

(4) 通过上述计算可知,应排除C方案。
稳健的投资者选择A方案,冒险的投资者选择B方案。
第五节 偏度和峰度
![]() |
|
| 高级统计师选课中心 | |