| 欢迎来到梦题库! 请登录 注册 今天是2026/4/22 |
![]() |
![]() |
12 | ||||
| 课程 | 题库 | 下载 | 答疑 |
(三)标准差
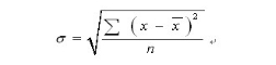
标准差是总体各单位标志值与算术平均数离差平方的算术平均数的平方根,又称均方根差。通常用 σ表示。
标准差一方面具有平均差的优点,即它将总体各单位标志值的差异全部包括在内,可以准确地反映总体的离散程度;同时,标准差还克服了平均差消除离差正负号取绝对值的缺点,能够适合于代数运算等数学处理。因此,在实际工作中一般都用标准差来测定标志变动度,它是测定总体离散程度最常用的指标。2020年高级统计师报名时间高级统计师考试教材统计时政热点统计师辅导高级统计师历年真购买点图片
题
由于掌握资料的不同,标准差可分为简单标准差与加权标准差两种形式。
1.简单标准差
对于未分组的资料,采用简单标准差计算。其计算公式为

2.加权标准差
对于已分组的资料,采用加权标准差计算。其计算公式为

(四)离散系数
以上介绍的全距、平均差、标准差都是绝对数,而且与算术平均数有着相同的计量单位,其中,标准差是最常用的指标,但是标准差的数值要受到平均指标数值大小的影响。当总体平均指标数值比较大时,标准差的数值就大;反之,当总体平均指标数值较小时,标准差的数值就小。因此,在比较不同平均水平或不同计量单位的总体变异程度时,就要采用反映标志变动度的相对指标,这就是离散系数。
1.离散系数的含义
离散系数是标志变异指标与其算术平均数之比的百分数,也叫标志变异系数。离散系数不受计量单位和标志值水平的影响。离散系数主要有全距系数、平均差系数和标准差系数,但最常用的是标准差系数。
2.标准差系数的计算方法
标准差系数是标准差与其算术平均数对比的百分数。用Vσ表示,其计算公式如下。
![]()
(三)标准差
标准差是总体各单位标志值与算术平均数离差平方的算术平均数的平方根,又称均方根差。通常用 σ表示。
标准差一方面具有平均差的优点,即它将总体各单位标志值的差异全部包括在内,可以准确地反映总体的离散程度;同时,标准差还克服了平均差消除离差正负号取绝对值的缺点,能够适合于代数运算等数学处理。因此,在实际工作中一般都用标准差来测定标志变动度,它是测定总体离散程度最常用的指标。2020年高级统计师报名时间高级统计师考试教材统计时政热点统计师辅导高级统计师历年真购买点图片
题
由于掌握资料的不同,标准差可分为简单标准差与加权标准差两种形式。
1.简单标准差
对于未分组的资料,采用简单标准差计算。其计算公式为

2.加权标准差
对于已分组的资料,采用加权标准差计算。其计算公式为

(四)离散系数
以上介绍的全距、平均差、标准差都是绝对数,而且与算术平均数有着相同的计量单位,其中,标准差是最常用的指标,但是标准差的数值要受到平均指标数值大小的影响。当总体平均指标数值比较大时,标准差的数值就大;反之,当总体平均指标数值较小时,标准差的数值就小。因此,在比较不同平均水平或不同计量单位的总体变异程度时,就要采用反映标志变动度的相对指标,这就是离散系数。
1.离散系数的含义
离散系数是标志变异指标与其算术平均数之比的百分数,也叫标志变异系数。离散系数不受计量单位和标志值水平的影响。离散系数主要有全距系数、平均差系数和标准差系数,但最常用的是标准差系数。
2.标准差系数的计算方法
标准差系数是标准差与其算术平均数对比的百分数。用Vσ表示,其计算公式如下。
![]()
![]() |
|
| 高级统计师选课中心 | |