| 欢迎来到梦题库! 请登录 注册 今天是2026/4/22 |
![]() |
![]() |
12 | ||||
| 课程 | 题库 | 下载 | 答疑 |
三、资产负债价格变动与持有损益核算
前已指出,以SNA为代表的国民核算采用现行价格核算所有的经济流量和经济存量。换言之,对于经济交易,要采用交易发生时的市场价格估价;对于资产和负债,则应按编制资产负债表时的市场价格或重置价格估价。依据这一估价原则,必然导致这样的核算结果:从期初到期末,任何价格的变动都会引起有关资产或负债的价值量发生增减变动,从而给其持有者带来一定的收益或损失。这种纯粹由于资产负债的价格水平和价格结构变化而给其持有者带来的收益或损失,就是持有损益。具体说,当一笔特定资产的价值增加或者一笔特定负债的价值减少时,都可以给其持有者带来相应的持有收益;而当一笔特定资产的价值减少或者一笔特定负债的价值增加时,则会给其持有者带来相应的持有损失。归根到底,有关资产或负债的持有损益是以它们各自对净值变动的影响来判断的,增加净值即为收益,减少净值则为损失。所以,对于负债的损益,要按照与资产的损益相反的方向去理解。2019年高级统计师报名时间高级统计师考试教材高级统计师历年真题
为了经济分析的需要,还可以按照引起持有损益的价格变动是实际价格变动、平均价格变动还是相对价格变动,进一步区分三种不同的持有损益,它们分别是:名义持有损益、中性持有损益和实际持有损益。
1.名义持有损益及其计算
名义持有损益是由于资产或负债的实际价格变动而给其持有者带来的正的或负的收益。这里的价格既可以是市场价格,也可以是市场利率或汇率;而价格的变动不涉及资产或负债的任何数量或质量上的改变。原则上,核算期内任何一段时间持有的资产或负债都可以产生名义持有损益。名义持有损益的计算方法有两种:一是直接法,二是间接法。
在讨论名义持有损益的计算或估算公式之前,有必要适当区分四种不同情形下所产生的名义持有损益:①在整个核算期内都持有的资产(或负债,下同)所产生的名义持有损益,它等于期末资产负债表中的价值减去期初资产负债表中的价值。②在核算期内获得或出现并一直持有到期末的资产所产生的名义持有损益,它等于期末资产负债表中的相应价值减去其获得或出现时的价值。③期初持有而在核算期内处置或消失的资产所产生的名义持有损益,它等于其处置或消失时的价值减去期初资产负债表中的相应价值。④在核算期内获得或出现,又在期内处置或消失了的资产所产生的名义持有损益,它等于该资产的处置价值减去其获得价值。以上,期初和期末的资产价值分别按编表时的价格估价;资产的处置价值按处置时的价格估价,获得价值按获得时的价格估价。
(1)直接法。
这种方法是直接根据上述名义持有损益所包含的内容计算全部的名义持有损益。设qt和Pt分别表示核算期内t(=0,1,…,n)时刻(具体可为核算期内的各月末或任一天)某类资产的持有数量和价格,则dt=qt - qt-1(t-l,…,n)就表示t时刻相对于前一时刻的资产数量变动,且这种变动部分是由经济交易所引起,其余部分则是由外生数量变动因素所造成。根据以上分析,分别有:
①在整个核算期内都持有的那部分资产(设其数量为
)所产生的名义持有损益为
![]()
②在期内时刻t获得或出现并持有到期末的那部分资产所产生的名义持有损益为
![]()
③期初持有但在期内某时刻£处置或消失的那部分资产(设其数量为
)所产生的名义持有损益为
![]()
④在期内某时刻t1,获得或出现,又在另一时刻t2(t2>t1)处置或消失的资产的名义持有损益为
![]()
综合以上,我们将该类资产在核算期内的数量变化次数推广到任意的n次,就可以导出按直接法计算该类资产的名义持有损益G的一般公式:

按直接法计算名义持有损益,需要具备关于各种资产的获得、处置和其他变动的时间、数量及相应价格的完整资料。但在实践中往往难以满足这些要求。
(2)间接法。
间接法又称为剩余法,它是利用衔接期初与期末资产负债表的经济交易、外生数量变动和名义持有损益的如下基本恒等式导出的:

若将期末资产价值减去期初资产价值,再从所得差额中减去所有交易和外生数量变动的价值总和,即可求得名义持有损益G。用公式表示就是


式中,p。q。和Pnqn分别是期初和期末的资产价值,∑ptdt则是核算期内发生的交
易和外生数量变动的价值总和。
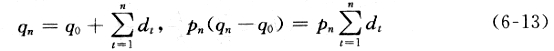
容易验证,式(6-12)与式(6-10)是等价的。因为事实上

用式(6-13)替代式(6-10)中的,即可把式(6-10)转化为式(6-12)。
采用间接法计算名义持有损益,关键是要遵守SNA的估价原则:关于资产的所有交易或外生数量变动必须按交易或外生数量变动发生时的现行价格估价,而记录在资产负债表上的资产必须按编表时的重置价格估价。这样,只要掌握核算期内的资产总变动以及交易和外生数量变动的价值总额,就可以求得名义持有损益总额。
三、资产负债价格变动与持有损益核算
前已指出,以SNA为代表的国民核算采用现行价格核算所有的经济流量和经济存量。换言之,对于经济交易,要采用交易发生时的市场价格估价;对于资产和负债,则应按编制资产负债表时的市场价格或重置价格估价。依据这一估价原则,必然导致这样的核算结果:从期初到期末,任何价格的变动都会引起有关资产或负债的价值量发生增减变动,从而给其持有者带来一定的收益或损失。这种纯粹由于资产负债的价格水平和价格结构变化而给其持有者带来的收益或损失,就是持有损益。具体说,当一笔特定资产的价值增加或者一笔特定负债的价值减少时,都可以给其持有者带来相应的持有收益;而当一笔特定资产的价值减少或者一笔特定负债的价值增加时,则会给其持有者带来相应的持有损失。归根到底,有关资产或负债的持有损益是以它们各自对净值变动的影响来判断的,增加净值即为收益,减少净值则为损失。所以,对于负债的损益,要按照与资产的损益相反的方向去理解。2019年高级统计师报名时间高级统计师考试教材高级统计师历年真题
为了经济分析的需要,还可以按照引起持有损益的价格变动是实际价格变动、平均价格变动还是相对价格变动,进一步区分三种不同的持有损益,它们分别是:名义持有损益、中性持有损益和实际持有损益。
1.名义持有损益及其计算
名义持有损益是由于资产或负债的实际价格变动而给其持有者带来的正的或负的收益。这里的价格既可以是市场价格,也可以是市场利率或汇率;而价格的变动不涉及资产或负债的任何数量或质量上的改变。原则上,核算期内任何一段时间持有的资产或负债都可以产生名义持有损益。名义持有损益的计算方法有两种:一是直接法,二是间接法。
在讨论名义持有损益的计算或估算公式之前,有必要适当区分四种不同情形下所产生的名义持有损益:①在整个核算期内都持有的资产(或负债,下同)所产生的名义持有损益,它等于期末资产负债表中的价值减去期初资产负债表中的价值。②在核算期内获得或出现并一直持有到期末的资产所产生的名义持有损益,它等于期末资产负债表中的相应价值减去其获得或出现时的价值。③期初持有而在核算期内处置或消失的资产所产生的名义持有损益,它等于其处置或消失时的价值减去期初资产负债表中的相应价值。④在核算期内获得或出现,又在期内处置或消失了的资产所产生的名义持有损益,它等于该资产的处置价值减去其获得价值。以上,期初和期末的资产价值分别按编表时的价格估价;资产的处置价值按处置时的价格估价,获得价值按获得时的价格估价。
(1)直接法。
这种方法是直接根据上述名义持有损益所包含的内容计算全部的名义持有损益。设qt和Pt分别表示核算期内t(=0,1,…,n)时刻(具体可为核算期内的各月末或任一天)某类资产的持有数量和价格,则dt=qt - qt-1(t-l,…,n)就表示t时刻相对于前一时刻的资产数量变动,且这种变动部分是由经济交易所引起,其余部分则是由外生数量变动因素所造成。根据以上分析,分别有:
①在整个核算期内都持有的那部分资产(设其数量为
)所产生的名义持有损益为
![]()
②在期内时刻t获得或出现并持有到期末的那部分资产所产生的名义持有损益为
![]()
③期初持有但在期内某时刻£处置或消失的那部分资产(设其数量为
)所产生的名义持有损益为
![]()
④在期内某时刻t1,获得或出现,又在另一时刻t2(t2>t1)处置或消失的资产的名义持有损益为
![]()
综合以上,我们将该类资产在核算期内的数量变化次数推广到任意的n次,就可以导出按直接法计算该类资产的名义持有损益G的一般公式:

按直接法计算名义持有损益,需要具备关于各种资产的获得、处置和其他变动的时间、数量及相应价格的完整资料。但在实践中往往难以满足这些要求。
(2)间接法。
间接法又称为剩余法,它是利用衔接期初与期末资产负债表的经济交易、外生数量变动和名义持有损益的如下基本恒等式导出的:

若将期末资产价值减去期初资产价值,再从所得差额中减去所有交易和外生数量变动的价值总和,即可求得名义持有损益G。用公式表示就是


式中,p。q。和Pnqn分别是期初和期末的资产价值,∑ptdt则是核算期内发生的交
易和外生数量变动的价值总和。
容易验证,式(6-12)与式(6-10)是等价的。因为事实上

用式(6-13)替代式(6-10)中的,即可把式(6-10)转化为式(6-12)。
采用间接法计算名义持有损益,关键是要遵守SNA的估价原则:关于资产的所有交易或外生数量变动必须按交易或外生数量变动发生时的现行价格估价,而记录在资产负债表上的资产必须按编表时的重置价格估价。这样,只要掌握核算期内的资产总变动以及交易和外生数量变动的价值总额,就可以求得名义持有损益总额。
![]() |
|
| 高级统计师选课中心 | |