| 欢迎来到梦题库! 请登录 注册 今天是2026/4/22 |
![]() |
![]() |
12 | ||||
| 课程 | 题库 | 下载 | 答疑 |
第二节简单回归分析
一、回归分析的意义
回归这个概念是英国的遗传学家高尔顿首先提出来的,高尔顿在研究子女身高与父母亲身高的关系时,发现一个有趣的事实。身材特别高的父母所生的孩子一般地讲也要高一些,但不是特别高。而身材特别高的孩子,其父母常常是中等偏高的身材。同时身材特别矮的父母所生的孩子一般也矮一些,但并不是特别矮。由此得了一个规律,即子女的平均身高有回复到人类总平均高度的倾向,这就是著名的“回归法则”。
回归这一名词最初用于对血缘关系的研究,现已成为统计上研究社会经济现象间相互关系的通用语。
所谓回归分析,就是对具有相互联系的现象,根据其关系的形态,选择一个合适的数学模式,用来近似地表达变量间平均变化关系。这个数学模式,称为回归方程式。
回归分析的作用很广泛,特别是社会经济的某一现象受许多错综复杂的因素影响时,回归分析是较为有效的方法。另外在投入产出,统计预测、控制等方面开展统计分析时,都要运用回归法。
二、简单回归分析的特点
简单回归分析是指对两个变量之间的变动关系分析,三个以上变量之间的回归称为复回归。本书介绍的是简单回归分析中的直线回归。
简单直线回归有以下几个特点:
1.两个变量之间不是对等关系,在进行回归分析时,必须根据研究目的,确定哪个是自变量,哪个是因变量。
2.回归方程的主要作用是给出自变量的数值来估计因变量的可能值的。一般情况下,可以求得两个回归方程。一个回归方程只能作一种推算,不能逆转推算。
3.直线回归方程中,自变量的系数称为回归系数。回归系数的符号为正时,表示正相关;回归系数的符号为负时,表示负相关。
4.确定回归方程时,要求因变量是随机的,而自变量是给定的数值。
【例题2】(2009年)请简述相关分析与回归分析的区别和联系。
【分析与提示】
1、相关分析与回归分析的区别
相关分析,两个变量是对等关系。不反映任何自变量和因变量的关系,不分彼此关系。
回归分析,两个变量之间不是对等关系,在进行回归分析时,必须根据研究目的,确定哪个是自变量,哪个是因变量。
相关分析,相关系数具有唯一性。相关系数的数值反映两变量间相关的密切程度。由于两变量的关系是对等的,改变两者的地位不影响相关系数的数值。
回归分析,回归方程的主要作用是给出自变量的数值来估计因变量的可能值的。一般情况下,可以求得两个回归方程。一个回归方程只能作一种推算,不能逆转推算。
相关分析,相关系数具有正负号。相关系数大于零表示正相关,相关系数小于零表示负相关。
回归分析,直线回归方程中,自变量的系数称为回归系数。回归系数的符号为正时,表示正相关;回归系数的符号为负时,表示负相关。
相关分析,计算相关系数对资料的要求是:相关的两个变量均为随机变量。
回归分析,
确定回归方程时,要求因变量是随机的,而自变量是给定的数值。
2、相关分析与回归分析的联系
相关分析与回归分析很多情形下是同时采用的。进行回归分析时离不开对变量的相关分析。
三、简单直线回归方程
简单直线回归方程又称为一元线性回归方程,其基本形式是:
y倚x回归方程:yc=a+bx
x倚y回归方程:xc=c+dy
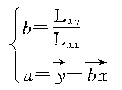
上式中,a与c分别是两条直线的起点值,在数学的解析几何中称为直线的纵截距。b与d分别是两条直线的斜率,也称为回归系数。下面以y倚x回归方程为例,运用最小平方法给出确定回归直线待定参数a和b的公式。这里讲的最小平方法与第四章时间数列中长期趋势介绍的方法一样,其推导过程请参阅第四章的有关内容,以下直接给出求参数a、b的两个标准方程式:

解方程组得:

以下举例说明确定简单直线回归方程的方法步骤:
【例题3】某工业企业产品产量与单位成本的资料如下:
表8-3
要求:
(1)确定简单直线回归方程,指出产量每增加1千件时,单位成本平均下降多少元? (2)假定产量为7千件时,单位成本为多少元?
(3)若单位成本为72元时,产量应为多少件?
解:(1)设简单直线回归方程为yc=a+bx。
由于产量是给定的数值,即产量是自变量设为x单位成本是被估计的因变量设为y,列计算表如下:
表8-4


即当产量每增加1千件时,单位成本平均下降1.36元。
实际上问题(1)说明的是回归系数的经济意义:当自变量每增加一个单位时,回归系数b为因变量的平均增加量。
(2)当产量为7千件时,单位成本是为:
yc=83.62-1.36×7=74.1元
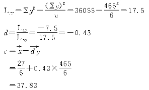
(3)当已知单位成本为72元时,确定产量的简单直线回归方程应设为xc=c+dy

所以xc=37.83-0.43y
当单位成本为72元时,产量应为:
xc=37.83-0.43×72=6.87(千件)
通过以上的例子,可以归纳出简单直线回归分析的步骤。
1.设简单直线回归方程为yc=a+bx。
这里要特别注意:自变量x是给定的数值,因变量是被估计的量,yc是推算出来的因变量的估计值,也称理论值或趋势值。另一个要注意的问题是一个回归方程只能作一种推算,例如,上述yc=83.62-1.36x,只能推算单位成本。不能作逆转推算,当需要推算产品产量时,必须运用回归方程xc=37.83-0.43y。
2.求参数a、b,分别用下面的公式。

3.将计算参数a、b的数值代入方程进行回归分析。
第二节简单回归分析
一、回归分析的意义
回归这个概念是英国的遗传学家高尔顿首先提出来的,高尔顿在研究子女身高与父母亲身高的关系时,发现一个有趣的事实。身材特别高的父母所生的孩子一般地讲也要高一些,但不是特别高。而身材特别高的孩子,其父母常常是中等偏高的身材。同时身材特别矮的父母所生的孩子一般也矮一些,但并不是特别矮。由此得了一个规律,即子女的平均身高有回复到人类总平均高度的倾向,这就是著名的“回归法则”。
回归这一名词最初用于对血缘关系的研究,现已成为统计上研究社会经济现象间相互关系的通用语。
所谓回归分析,就是对具有相互联系的现象,根据其关系的形态,选择一个合适的数学模式,用来近似地表达变量间平均变化关系。这个数学模式,称为回归方程式。
回归分析的作用很广泛,特别是社会经济的某一现象受许多错综复杂的因素影响时,回归分析是较为有效的方法。另外在投入产出,统计预测、控制等方面开展统计分析时,都要运用回归法。
二、简单回归分析的特点
简单回归分析是指对两个变量之间的变动关系分析,三个以上变量之间的回归称为复回归。本书介绍的是简单回归分析中的直线回归。
简单直线回归有以下几个特点:
1.两个变量之间不是对等关系,在进行回归分析时,必须根据研究目的,确定哪个是自变量,哪个是因变量。
2.回归方程的主要作用是给出自变量的数值来估计因变量的可能值的。一般情况下,可以求得两个回归方程。一个回归方程只能作一种推算,不能逆转推算。
3.直线回归方程中,自变量的系数称为回归系数。回归系数的符号为正时,表示正相关;回归系数的符号为负时,表示负相关。
4.确定回归方程时,要求因变量是随机的,而自变量是给定的数值。
【例题2】(2009年)请简述相关分析与回归分析的区别和联系。
【分析与提示】
1、相关分析与回归分析的区别
相关分析,两个变量是对等关系。不反映任何自变量和因变量的关系,不分彼此关系。
回归分析,两个变量之间不是对等关系,在进行回归分析时,必须根据研究目的,确定哪个是自变量,哪个是因变量。
相关分析,相关系数具有唯一性。相关系数的数值反映两变量间相关的密切程度。由于两变量的关系是对等的,改变两者的地位不影响相关系数的数值。
回归分析,回归方程的主要作用是给出自变量的数值来估计因变量的可能值的。一般情况下,可以求得两个回归方程。一个回归方程只能作一种推算,不能逆转推算。
相关分析,相关系数具有正负号。相关系数大于零表示正相关,相关系数小于零表示负相关。
回归分析,直线回归方程中,自变量的系数称为回归系数。回归系数的符号为正时,表示正相关;回归系数的符号为负时,表示负相关。
相关分析,计算相关系数对资料的要求是:相关的两个变量均为随机变量。
回归分析,
确定回归方程时,要求因变量是随机的,而自变量是给定的数值。
2、相关分析与回归分析的联系
相关分析与回归分析很多情形下是同时采用的。进行回归分析时离不开对变量的相关分析。
三、简单直线回归方程
简单直线回归方程又称为一元线性回归方程,其基本形式是:
y倚x回归方程:yc=a+bx
x倚y回归方程:xc=c+dy
上式中,a与c分别是两条直线的起点值,在数学的解析几何中称为直线的纵截距。b与d分别是两条直线的斜率,也称为回归系数。下面以y倚x回归方程为例,运用最小平方法给出确定回归直线待定参数a和b的公式。这里讲的最小平方法与第四章时间数列中长期趋势介绍的方法一样,其推导过程请参阅第四章的有关内容,以下直接给出求参数a、b的两个标准方程式:

解方程组得:

以下举例说明确定简单直线回归方程的方法步骤:
【例题3】某工业企业产品产量与单位成本的资料如下:
表8-3
要求:
(1)确定简单直线回归方程,指出产量每增加1千件时,单位成本平均下降多少元? (2)假定产量为7千件时,单位成本为多少元?
(3)若单位成本为72元时,产量应为多少件?
解:(1)设简单直线回归方程为yc=a+bx。
由于产量是给定的数值,即产量是自变量设为x单位成本是被估计的因变量设为y,列计算表如下:
表8-4


即当产量每增加1千件时,单位成本平均下降1.36元。
实际上问题(1)说明的是回归系数的经济意义:当自变量每增加一个单位时,回归系数b为因变量的平均增加量。
(2)当产量为7千件时,单位成本是为:
yc=83.62-1.36×7=74.1元
(3)当已知单位成本为72元时,确定产量的简单直线回归方程应设为xc=c+dy

所以xc=37.83-0.43y
当单位成本为72元时,产量应为:
xc=37.83-0.43×72=6.87(千件)
通过以上的例子,可以归纳出简单直线回归分析的步骤。
1.设简单直线回归方程为yc=a+bx。
这里要特别注意:自变量x是给定的数值,因变量是被估计的量,yc是推算出来的因变量的估计值,也称理论值或趋势值。另一个要注意的问题是一个回归方程只能作一种推算,例如,上述yc=83.62-1.36x,只能推算单位成本。不能作逆转推算,当需要推算产品产量时,必须运用回归方程xc=37.83-0.43y。
2.求参数a、b,分别用下面的公式。

3.将计算参数a、b的数值代入方程进行回归分析。
![]() |
|
| 高级统计师选课中心 | |