| 欢迎来到梦题库! 请登录 注册 今天是2026/4/22 |
![]() |
![]() |
12 | ||||
| 课程 | 题库 | 下载 | 答疑 |
四、等距抽样
等距抽样又称机械抽样,是先将总体各单位按一定顺序排队,根据总体单位数和样本单位数计算出抽样间隔
,然后按照这个间隔抽选样本单位。在把总体单位进行排队时,分无关标志排队和有关标志排队两种方法。所谓无关标志排队就是把总体单位按照与调查标志无关的标志排队,如调查学生成绩按姓氏笔划排队。所谓有关标志排队,是按与调查的标志有关系的标志排队,如调查工人的工资收入按工龄排队。
设全及总体中共有N个单位,拟从中抽取几个单位作为样本。把N个单位排队后,再把N个单位分成几个相等的小组,每一组中都有
个单位。等距抽样常用的有三种方法:随机起点等距抽样、半距起点等距抽样和随机起点对称等距抽样。
1.随机起点等距抽样。先在第一小组的f个单位中随机抽选一个单位,然后每隔f个单位抽取一个单位,直至抽够n个单位。这种抽样的随机性表现在抽取第一个样本单位。当第一个样本单位的位置确定以后,其余各样本单位的位置也训确定了。若是有关标志排队,这样抽到的样本单位其标志值可能出现系统地偏高或偏低的情况。
2.半距起点等距抽样。即把第一小组的中点单位定为第一组的中选单位,然后每隔f个单位抽选个单位,直至抽够n个单位。如果是有关标志排队,这种抽样方法虽然从某种程序上避免了上述那种随机起点等距抽样带来的不足,但具有破坏随机原则的可能性。
3.随机起点对称等距抽样。即从第一个小组中随机抽出一个单位作为第一个样本单位,然后每两个小组合并成一个大组,在每个大组中对称抽出两个样本单位,使每对样本单位与其相近的下限或上限的距离相等。若样本单位数n为奇数时,经过合并成大组后,将剩下一个小组。则应把这个组放在中心位置,先在这个组随机确定一个单位作为第一个单位单位,然后在该组两边并成大组,仍用对称抽样的办法抽出样本单位。随机起点对称等距抽样方法,保留了前两种方法的优点,避免了他们的局限性。
等距抽样的抽样平均误差是这样考虑的:无关标志排队等距抽样,近似于简单随机抽样。因为按无关标志排队时采用的标志与调查项目无关,则视为把总体单位不加任何选择,简单排列。所以,每个单位排在任何位置都是随机的,因而每个单位被抽中作为样本单位也是随机的。因此,计算抽样平均误差时,一般认为可以按照简单随机抽样的方法去处理。
【例题6】有一块玉米地长250米,宽70米,共种有150垅玉米。现对这块地的玉米采用等距抽样方式,抽取30个3米长垅为样本,实割实测,推算这块地的玉米产量。其工作步骤和计算程序如下:

玉米长势如何是自然形成的,可认为是无关标志排队,拟采用半距起点等距抽样方法(采用随机起点等距抽样亦可),第一个样本间隔的中点选点选取第一个样本单位,即从第
米处(实际在地边第三垅的中点),前后各取1.5米为第一个样本单位。以后在每隔1250米前后各1.5米取一个样本单位,一直取够30个样本单位为止。实割实测后得各样本单位的产量。
【分析与提示】
如表7-6:样本点实测产量分组表
表7-6

在95%的概率保证下,每3米长垅的平均产量的可能区间是:
1.55±1.96×0.035,即在1.48斤至1.62斤之间。
每亩地平均产量[ZK(]=样本单位平均产量×每亩地样本单位数


则平均亩产量的可能范围是:
738.1±1.96×16.67,即在705.43斤至770.77斤之间。
整块玉米地的面积是:

则整块玉米地的总产量的区间范围是:
1817.54斤至20232.71斤之间,概率为95%。
有关标志排队等距抽样可以看作是一种特殊的类型抽样,只不过是分类更细,且在每一类中只抽一个样本单位。所以,其抽样平均误差的计算方法一般认为可以用类型抽样条件下的计算公式计算。即
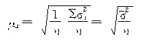
平均数的抽样平均误差,类型抽样时为:

注意到等距抽样时,每组只抽一个单位,即ni=1,则:

式中,
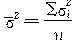
称为平均组内方差,是各组内方差的简单算术平均数。并且可以看出,等距抽样虽然不是重复抽样,但它实际上和重复抽样一样,不再区分重复抽样与不重复抽样两个计算公式。同理,成数的抽样平均误差计算公式为:

在实际计算时,总体中各等距分组的组内方差一般是未知的,但也无法用样本资料代替,因为一个组内只抽取一个样本单位。这时,我们可以用有关标志的各个等距分组的组内方差来近似地代替。
四、等距抽样
等距抽样又称机械抽样,是先将总体各单位按一定顺序排队,根据总体单位数和样本单位数计算出抽样间隔
,然后按照这个间隔抽选样本单位。在把总体单位进行排队时,分无关标志排队和有关标志排队两种方法。所谓无关标志排队就是把总体单位按照与调查标志无关的标志排队,如调查学生成绩按姓氏笔划排队。所谓有关标志排队,是按与调查的标志有关系的标志排队,如调查工人的工资收入按工龄排队。
设全及总体中共有N个单位,拟从中抽取几个单位作为样本。把N个单位排队后,再把N个单位分成几个相等的小组,每一组中都有
个单位。等距抽样常用的有三种方法:随机起点等距抽样、半距起点等距抽样和随机起点对称等距抽样。
1.随机起点等距抽样。先在第一小组的f个单位中随机抽选一个单位,然后每隔f个单位抽取一个单位,直至抽够n个单位。这种抽样的随机性表现在抽取第一个样本单位。当第一个样本单位的位置确定以后,其余各样本单位的位置也训确定了。若是有关标志排队,这样抽到的样本单位其标志值可能出现系统地偏高或偏低的情况。
2.半距起点等距抽样。即把第一小组的中点单位定为第一组的中选单位,然后每隔f个单位抽选个单位,直至抽够n个单位。如果是有关标志排队,这种抽样方法虽然从某种程序上避免了上述那种随机起点等距抽样带来的不足,但具有破坏随机原则的可能性。
3.随机起点对称等距抽样。即从第一个小组中随机抽出一个单位作为第一个样本单位,然后每两个小组合并成一个大组,在每个大组中对称抽出两个样本单位,使每对样本单位与其相近的下限或上限的距离相等。若样本单位数n为奇数时,经过合并成大组后,将剩下一个小组。则应把这个组放在中心位置,先在这个组随机确定一个单位作为第一个单位单位,然后在该组两边并成大组,仍用对称抽样的办法抽出样本单位。随机起点对称等距抽样方法,保留了前两种方法的优点,避免了他们的局限性。
等距抽样的抽样平均误差是这样考虑的:无关标志排队等距抽样,近似于简单随机抽样。因为按无关标志排队时采用的标志与调查项目无关,则视为把总体单位不加任何选择,简单排列。所以,每个单位排在任何位置都是随机的,因而每个单位被抽中作为样本单位也是随机的。因此,计算抽样平均误差时,一般认为可以按照简单随机抽样的方法去处理。
【例题6】有一块玉米地长250米,宽70米,共种有150垅玉米。现对这块地的玉米采用等距抽样方式,抽取30个3米长垅为样本,实割实测,推算这块地的玉米产量。其工作步骤和计算程序如下:

玉米长势如何是自然形成的,可认为是无关标志排队,拟采用半距起点等距抽样方法(采用随机起点等距抽样亦可),第一个样本间隔的中点选点选取第一个样本单位,即从第
米处(实际在地边第三垅的中点),前后各取1.5米为第一个样本单位。以后在每隔1250米前后各1.5米取一个样本单位,一直取够30个样本单位为止。实割实测后得各样本单位的产量。
【分析与提示】
如表7-6:样本点实测产量分组表
表7-6

在95%的概率保证下,每3米长垅的平均产量的可能区间是:
1.55±1.96×0.035,即在1.48斤至1.62斤之间。
每亩地平均产量[ZK(]=样本单位平均产量×每亩地样本单位数


则平均亩产量的可能范围是:
738.1±1.96×16.67,即在705.43斤至770.77斤之间。
整块玉米地的面积是:

则整块玉米地的总产量的区间范围是:
1817.54斤至20232.71斤之间,概率为95%。
有关标志排队等距抽样可以看作是一种特殊的类型抽样,只不过是分类更细,且在每一类中只抽一个样本单位。所以,其抽样平均误差的计算方法一般认为可以用类型抽样条件下的计算公式计算。即
平均数的抽样平均误差,类型抽样时为:

注意到等距抽样时,每组只抽一个单位,即ni=1,则:

式中,
称为平均组内方差,是各组内方差的简单算术平均数。并且可以看出,等距抽样虽然不是重复抽样,但它实际上和重复抽样一样,不再区分重复抽样与不重复抽样两个计算公式。同理,成数的抽样平均误差计算公式为:

在实际计算时,总体中各等距分组的组内方差一般是未知的,但也无法用样本资料代替,因为一个组内只抽取一个样本单位。这时,我们可以用有关标志的各个等距分组的组内方差来近似地代替。
![]() |
|
| 高级统计师选课中心 | |