| 欢迎来到梦题库! 请登录 注册 今天是2026/4/22 |
![]() |
![]() |
12 | ||||
| 课程 | 题库 | 下载 | 答疑 |
第四节平均指标构成指数
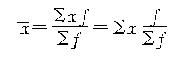
平均指标构成指数也是总指数的一种形式,与综合指数和平均数指数所不同的是它的分子和分母均为平均指标,换言之,平均指标构成指数是由两个平均指标对此而成的指数。
以下让我们首先复习一下前面所学过的平均指标的计算公式:

式中:x为工资水平,f为职工人数
则:
基期的平均工资:

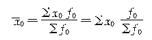
报告期的平均工资:

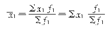
假定期的平均工资:
![]()
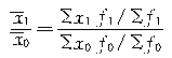
平均指标成指数有三种形式,分别为可变构成指数、固定构成指数、结构变动影响指数。
一、可变构成指数
反映总平均指标变动方向和程度的指数,称为可变构成指数。其计算公式如下:

【例题7】某企业资料如下:
表6-7
【分析与提示】
根据表中资料计算:


计算结果表明,今年工人总平均工资比去年提高了13.33%,总平均工资增加了15.8元。
第四节平均指标构成指数
平均指标构成指数也是总指数的一种形式,与综合指数和平均数指数所不同的是它的分子和分母均为平均指标,换言之,平均指标构成指数是由两个平均指标对此而成的指数。
以下让我们首先复习一下前面所学过的平均指标的计算公式:

式中:x为工资水平,f为职工人数
则:
基期的平均工资:

报告期的平均工资:

假定期的平均工资:
![]()
平均指标成指数有三种形式,分别为可变构成指数、固定构成指数、结构变动影响指数。
一、可变构成指数
反映总平均指标变动方向和程度的指数,称为可变构成指数。其计算公式如下:

【例题7】某企业资料如下:
表6-7
【分析与提示】
根据表中资料计算:


计算结果表明,今年工人总平均工资比去年提高了13.33%,总平均工资增加了15.8元。
![]() |
|
| 高级统计师选课中心 | |