| 欢迎来到梦题库! 请登录 注册 今天是2026/4/22 |
![]() |
![]() |
12 | ||||
| 课程 | 题库 | 下载 | 答疑 |
第三节平均数指数
平均数指数是个体指数的平均数,它是从个体指数出发来编制总指数的,即先计算的数量指标或质量指标的个体指数,然后加以平均以测定经济现象的变动状况。平均数指数按是否加权分为简单平均数指数和加权平均数指数两种。
一、简单平均数指数
1.简单算术平均数指数。简单算术平均数指数是各个体指数的简单算术平均数,其一般公式为:
![]()
式中:I1,I2,……,In均为个体指数。
【例题3】某地区集贸市场资料如下:
表6-3
要求:计算三种商品的简单算术平均数价格指数。
【分析与提示】

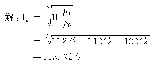
2.简单几何平均数指数。简单几何平均数指数是各个体指数的简单几何平均数,其一般公式为:
![]()
仍以表6-3的资料为例来计算三种商品的简单几何平均数价格指数。

除以上两种简单平均数指数以外,还可以用调和法、中位数法和众数法计算简单平均数指数。
由于简单平均数指数没有考虑到权数问题,事实上当某一种商品的价格指数过高(或过低)时,这样计算的总指数难于准确的反映实际情况,因此实际工作中较少采用。
二、加权平均数指数
加权平均数指数常用的基本形式有两种,一是加权算术平均数指数,二是加权调和平均数指数。以下按不同的权数分述如下:
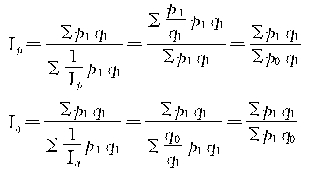
1.基期加权算术平均法。它是以基期的价值指标作为权数的加权算术平均数指数。其计算公式如下:

从公式中可以看出:对于个体质量指标指数或个体数量指标指数给以特定的基期权数
p0q0,则加权算术平均数指数可以变形为相应的拉氏综合指数。
以下举例说明其计算方法。
【例题4】某地区集贸市场资料如下:
表6-4
要求:计算三种商品的销售量总指数。
【分析与提示】

2.报告期加权调和平均法。它是以报告期的价值指标作为权数的加权调和平均数指数。其计算公式如下:

从公式中可以看出:对于个体质量指标指数或个体数量指标指数给以特定的报告期权数p1q1,则加权调和平均数指数可以变形为相应的派氏综合指数。
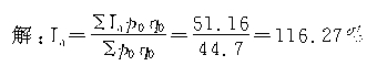
【例题5】某商店资料如下:
表6-5
要求:计算三种商品的物价总指数。
【分析与提示】

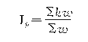
3.比重形式的固定权数平均法。它是以比重形式的固定权数来计算的平均数指数。我国现行的零售物价指数就是采用这种方法编制的。其计算公式如下:

式中:
,k是个体价格指数或是类价格指数。
【例题6】零售物价总指数的计算过程:
表6-6
|
权数 |
指数k |
指数×权数km | |
|
零售物价总指数 |
100 |
125 |
|
|
1.食品类 |
61.1 |
121.9 |
76375 |
|
(1)粮食 |
<19.7> |
125 |
22300 |
|
(2)副食品 |
<49.6> |
113.2 |
65224 |
|
(3)烟酒茶 |
<12.9> |
110.2 |
14216 |
|
(4)其他食品 |
<17.8> |
130.7 |
23265 |
|
2.衣着类 |
17.9 |
117.5 |
21032 |
|
3.日用品类 |
11.9 |
114.9 |
13673 |
|
4.文化娱乐用品类 |
4.8 |
122.6 |
5885 |
|
5.书报杂志类 |
1.2 |
112.2 |
1346 |
|
6.药及医疗用品类 |
0.7 |
124.2 |
869 |
|
7建筑材料类 |
0.8 |
111.9 |
895 |
|
8.燃料类 |
1.6 |
117.1 |
1874 |
【分析与提示】
计算零售物价总指数的具体步骤如下:
1.把各类的价格指数分别乘以该类的权数,求得指数乘权数之积2.把各中类的指数乘权数之积加总起来,除以其权数之和,得出各大类的价格指数。
![]()
![]()
食品类指数=
= =121.9%
3.用同样的方法加权平均大类指数得零售物价总指数。
三、综合指数与平均数指数的关系
综合指数与平均数指数的关系十分密切,它们是既有联系也有区别。
二者的主要联系:一是综合指数与平均指数都是反映多项事物综合变动情况的相对数,从概念上来讲,都属于总指数的范畴;二是综合指数与平均数指数的分子分母都是总量指标,也就是说,都是反映总量指标的动态情况的;三是在一定的权数下综合指数与平均数指数可以互相变形,且反映的经济内容也是完全相同的。
二者的主要区别:一是两种指数是总指数的两种独立形式,换句话说,其计算方法不同;二是综合指数主要适用于全面资料的编制,而平均数指数既可以依据全面资料编制,也可以运用非全面资料编制。三是在权数的应用上,综合指数一般采用实际资料作为权数来编制,而平均数指数既可以用实际资料为权数,也可以根据实际资料推算确定比重权数来编制。
第三节平均数指数
平均数指数是个体指数的平均数,它是从个体指数出发来编制总指数的,即先计算的数量指标或质量指标的个体指数,然后加以平均以测定经济现象的变动状况。平均数指数按是否加权分为简单平均数指数和加权平均数指数两种。
一、简单平均数指数
1.简单算术平均数指数。简单算术平均数指数是各个体指数的简单算术平均数,其一般公式为:
![]()
式中:I1,I2,……,In均为个体指数。
【例题3】某地区集贸市场资料如下:
表6-3
要求:计算三种商品的简单算术平均数价格指数。
【分析与提示】

2.简单几何平均数指数。简单几何平均数指数是各个体指数的简单几何平均数,其一般公式为:
![]()
仍以表6-3的资料为例来计算三种商品的简单几何平均数价格指数。

除以上两种简单平均数指数以外,还可以用调和法、中位数法和众数法计算简单平均数指数。
由于简单平均数指数没有考虑到权数问题,事实上当某一种商品的价格指数过高(或过低)时,这样计算的总指数难于准确的反映实际情况,因此实际工作中较少采用。
二、加权平均数指数
加权平均数指数常用的基本形式有两种,一是加权算术平均数指数,二是加权调和平均数指数。以下按不同的权数分述如下:
1.基期加权算术平均法。它是以基期的价值指标作为权数的加权算术平均数指数。其计算公式如下:

从公式中可以看出:对于个体质量指标指数或个体数量指标指数给以特定的基期权数
p0q0,则加权算术平均数指数可以变形为相应的拉氏综合指数。
以下举例说明其计算方法。
【例题4】某地区集贸市场资料如下:
表6-4
要求:计算三种商品的销售量总指数。
【分析与提示】

2.报告期加权调和平均法。它是以报告期的价值指标作为权数的加权调和平均数指数。其计算公式如下:

从公式中可以看出:对于个体质量指标指数或个体数量指标指数给以特定的报告期权数p1q1,则加权调和平均数指数可以变形为相应的派氏综合指数。
【例题5】某商店资料如下:
表6-5
要求:计算三种商品的物价总指数。
【分析与提示】

3.比重形式的固定权数平均法。它是以比重形式的固定权数来计算的平均数指数。我国现行的零售物价指数就是采用这种方法编制的。其计算公式如下:

式中:
,k是个体价格指数或是类价格指数。
【例题6】零售物价总指数的计算过程:
表6-6
|
权数 |
指数k |
指数×权数km | |
|
零售物价总指数 |
100 |
125 |
|
|
1.食品类 |
61.1 |
121.9 |
76375 |
|
(1)粮食 |
<19.7> |
125 |
22300 |
|
(2)副食品 |
<49.6> |
113.2 |
65224 |
|
(3)烟酒茶 |
<12.9> |
110.2 |
14216 |
|
(4)其他食品 |
<17.8> |
130.7 |
23265 |
|
2.衣着类 |
17.9 |
117.5 |
21032 |
|
3.日用品类 |
11.9 |
114.9 |
13673 |
|
4.文化娱乐用品类 |
4.8 |
122.6 |
5885 |
|
5.书报杂志类 |
1.2 |
112.2 |
1346 |
|
6.药及医疗用品类 |
0.7 |
124.2 |
869 |
|
7建筑材料类 |
0.8 |
111.9 |
895 |
|
8.燃料类 |
1.6 |
117.1 |
1874 |
【分析与提示】
计算零售物价总指数的具体步骤如下:
1.把各类的价格指数分别乘以该类的权数,求得指数乘权数之积2.把各中类的指数乘权数之积加总起来,除以其权数之和,得出各大类的价格指数。
![]()
![]()
食品类指数=
= =121.9%
3.用同样的方法加权平均大类指数得零售物价总指数。
三、综合指数与平均数指数的关系
综合指数与平均数指数的关系十分密切,它们是既有联系也有区别。
二者的主要联系:一是综合指数与平均指数都是反映多项事物综合变动情况的相对数,从概念上来讲,都属于总指数的范畴;二是综合指数与平均数指数的分子分母都是总量指标,也就是说,都是反映总量指标的动态情况的;三是在一定的权数下综合指数与平均数指数可以互相变形,且反映的经济内容也是完全相同的。
二者的主要区别:一是两种指数是总指数的两种独立形式,换句话说,其计算方法不同;二是综合指数主要适用于全面资料的编制,而平均数指数既可以依据全面资料编制,也可以运用非全面资料编制。三是在权数的应用上,综合指数一般采用实际资料作为权数来编制,而平均数指数既可以用实际资料为权数,也可以根据实际资料推算确定比重权数来编制。
![]() |
|
| 高级统计师选课中心 | |