| 欢迎来到梦题库! 请登录 注册 今天是2026/4/22 |
![]() |
![]() |
12 | ||||
| 课程 | 题库 | 下载 | 答疑 |
四、编制综合指数的一般原则
通过以上的讨论,综合指数中同度量因素的固定时期的问题,众说纷纭。目前,我国关于统计指数的流行理论是:编制数量指标指数以基期的质量指标作为同度量因素,编制质量指标指数以报告期的数量指标作为同度量因素。即编制数量指标指数时用拉氏公式,编制质量指标指数时用派氏公式。这是编制综合指数的一般原则。其主要理由有两个方面:一是考虑到现实的经济意义,二是从指数体系的角度出发。
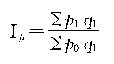
首先讨论指数的经济意义,以派氏物价指数为例:

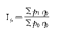
公式的分子是报告期实际的资料,反映了居民在报告期购买商品时实际所支出的金额,分母是假定期的资料,反映了当价格不变时居民在报告期购买商品时所需要支付的金额。分子分母的对比,表示物价的变动方向和程度,分子分母的差额,表示由于物价水平的变化对居民实际支出的影响。显而易见,以上的分析具有现实的意义。再来看一下拉氏物价指数:

公式的分母是基期实际的资料,反映了居民在基期购买商品时实际所支出的金额,分子是假定期的资料。分子分母的对比表示居民维持基期的消费水平所发生的经济影响,但是实际上已经达到了报告期的消费水平,因此这种分析已失去了现实的经济意义。同理物量指数亦能以此类推,不再赘述。
其次从指数体系的角度来加以说明。在社会经济现象中,许多现象的总量指标等于它的相应的两个因素指标即 数量指标和质量指标的连乘积。例如:
销售量=销售量×销售价格
那么相应的指数是否也构成这样的关系呢?人们发现无论是拉氏指数或者是派氏指数都无法构成这种关系。即

而按编制综合指数的一般原则来编制的指数恰恰能够满足这种关系式:

当然编制综合指数的一般原则是适应于通常情况而言的,并不强调在任何情况下都必须恪守这个原则。 适用这一原则时,要结合具体的研究目的,具体问题具体分析,不能机械搬用。例如在检查成本的计划执行情况,为防止某些单位打乱产品品种计划以达到完成成本计划的做法,在编制计划完成成本指数时,不采用报告期产量作同度量因素而用计划产量作同度量因素。再如在编制综合指数时,当及时地搜集报告期的同度量因素资料(或基期的资料)确有时,也可以变通处理。另一方面西方许多国家在编制综合指数时,并不按照这个原则。因此为了国际间的对比而编制综合指数时,也需要变通处理。
五、综合指数的其它几种形式
以上分析介绍了拉氏指数、派氏指数和杨格指数。虽然这些指数各有所长,但实际运用起来又各有一些弊端。许多统计学者又设计了不少编制指数的其它方法,试图克服这种弊端。以下介绍几种较有代表性的计算公式:
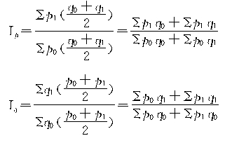
1.平均权数综合法。这种方法所加入的同度量因素是拉氏权数和派氏权数的简单算术平均数。这种方法是由英国的统计学家马歇尔和埃奇沃思两人共同提出的,因此也称为马埃公式。以下分别列出其物价指数和物量指数公式:

从公式的变形可以看出,马埃公式的分子为拉氏指数的分子和派氏指数的分子之和,其分母为拉氏指数的分母和派氏指数的分母之和。借助数学方法不难证明以下结论:
若拉氏指数<派氏指数
则拉氏指数<马埃指数<派氏指数
若拉氏指数>派氏指数
则拉氏指数>马埃指数>派氏指数
也就是说,基于拉氏指数和派氏指数在权数的选择上可能存在偏大或偏小。为了减少采用拉氏指数或派氏指数而产生的偏误,马埃指数采用了折衷的方法。
2.理想公式。这是英国统计学家费歇尔为了解决不同加权指数的偏误,进行了时间与因子互换两种测验,提出了他认为是指数的最佳形式也称“理想公式”。其物价指数和物量指数的公式如下:

理想公式实际上是拉氏指数和派氏指数的几何平均数。借助数学方法可以证明以下结论:
若拉氏指数<派氏指数
则拉氏指数<理想指数<派氏指数
若拉氏指数>派氏指数
则拉氏指数>理想指数>派氏指数
也就是说,理想指数的计算结果一定介于拉氏指数和派氏指数的计算结果之间。
以上介绍的马埃指数和理想指数,以及其它一些综合指数的形式。对于综合指数的编制方法和理论探讨,以及开展统计分析,无疑具有十分重要的意义。但是由于它们的经济内容与现实的经济量距离较远,因此在统计实践中的应用不很广泛。
四、编制综合指数的一般原则
通过以上的讨论,综合指数中同度量因素的固定时期的问题,众说纷纭。目前,我国关于统计指数的流行理论是:编制数量指标指数以基期的质量指标作为同度量因素,编制质量指标指数以报告期的数量指标作为同度量因素。即编制数量指标指数时用拉氏公式,编制质量指标指数时用派氏公式。这是编制综合指数的一般原则。其主要理由有两个方面:一是考虑到现实的经济意义,二是从指数体系的角度出发。
首先讨论指数的经济意义,以派氏物价指数为例:

公式的分子是报告期实际的资料,反映了居民在报告期购买商品时实际所支出的金额,分母是假定期的资料,反映了当价格不变时居民在报告期购买商品时所需要支付的金额。分子分母的对比,表示物价的变动方向和程度,分子分母的差额,表示由于物价水平的变化对居民实际支出的影响。显而易见,以上的分析具有现实的意义。再来看一下拉氏物价指数:

公式的分母是基期实际的资料,反映了居民在基期购买商品时实际所支出的金额,分子是假定期的资料。分子分母的对比表示居民维持基期的消费水平所发生的经济影响,但是实际上已经达到了报告期的消费水平,因此这种分析已失去了现实的经济意义。同理物量指数亦能以此类推,不再赘述。
其次从指数体系的角度来加以说明。在社会经济现象中,许多现象的总量指标等于它的相应的两个因素指标即 数量指标和质量指标的连乘积。例如:
销售量=销售量×销售价格
那么相应的指数是否也构成这样的关系呢?人们发现无论是拉氏指数或者是派氏指数都无法构成这种关系。即

而按编制综合指数的一般原则来编制的指数恰恰能够满足这种关系式:

当然编制综合指数的一般原则是适应于通常情况而言的,并不强调在任何情况下都必须恪守这个原则。 适用这一原则时,要结合具体的研究目的,具体问题具体分析,不能机械搬用。例如在检查成本的计划执行情况,为防止某些单位打乱产品品种计划以达到完成成本计划的做法,在编制计划完成成本指数时,不采用报告期产量作同度量因素而用计划产量作同度量因素。再如在编制综合指数时,当及时地搜集报告期的同度量因素资料(或基期的资料)确有时,也可以变通处理。另一方面西方许多国家在编制综合指数时,并不按照这个原则。因此为了国际间的对比而编制综合指数时,也需要变通处理。
五、综合指数的其它几种形式
以上分析介绍了拉氏指数、派氏指数和杨格指数。虽然这些指数各有所长,但实际运用起来又各有一些弊端。许多统计学者又设计了不少编制指数的其它方法,试图克服这种弊端。以下介绍几种较有代表性的计算公式:
1.平均权数综合法。这种方法所加入的同度量因素是拉氏权数和派氏权数的简单算术平均数。这种方法是由英国的统计学家马歇尔和埃奇沃思两人共同提出的,因此也称为马埃公式。以下分别列出其物价指数和物量指数公式:

从公式的变形可以看出,马埃公式的分子为拉氏指数的分子和派氏指数的分子之和,其分母为拉氏指数的分母和派氏指数的分母之和。借助数学方法不难证明以下结论:
若拉氏指数<派氏指数
则拉氏指数<马埃指数<派氏指数
若拉氏指数>派氏指数
则拉氏指数>马埃指数>派氏指数
也就是说,基于拉氏指数和派氏指数在权数的选择上可能存在偏大或偏小。为了减少采用拉氏指数或派氏指数而产生的偏误,马埃指数采用了折衷的方法。
2.理想公式。这是英国统计学家费歇尔为了解决不同加权指数的偏误,进行了时间与因子互换两种测验,提出了他认为是指数的最佳形式也称“理想公式”。其物价指数和物量指数的公式如下:

理想公式实际上是拉氏指数和派氏指数的几何平均数。借助数学方法可以证明以下结论:
若拉氏指数<派氏指数
则拉氏指数<理想指数<派氏指数
若拉氏指数>派氏指数
则拉氏指数>理想指数>派氏指数
也就是说,理想指数的计算结果一定介于拉氏指数和派氏指数的计算结果之间。
以上介绍的马埃指数和理想指数,以及其它一些综合指数的形式。对于综合指数的编制方法和理论探讨,以及开展统计分析,无疑具有十分重要的意义。但是由于它们的经济内容与现实的经济量距离较远,因此在统计实践中的应用不很广泛。
![]() |
|
| 高级统计师选课中心 | |