| 欢迎来到梦题库! 请登录 注册 今天是2026/4/22 |
![]() |
![]() |
12 | ||||
| 课程 | 题库 | 下载 | 答疑 |
第二节 时间数列的水平分析
时间数列的动态分析主要有水平分析和速度分析两种。水平分析主要有发展水平,平均发展水平、增长量、平均增长量四种指标。速度分析主要有发展速度、增长速度、平均发展速度、平均增长速度四种指标。水平分析是速度分析的基础,速度分析是水平分析的深入和继续。
一、发展水平和平均发展水平
(一)发展水平。时间数列中的每个指标数值叫做发展水平或时间数列水平。它可以是总量指标,也可以是相对指标或平均指标
时间数列中第一个指标数值称为最初水平,最后一个指标数值称为最末水平,其余各个指标数值称为中间水平。
设时间数列为:
a0,a1,a2,a3,……,an-1,an
其中:a0称最初水平,an称最末水平。
发展水平根据作用不同,有基期水平和报告期水平之分。报告期水平一般是指时间在后的那个时期的发展水平,又称计算期水平。基期水平和报告期水平分别以a0和a1表示。
(二)平均发展水平一序时平均数。平均发展水平是对不同时期的发展水平求平均数,也称序时平均数或动态平均数。它与静态平均数有共同之处,都是将现象的数量差异抽象化,作为其代表水平的。彼此又有区别。序时平均数是根据时间数列来计算的,是社会经济现象在不同时间上的数量差异抽象化,从动态上说明其在一段时间内的代表水平。而静态平均数是根据静态数列来计算的,是社会经济现象在同一时间上的数量差异抽象化,从静态上说明其在具体历史条件下的代表水平。
序时平均数可以对总量指标时间数列、相对指标时间数列、平均指标时间数列进行计算。从方法上说,对总量指标时间数列的计算是最基本的,其余对另外两种时间数列的序时平均数,也是由此派生而成的。
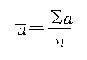
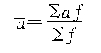
1.总量指标时间数列的序时平均数
总量指标时间数列的序时平均数有时期数列和时点数列两种不同的计算方法。
(一)时期数列的序时平均数。一般采用简单算术平均法,其计算公式如下:

【例题1】某工业企业资料如下:
表4-2 单位:万元

【分析与提示】
这里提请大家注意的是除了公式的应用条件之外,分母“n”要与序时平均数计算问题中的日历数相一致。
(二)时点数列的序时平均数。时点数列有逐日登记和间断登记两种情况。
以下先研究间断时点数列问题:
(1)时间间隔相等时,按“首末折半法”计算,公式如下:
【例题2】某银行储蓄所资料如下:
表4-3 单位:万元

要求:计算一季度月平均储蓄额。
【分析与提示】
本例题的经济关系式应如下:

然而资料中仅有时间的端点值,即月初资料,假定资料的变动是呈均匀状况的,则可用其平均数作为各月份的储蓄额代表值。


以上不仅介绍了“首末折半法”的计算,同时又说明了公式的推导过程。
在运用“首末折半法”公式时,注意以下几个问题:
①应用公式时,是假定了相邻点的数值变化是均匀的。
②公式的应用条件是时点数列,间隔相等,且均为时间的端点值。即月(季、年)初或月(季、年)末的数值。
③计算时运用数列的项数应该比日历数多l而分母“n-1”必须与日历数一致。
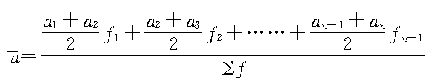
(2)时间间隔不相等时,其计算公式如下:

其中:f为时间间隔,表示权数
【例题3】某地区生猪存栏数资料如下:
表4-4 单位:百头

要求:计算该地区全年平均生猪存栏数。
【分析与提示】

![]()
与“首末折半法”相.类似,运用公式时,应注意以下几个问题:
①应用公式时,是假定了相邻点的数值变化是均匀的。
②公式的应用条件是时点数列,间隔不相等,且均为时间的端点值。即月(季、年)初或月(季、年)末的数值。
③分母“∑f”必须与日历数相一致。
(3)时间数列以天为时点来计算时,有两种计算公式,分述如下:
方法一:简单算术平均法:

此公式的应用条件是已知某时间内每日的资料,运用简单算术平均法。
方法二:加权算术平均法:

其中:f为时间权数。
第二节 时间数列的水平分析
时间数列的动态分析主要有水平分析和速度分析两种。水平分析主要有发展水平,平均发展水平、增长量、平均增长量四种指标。速度分析主要有发展速度、增长速度、平均发展速度、平均增长速度四种指标。水平分析是速度分析的基础,速度分析是水平分析的深入和继续。
一、发展水平和平均发展水平
(一)发展水平。时间数列中的每个指标数值叫做发展水平或时间数列水平。它可以是总量指标,也可以是相对指标或平均指标
时间数列中第一个指标数值称为最初水平,最后一个指标数值称为最末水平,其余各个指标数值称为中间水平。
设时间数列为:
a0,a1,a2,a3,……,an-1,an
其中:a0称最初水平,an称最末水平。
发展水平根据作用不同,有基期水平和报告期水平之分。报告期水平一般是指时间在后的那个时期的发展水平,又称计算期水平。基期水平和报告期水平分别以a0和a1表示。
(二)平均发展水平一序时平均数。平均发展水平是对不同时期的发展水平求平均数,也称序时平均数或动态平均数。它与静态平均数有共同之处,都是将现象的数量差异抽象化,作为其代表水平的。彼此又有区别。序时平均数是根据时间数列来计算的,是社会经济现象在不同时间上的数量差异抽象化,从动态上说明其在一段时间内的代表水平。而静态平均数是根据静态数列来计算的,是社会经济现象在同一时间上的数量差异抽象化,从静态上说明其在具体历史条件下的代表水平。
序时平均数可以对总量指标时间数列、相对指标时间数列、平均指标时间数列进行计算。从方法上说,对总量指标时间数列的计算是最基本的,其余对另外两种时间数列的序时平均数,也是由此派生而成的。
1.总量指标时间数列的序时平均数
总量指标时间数列的序时平均数有时期数列和时点数列两种不同的计算方法。
(一)时期数列的序时平均数。一般采用简单算术平均法,其计算公式如下:

【例题1】某工业企业资料如下:
表4-2 单位:万元

【分析与提示】
这里提请大家注意的是除了公式的应用条件之外,分母“n”要与序时平均数计算问题中的日历数相一致。
(二)时点数列的序时平均数。时点数列有逐日登记和间断登记两种情况。
以下先研究间断时点数列问题:
(1)时间间隔相等时,按“首末折半法”计算,公式如下:
【例题2】某银行储蓄所资料如下:
表4-3 单位:万元

要求:计算一季度月平均储蓄额。
【分析与提示】
本例题的经济关系式应如下:

然而资料中仅有时间的端点值,即月初资料,假定资料的变动是呈均匀状况的,则可用其平均数作为各月份的储蓄额代表值。


以上不仅介绍了“首末折半法”的计算,同时又说明了公式的推导过程。
在运用“首末折半法”公式时,注意以下几个问题:
①应用公式时,是假定了相邻点的数值变化是均匀的。
②公式的应用条件是时点数列,间隔相等,且均为时间的端点值。即月(季、年)初或月(季、年)末的数值。
③计算时运用数列的项数应该比日历数多l而分母“n-1”必须与日历数一致。
(2)时间间隔不相等时,其计算公式如下:

其中:f为时间间隔,表示权数
【例题3】某地区生猪存栏数资料如下:
表4-4 单位:百头

要求:计算该地区全年平均生猪存栏数。
【分析与提示】

![]()
与“首末折半法”相.类似,运用公式时,应注意以下几个问题:
①应用公式时,是假定了相邻点的数值变化是均匀的。
②公式的应用条件是时点数列,间隔不相等,且均为时间的端点值。即月(季、年)初或月(季、年)末的数值。
③分母“∑f”必须与日历数相一致。
(3)时间数列以天为时点来计算时,有两种计算公式,分述如下:
方法一:简单算术平均法:

此公式的应用条件是已知某时间内每日的资料,运用简单算术平均法。
方法二:加权算术平均法:

其中:f为时间权数。
![]() |
|
| 高级统计师选课中心 | |