| 欢迎来到梦题库! 请登录 注册 今天是2026/4/22 |
![]() |
![]() |
12 | ||||
| 课程 | 题库 | 下载 | 答疑 |
第四节 标志变异指标
一、标志变异指标的意义和作用
(一)标志变异指标的含义及意义
标志变异指标是反映总体各项标志值差异程度的综合指标,又叫标志变动度。
为什么要计算标志变动度呢?因为平均指标是用来说明现象集中趋势的代表性数值,而在同质总体中各单位标志值还存在着差异,要想测定标志值的差异程度和离中趋势,看其平均数的代表性大小,就必须通过标志变动度才能说明。
(二)标志变异指标的作用
1.标志变异指标可以说明平均指标的代表性;
2.标志变异指标可以说明现象变动的稳定性、均衡性;
3.标志变异指标的大小,有助于正确确定必要的抽样数目;
4. 标志变异指标可以衡量经济现象的风险大小。
二、测定标志变动度的指标
测定标志变动度的指标主要有全距、平均差、标准差和离散系数。
(一)全距
全距是总体各单位标志值中最大值与最小值之差,也称极差。一般用R表示。其计算公式为
全距 = 最大标志值 - 最小标志值
如果是组距数列,其全距则通过下式计算。
全距 = 最高组上限 - 最低组下限
全距数值越小,反映变量值越集中,标志变动度越小,平均数的代表性就越大;反之,全距数值越大,说明变量值越分散,标志变动度越大,平均数的代表性则越小。
全距指标比较简便,也容易计算,在实际工作中常用来检验产品质量。
全距指标是根据两个极端标志值计算的,没有考虑中间各个变量的变动情况,因此它只能说明总体中两个极端标志值的差异范围,而不能全面反映所有标志值的综合变动程度,在使用上有很大的局限性。如果要全面测定标志值的变动程度则需要计算其他标志变异指标。
(二)平均差
平均差是总体各单位标志值与其算术平均数离差的绝对值的算术平均数。通常以A•D表示。
由于各单位变量值与其算术平均数的离差之和恒等于零,无法计算离差的算术平均数,因此要取每个离差的绝对值加以平均。平均差实质是以算术平均数为中心,各标志值距平均数的平均距离。
由于掌握资料的不同,平均差可分为简单平均差和加权平均差两种。
1.简单平均差
对于未分组的资料,采用简单平均差方法计算。其计算公式如下。
![]()
2.加权平均差
对于已分组的资料,采用加权平均差方法计算。其计算公式如下。
![]()
平均差的计算考虑了研究总体中所有标志值的差异程度,所以可以准确地综合反映总体的离散程度。但平均差在消除离差正负号时,采用的是绝对值的形式,不便于进行数学处理,因此在实际应用中受到很大限制。
(三)标准差
标准差是总体各单位标志值与算术平均数离差平方的算术平均数的平方根,又称均方根差。通常用 σ表示。
标准差一方面具有平均差的优点,即它将总体各单位标志值的差异全部包括在内,可以准确地反映总体的离散程度;同时,标准差还克服了平均差消除离差正负号取绝对值的缺点,能够适合于代数运算等数学处理。因此,在实际工作中一般都用标准差来测定标志变动度,它是测定总体离散程度最常用的指标。
由于掌握资料的不同,标准差可分为简单标准差与加权标准差两种形式。
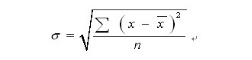
1.简单标准差
对于未分组的资料,采用简单标准差计算。其计算公式为

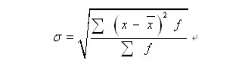
2.加权标准差
对于已分组的资料,采用加权标准差计算。其计算公式为

第四节 标志变异指标
一、标志变异指标的意义和作用
(一)标志变异指标的含义及意义
标志变异指标是反映总体各项标志值差异程度的综合指标,又叫标志变动度。
为什么要计算标志变动度呢?因为平均指标是用来说明现象集中趋势的代表性数值,而在同质总体中各单位标志值还存在着差异,要想测定标志值的差异程度和离中趋势,看其平均数的代表性大小,就必须通过标志变动度才能说明。
(二)标志变异指标的作用
1.标志变异指标可以说明平均指标的代表性;
2.标志变异指标可以说明现象变动的稳定性、均衡性;
3.标志变异指标的大小,有助于正确确定必要的抽样数目;
4. 标志变异指标可以衡量经济现象的风险大小。
二、测定标志变动度的指标
测定标志变动度的指标主要有全距、平均差、标准差和离散系数。
(一)全距
全距是总体各单位标志值中最大值与最小值之差,也称极差。一般用R表示。其计算公式为
全距 = 最大标志值 - 最小标志值
如果是组距数列,其全距则通过下式计算。
全距 = 最高组上限 - 最低组下限
全距数值越小,反映变量值越集中,标志变动度越小,平均数的代表性就越大;反之,全距数值越大,说明变量值越分散,标志变动度越大,平均数的代表性则越小。
全距指标比较简便,也容易计算,在实际工作中常用来检验产品质量。
全距指标是根据两个极端标志值计算的,没有考虑中间各个变量的变动情况,因此它只能说明总体中两个极端标志值的差异范围,而不能全面反映所有标志值的综合变动程度,在使用上有很大的局限性。如果要全面测定标志值的变动程度则需要计算其他标志变异指标。
(二)平均差
平均差是总体各单位标志值与其算术平均数离差的绝对值的算术平均数。通常以A•D表示。
由于各单位变量值与其算术平均数的离差之和恒等于零,无法计算离差的算术平均数,因此要取每个离差的绝对值加以平均。平均差实质是以算术平均数为中心,各标志值距平均数的平均距离。
由于掌握资料的不同,平均差可分为简单平均差和加权平均差两种。
1.简单平均差
对于未分组的资料,采用简单平均差方法计算。其计算公式如下。
![]()
2.加权平均差
对于已分组的资料,采用加权平均差方法计算。其计算公式如下。
![]()
平均差的计算考虑了研究总体中所有标志值的差异程度,所以可以准确地综合反映总体的离散程度。但平均差在消除离差正负号时,采用的是绝对值的形式,不便于进行数学处理,因此在实际应用中受到很大限制。
(三)标准差
标准差是总体各单位标志值与算术平均数离差平方的算术平均数的平方根,又称均方根差。通常用 σ表示。
标准差一方面具有平均差的优点,即它将总体各单位标志值的差异全部包括在内,可以准确地反映总体的离散程度;同时,标准差还克服了平均差消除离差正负号取绝对值的缺点,能够适合于代数运算等数学处理。因此,在实际工作中一般都用标准差来测定标志变动度,它是测定总体离散程度最常用的指标。
由于掌握资料的不同,标准差可分为简单标准差与加权标准差两种形式。
1.简单标准差
对于未分组的资料,采用简单标准差计算。其计算公式为

2.加权标准差
对于已分组的资料,采用加权标准差计算。其计算公式为

![]() |
|
| 高级统计师选课中心 | |