| 欢迎来到梦题库! 请登录 注册 今天是2026/4/21 |
![]() |
![]() |
12 | ||||
| 课程 | 题库 | 下载 | 答疑 |
第八章相关分析与回归分析
第一节相关分析
一、相关关系的概念
在社会经济活动过程中的许多事物或现象,彼此之间都是有机地相互联系着,相互依赖着,相互制约着,具有内在的规律性。例如,居民的收入与支出的关系;施肥量与粮食亩产量的关系;社会商品购买力与物价指数的关系;单位产品成本与产品产量的关系,人的身高与体重的关系,父子身高之间的关系等等。
我们在研究与分析错综复杂的社会经济现象时,所关心的问题是:变量之间是否有依存关系?如果有依存关系,关系的密切程度如何?关系的具体形式如何?关系的变动方向如何?相关分析就是研究两个或两个以上变量之间相关程度的大小以及用怎样的函数关系来表示的一种统计方法。进行相关分析,首先要明确什么是相关关系。相关关系与函数关系是既有区别又有联系。其区别在于函数关系是一种严格的、固定的关系。例如,园面积S=πR²,园面积是半径的函数,显然这是一种严格的、固定的关系。而相关关系则不是这样的,例如,施肥量与粮食亩产量,若干耕地的施肥量一样,但亩产量却不一样,它受着随机因素的干扰。相关关系与函数关系的联系在于,相关分析要借助函数式来描述变量之间的规律性。
相关关系与因果关系也不同,相关关系是比因果关系更为广泛的一种关系。
二、相关关系的种类
现象之间的相关关系是很复杂的,它们各以不同的方向,不同的关联程度相互作用着,并表现出不同的类型和形态。
1.按相关关系涉及的因素的多少,可以分为单相关与复相关。单相关是指相关关系只涉及两个变量,例如,施肥量与亩产量的相关关系。复相关是指相关关系涉及了三个及三个以上的变量,例如,物价指数与货币发行量、社会商品购买力等的相关关系。
2.按相关的方向不同,可以分为正相关与负相关。正相关是指相关的若干变量的变动方向是一致的,例如,工业企业的利润随着生产的向前发展而增加。负相关是指相关的若干变量的变动方向不是一致的,例如,商品流通费用水平随着商品销售额的增加而下降。
3.按相关的形式不同,可以分为线性相关和非线性相关。这是从相关分析所依据的函数关系式来说的,若函数关系式是线性函数,则称为线性相关,若函数关系式是非线性函数,则称为非线性相关。
4.按相关的程度不同,可以分为完全相关、不完全相关和无相关三种。安全相关是指一个变量的值由另一个或另一组变量的值所决定,它们之间是一种确定的函数关系。如果一个变量的值不但与另一个或一组变量的值有关,而且受随机因素的影响,则变量之间的相关关系表现为不完全相关。如果一变量的值不受另一个或一组变量的值所影响,彼此独立,则变量之间没有相关关系,即为不相关。
三、简单线性相关分析的特点
相关分析用于反映两个变量之间的线性联系程度时,称为简单线性相关分析。其主要特点如下:
1.两个变量是对等关系。不反映任何自变量和因变量的关系,不分彼此关系。
2.相关系数具有唯一性。相关系数的数值反映两变量间相关的密切程度。由于两变量的关系是对等的,改变两者的地位不影响相关系数的数值。
3.相关系数具有正负号。相关系数大于零表示正相关,相关系数小于零表示负相关。
4.计算相关系数对资料的要求是:相关的两个变量均为随机变量。
四、相关系数
要计算相关系数,先要计算三项指标:
自变量数列的标准差:

因变量数列的标准差:

自变量、因变量两个数列的协方差:

相关系数用字母r表示,则用积差法计算的相关系数的计算公式:

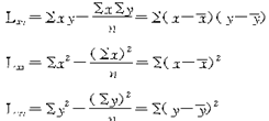
引进符号:

则:

相关系数r的性质如下:
1.相关系数r的数值变化范围为:|r|≤1,或-1≤r≤1。
2.当|r|=1时,表示变量x与y为完全线性相关,x与y之间存在着确定的函数关系。
3.当r=0时,表示变量y的变化与x无关,即变量x与y无线性相关。
4.当|r|愈趋近于1时,则表示变量x与y的线性相关程度愈高;当|r|愈趋近于0时,则表示变量x与y线性相关程度愈低。
判断的标准一般是:|r|<0.3,称为微弱相关;0.3<|r|<0.5,称为低度相关,0.5≤|r|<0.8,称为显著相关,0.8<|r|<1,称为高度相关。
5.当r>0时,表示变量x与y为正相关;当r<0时,表示变量x与y为负相关。
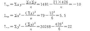
【例题1】
表8-1

表8-2

解:

则:
这说明了产量与单位成本之间为高度负相关。
第八章相关分析与回归分析
第一节相关分析
一、相关关系的概念
在社会经济活动过程中的许多事物或现象,彼此之间都是有机地相互联系着,相互依赖着,相互制约着,具有内在的规律性。例如,居民的收入与支出的关系;施肥量与粮食亩产量的关系;社会商品购买力与物价指数的关系;单位产品成本与产品产量的关系,人的身高与体重的关系,父子身高之间的关系等等。
我们在研究与分析错综复杂的社会经济现象时,所关心的问题是:变量之间是否有依存关系?如果有依存关系,关系的密切程度如何?关系的具体形式如何?关系的变动方向如何?相关分析就是研究两个或两个以上变量之间相关程度的大小以及用怎样的函数关系来表示的一种统计方法。进行相关分析,首先要明确什么是相关关系。相关关系与函数关系是既有区别又有联系。其区别在于函数关系是一种严格的、固定的关系。例如,园面积S=πR²,园面积是半径的函数,显然这是一种严格的、固定的关系。而相关关系则不是这样的,例如,施肥量与粮食亩产量,若干耕地的施肥量一样,但亩产量却不一样,它受着随机因素的干扰。相关关系与函数关系的联系在于,相关分析要借助函数式来描述变量之间的规律性。
相关关系与因果关系也不同,相关关系是比因果关系更为广泛的一种关系。
二、相关关系的种类
现象之间的相关关系是很复杂的,它们各以不同的方向,不同的关联程度相互作用着,并表现出不同的类型和形态。
1.按相关关系涉及的因素的多少,可以分为单相关与复相关。单相关是指相关关系只涉及两个变量,例如,施肥量与亩产量的相关关系。复相关是指相关关系涉及了三个及三个以上的变量,例如,物价指数与货币发行量、社会商品购买力等的相关关系。
2.按相关的方向不同,可以分为正相关与负相关。正相关是指相关的若干变量的变动方向是一致的,例如,工业企业的利润随着生产的向前发展而增加。负相关是指相关的若干变量的变动方向不是一致的,例如,商品流通费用水平随着商品销售额的增加而下降。
3.按相关的形式不同,可以分为线性相关和非线性相关。这是从相关分析所依据的函数关系式来说的,若函数关系式是线性函数,则称为线性相关,若函数关系式是非线性函数,则称为非线性相关。
4.按相关的程度不同,可以分为完全相关、不完全相关和无相关三种。安全相关是指一个变量的值由另一个或另一组变量的值所决定,它们之间是一种确定的函数关系。如果一个变量的值不但与另一个或一组变量的值有关,而且受随机因素的影响,则变量之间的相关关系表现为不完全相关。如果一变量的值不受另一个或一组变量的值所影响,彼此独立,则变量之间没有相关关系,即为不相关。
三、简单线性相关分析的特点
相关分析用于反映两个变量之间的线性联系程度时,称为简单线性相关分析。其主要特点如下:
1.两个变量是对等关系。不反映任何自变量和因变量的关系,不分彼此关系。
2.相关系数具有唯一性。相关系数的数值反映两变量间相关的密切程度。由于两变量的关系是对等的,改变两者的地位不影响相关系数的数值。
3.相关系数具有正负号。相关系数大于零表示正相关,相关系数小于零表示负相关。
4.计算相关系数对资料的要求是:相关的两个变量均为随机变量。
四、相关系数
要计算相关系数,先要计算三项指标:
自变量数列的标准差:

因变量数列的标准差:

自变量、因变量两个数列的协方差:

相关系数用字母r表示,则用积差法计算的相关系数的计算公式:

引进符号:

则:

相关系数r的性质如下:
1.相关系数r的数值变化范围为:|r|≤1,或-1≤r≤1。
2.当|r|=1时,表示变量x与y为完全线性相关,x与y之间存在着确定的函数关系。
3.当r=0时,表示变量y的变化与x无关,即变量x与y无线性相关。
4.当|r|愈趋近于1时,则表示变量x与y的线性相关程度愈高;当|r|愈趋近于0时,则表示变量x与y线性相关程度愈低。
判断的标准一般是:|r|<0.3,称为微弱相关;0.3<|r|<0.5,称为低度相关,0.5≤|r|<0.8,称为显著相关,0.8<|r|<1,称为高度相关。
5.当r>0时,表示变量x与y为正相关;当r<0时,表示变量x与y为负相关。
【例题1】
表8-1

表8-2

解:

则:
这说明了产量与单位成本之间为高度负相关。
![]() |
|
| 高级统计师选课中心 | |