| 欢迎来到梦题库! 请登录 注册 今天是2026/4/21 |
![]() |
![]() |
12 | ||||
| 课程 | 题库 | 下载 | 答疑 |
五、整群抽样
整群抽样是先将总体分为若干群,然后随机地抽选一些群,对抽到的样本群中的所有单位进行全面调查。若把一群看作是一个单位,则整群抽样就可以视为扩大了总体单位的简单随机抽样。把总体分为若干群,每一群中包括的单位数可以相等,也可以不相等。
下面讨论整群抽样的抽样平均误差。设把总体分成R群,随机地从中抽取r群组成样本。为了简便计算,我们假设各群中包括的单位数都相等,设都包括有M个单位。由此不难类推各群中包括的单位数不相等的情况。
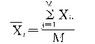
设第i(i=1,2……R)群中第j(j=1,2……m)个单位的标志值为xij,则第i群的标志值xi可用其各单位的标志值的平均数表示,即

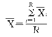
则总体所有群的平均数
为:

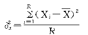
平均数的群间方差
依照简单随机抽样的情形,整群抽样的平均数的抽样平均误差
为:

在计算时,若总体群间方差未知,也可以用样本群间方差代替。
又,设第i群的成数为
;总体成数为
。因为已设各群中的总体单位都相等,为M,所以,
。则成数的群间方差为:

成数的抽样平均误差
为:

【例题7】某县统计局从全县1000个村中随机抽出100个村,调查各户的家禽饲养只数,得如下样本资料(见表),假设每村所包括的户数都相等,试以95.45%的概率估计全县平均每户饲养家禽的只数的区间范围。
整群抽样样本资料
表7-7


【分析与提示】

五、整群抽样
整群抽样是先将总体分为若干群,然后随机地抽选一些群,对抽到的样本群中的所有单位进行全面调查。若把一群看作是一个单位,则整群抽样就可以视为扩大了总体单位的简单随机抽样。把总体分为若干群,每一群中包括的单位数可以相等,也可以不相等。
下面讨论整群抽样的抽样平均误差。设把总体分成R群,随机地从中抽取r群组成样本。为了简便计算,我们假设各群中包括的单位数都相等,设都包括有M个单位。由此不难类推各群中包括的单位数不相等的情况。
设第i(i=1,2……R)群中第j(j=1,2……m)个单位的标志值为xij,则第i群的标志值xi可用其各单位的标志值的平均数表示,即

则总体所有群的平均数
为:

平均数的群间方差
依照简单随机抽样的情形,整群抽样的平均数的抽样平均误差
为:

在计算时,若总体群间方差未知,也可以用样本群间方差代替。
又,设第i群的成数为
;总体成数为
。因为已设各群中的总体单位都相等,为M,所以,
。则成数的群间方差为:

成数的抽样平均误差
为:

【例题7】某县统计局从全县1000个村中随机抽出100个村,调查各户的家禽饲养只数,得如下样本资料(见表),假设每村所包括的户数都相等,试以95.45%的概率估计全县平均每户饲养家禽的只数的区间范围。
整群抽样样本资料
表7-7


【分析与提示】

![]() |
|
| 高级统计师选课中心 | |