| 欢迎来到梦题库! 请登录 注册 今天是2026/4/21 |
![]() |
![]() |
12 | ||||
| 课程 | 题库 | 下载 | 答疑 |
第三节平均数指数
平均数指数是个体指数的平均数,它是从个体指数出发来编制总指数的,即先计算的数量指标或质量指标的个体指数,然后加以平均以测定经济现象的变动状况。平均数指数按是否加权分为简单平均数指数和加权平均数指数两种。
一、简单平均数指数
1.简单算术平均数指数。简单算术平均数指数是各个体指数的简单算术平均数,其一般公式为:
![]()
式中:I1,I2,……,In均为个体指数。
【例题3】某地区集贸市场资料如下:
表6-3
要求:计算三种商品的简单算术平均数价格指数。
【分析与提示】

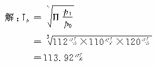
2.简单几何平均数指数。简单几何平均数指数是各个体指数的简单几何平均数,其一般公式为:
![]()
仍以表6-3的资料为例来计算三种商品的简单几何平均数价格指数。

除以上两种简单平均数指数以外,还可以用调和法、中位数法和众数法计算简单平均数指数。
由于简单平均数指数没有考虑到权数问题,事实上当某一种商品的价格指数过高(或过低)时,这样计算的总指数难于准确的反映实际情况,因此实际工作中较少采用。
二、加权平均数指数
加权平均数指数常用的基本形式有两种,一是加权算术平均数指数,二是加权调和平均数指数。以下按不同的权数分述如下:
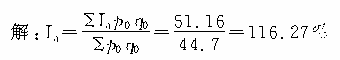
1.基期加权算术平均法。它是以基期的价值指标作为权数的加权算术平均数指数。其计算公式如下:

从公式中可以看出:对于个体质量指标指数或个体数量指标指数给以特定的基期权数
p0q0,则加权算术平均数指数可以变形为相应的拉氏综合指数。
以下举例说明其计算方法。
【例题4】某地区集贸市场资料如下:
表6-4
要求:计算三种商品的销售量总指数。
【分析与提示】

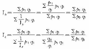
2.报告期加权调和平均法。它是以报告期的价值指标作为权数的加权调和平均数指数。其计算公式如下:

从公式中可以看出:对于个体质量指标指数或个体数量指标指数给以特定的报告期权数p1q1,则加权调和平均数指数可以变形为相应的派氏综合指数。
【例题5】某商店资料如下:
表6-5
要求:计算三种商品的物价总指数。
【分析与提示】

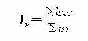
3.比重形式的固定权数平均法。它是以比重形式的固定权数来计算的平均数指数。我国现行的零售物价指数就是采用这种方法编制的。其计算公式如下:

式中:
,k是个体价格指数或是类价格指数。
第三节平均数指数
平均数指数是个体指数的平均数,它是从个体指数出发来编制总指数的,即先计算的数量指标或质量指标的个体指数,然后加以平均以测定经济现象的变动状况。平均数指数按是否加权分为简单平均数指数和加权平均数指数两种。
一、简单平均数指数
1.简单算术平均数指数。简单算术平均数指数是各个体指数的简单算术平均数,其一般公式为:
![]()
式中:I1,I2,……,In均为个体指数。
【例题3】某地区集贸市场资料如下:
表6-3
要求:计算三种商品的简单算术平均数价格指数。
【分析与提示】

2.简单几何平均数指数。简单几何平均数指数是各个体指数的简单几何平均数,其一般公式为:
![]()
仍以表6-3的资料为例来计算三种商品的简单几何平均数价格指数。

除以上两种简单平均数指数以外,还可以用调和法、中位数法和众数法计算简单平均数指数。
由于简单平均数指数没有考虑到权数问题,事实上当某一种商品的价格指数过高(或过低)时,这样计算的总指数难于准确的反映实际情况,因此实际工作中较少采用。
二、加权平均数指数
加权平均数指数常用的基本形式有两种,一是加权算术平均数指数,二是加权调和平均数指数。以下按不同的权数分述如下:
1.基期加权算术平均法。它是以基期的价值指标作为权数的加权算术平均数指数。其计算公式如下:

从公式中可以看出:对于个体质量指标指数或个体数量指标指数给以特定的基期权数
p0q0,则加权算术平均数指数可以变形为相应的拉氏综合指数。
以下举例说明其计算方法。
【例题4】某地区集贸市场资料如下:
表6-4
要求:计算三种商品的销售量总指数。
【分析与提示】

2.报告期加权调和平均法。它是以报告期的价值指标作为权数的加权调和平均数指数。其计算公式如下:

从公式中可以看出:对于个体质量指标指数或个体数量指标指数给以特定的报告期权数p1q1,则加权调和平均数指数可以变形为相应的派氏综合指数。
【例题5】某商店资料如下:
表6-5
要求:计算三种商品的物价总指数。
【分析与提示】

3.比重形式的固定权数平均法。它是以比重形式的固定权数来计算的平均数指数。我国现行的零售物价指数就是采用这种方法编制的。其计算公式如下:

式中:
,k是个体价格指数或是类价格指数。
![]() |
|
| 高级统计师选课中心 | |