| 欢迎来到梦题库! 请登录 注册 今天是2026/4/21 |
![]() |
![]() |
12 | ||||
| 课程 | 题库 | 下载 | 答疑 |
第二节抽样调查的几个基本概念
一、总体和样本
1.总体,也称为全及总体。是指所要认识的研究对象的全体,由具有某种共同性质的许多单位所组成。例如,研究全国居民家庭的生活水平,则“全国的居民户”构成总体。研究一批产品的质量情况时,则“全部产品”构成总体。此处总体的概念与第一章介绍的概念是一致的。
2.样本,也称为样本总体,简称样本。它是从总体中随机抽取出来,代表总体的那部分单位的集合体。如果说,总体是一个大总体,相对来说,样本是一个小总体。小总体是大总体的一部分,但小总体决不是总体单位。例如,全国的人口是总体,省人口、市人口、县人口均为小总体,不能把小总体认为是总体单位。
对于一个问题,总体是唯一确定的,而样本并不是唯一的。一个总体可能抽取许多个样本。如果说总体是由具有共同性质的许多单位所构成的集合,也可称为母集(或母体),则样本是来自该母集的一个子集,它代表总体,因此可以用样本的数量特征来推断总体的数量特征。2016年高级统计师考试教材19.9元 高级统计师考试保过班338元、考试评审指导微信346401794(QQ同号)、高级统计师历年真题、大纲、报名时间、培训、高级统计师实务教程、考试电子书、考试题库、高级统计师案例分析
二、总体指标和样本指标
1.总体指标,也称为母体参数,简称参数。总体指标是根据总体各个单位的标志值计算的,反映总体的数量特征。一个总体往往有许多个总体指标。例如,全国的人口的总体中有人口数、平均年龄、出生率等许多总体指标。这些总体指标,从不同的角度,反映了总体分布的基本状况和主要特征。比如说,总体的平均数和总体的标准差是表示总体分布的集中趋势和离中趋势的两个总体指标。例如,某地区甲县小麦的平均亩产量为500斤,标准差为30斤;乙县小麦的平均亩产量为450斤,标准差为32斤。上述指标反映了甲县的小麦平均亩产量的水平不仅高于乙县平均亩产量的水平,而且水平比较集中、均匀。
由于总体是唯一确定的,所以总体指标也具有唯一性。例如,全国第四次人口普查的总体是全国的人口。总体指标人口数是11.3亿人。这个指标是唯一的,不可能出现两个不同的人口数字。
2.样本指标,也称为统计量。是反映样本的数量特征的。它的数值随着样本的不同而变化。样本指标是一个随机变量。一方面,样本指标反映了样本的分布状况和数量特征;另一方面,样本指标是总体指标的估计量,换言之,可以用业估计总体分布的状况和数量特征。例如,上述甲县对小麦的产量进行抽样调查,设每次抽取50亩,第一次抽样调查小麦平均亩产量为490斤,第二次抽样调查小麦平均亩产量为505斤,第三次抽样调查小麦平均亩产量为495斤,……如此进行多次,每次的样本指标数值都略有不同,但彼此十分接近,并且一般都在平均亩产量500斤左右波动。
由于一个总体可以抽取许多个样本,样本不同,一般说,样本指标数值也不同,因此样本指标数值不是唯一确定的。
常用的总体指标和样本指标如下:
表7-1
最后需要说明的是样本单位与样本数目是两个不同的概念。样本单位数,也称样本数,也称样本容量。是一个样本中所包括的单位数。样本数目是指从总体中可能抽取的样本的个数。例如,我们从一个由8人组成的总体中每次抽出由2人构成的样本。则样本单位数n=2,样本数目按考虑顺序的重复抽样方法,可能产生的样本数目是64个。
三、重复抽样和不重复抽样
根据抽样方法的不同,有重复抽样和不重复抽样两种。
重复抽样是从总体N个单位中随机抽取一个容量为n的样本,每次抽出一个单位后,抽选下一个单位时,仍把前一个已抽中的单位放回总体中重新参加抽选,因此一个单位有重复抽中的可能,也称放回抽样。而不重复抽样则是将已抽中的单位不再放回总体,因而每个单位最多只能抽中一次,也叫不放回抽样。
根据对样本的要求不同,有考虑顺序抽样和不考虑顺序抽样两种。
考虑顺序是指若先抽中单位A,再抽中B,其样本为AB;若先抽中单位B,后抽中单位A,其样本为BA,则应该计算为两个不同的样本,但若不考虑顺序则可把AB和BA看作同一个样本。
把抽样本方法的不同和是否考虑顺序结合起来共有四种情况:
1.考虑顺序的重复抽样数目。即可重复排列数。组成样本的可能数目由下列公式计算:
![]()
2.考虑顺序的不重复抽样数目。即不重复排列数。组成样本的可能数目由下列公式计算:
![]()
3.不考虑顺序的重复抽样数目。即可重复组合数。组成样本的可能数目由下列公式计算:
![]()
4.不考虑顺序的不重复抽样数目。即不重复组合数。组成样本的可能数目由下列公式计算:

四、抽样平均误差和抽样极限误差
1.抽样误差。是指由于随机抽样而产生的一种代表性误差。即按随机原则抽样时,在不考虑登记误差和系统性误差的条件下,单纯由于不同的随机样本得出不同的估计量而产生的误差。
需要注意抽样误差和抽样调查中的误差两个概念的区别。抽样调查中可能产生登记误差,也可能产生系统性偏误。这些并不是抽样误差。登记误差和系统性偏误属于思想作用、技术问题,可以防止或避免。而抽样误差是无法避免的,是抽样调查所固有的。
2.抽样平均误差。抽样平均误差是样本平均数的标准差。它反映了样本平均数与总体平均数的平均误差程度。
假设以μx表示样本平均数的抽样平均误差,μp表示样本成数的抽样平均误差,M表示全部可能的样本数目。则

上述公式表明了抽样平均误差的关系。但是由于总体平均数和总体成数事先并不知道,而且也无法计算全部样本的现样指标值,所以按上述公式来计算抽样平均误差实际上是非常困难的。下面介绍的公式,是采取数学的方法推导出来的,有兴趣的同志可以参阅有关的数理统计著作中的抽样理论部分。
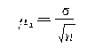
(一)样本平均数的抽样平均误差
在重复抽样的条件下:

在不重复抽样的条件下:

在不重复抽样平均误差公式还可以表示为如下近似公式:

(二)样本成数的抽样平均误差
在重复抽样的条件下:

在不重复抽样的条件下:

不重复抽样平均误差公式还可以表示为如下近似公式:

从上述不难看出,重复抽样与不重复抽样的抽样平均误差公式,在二次根式内相差一个修正因子
。由于这个因子总是小于1,因此不重复抽样平均误差总是小于重复抽样平均误差。
影响抽样平均误差的主要因素有以下四个。
(1)标准差σ,与抽样平均误差的大小成正比;即总总体被研究的标志值之间的差异程度越大时,抽样平均误差就越大,反之亦然。
(2)样本容量n,与抽样平均误差的大小成反比,即当抽取的样本单位数越多时,抽样平均误差就越小,当抽取的样本单位数较少时,抽样平均误差相应会大些。
(3)抽样方法的不同,对抽样平均误差的影响是采用不重复抽样的抽样平均误差要小于采用重复抽样的抽样平均误差。
(4)抽样的组织形式不同对抽样平均误差也有较显著的影响,这个问题留待第四节介绍。
上述公式的计算过程中用到总体标准差σ,但在一般情况下,事先并不掌握这方面的资料,这时也可以用样本标准差S来替代。
样本标准差的计算公式如下:
(一)简单式

(二)加权式

这样一来,抽样平均误差的计算公式可如下式:
样本平均数的抽样平均误差:
重复抽样

不重复抽样

3.抽样极限误差。抽样极限误差是指样本指标和总体指标之间抽样误差的可能范围。由于总体指标是唯一确定的,而样本指标则在总体指标附近上下波动,它们之间可能产生正离差,也可能发生负离差。这种以绝对值形式表示的样本指标和总体指标之间所允许的误差的上下界限,用以下的绝对值不等式表示:

由于总体平均数和总体成数一般是未知的,需要用样本平均数和样本成数进行估计。所以抽样极限误差的实际意义是希望总体平均数X[TX-]落在样本平均数x[TX-*3]±Δx的范围内,总体成数P落在样本成数p±ΔP的范围内,因此上述绝对值不等式可以表示为:

基于理论上的要求,抽样极限误差通常的表达式如下:
抽样极限误差=概率度×抽样平均误差
![]()
【例题1】某城市采用不重复方法随机抽选了100户居民,经调查其中有60户拥有彩电,又知道抽样数是全市居民户的千分之一,当概率度为2时,试计算抽样平均误差和抽样极限误差。
【分析与提示】

与概率t相对应的可靠程度为F(t)。它们的关系如下:(常用值)
表7-2
关于一般数值可查阅书后的附录“正态分布概率表”。
第二节抽样调查的几个基本概念
一、总体和样本
1.总体,也称为全及总体。是指所要认识的研究对象的全体,由具有某种共同性质的许多单位所组成。例如,研究全国居民家庭的生活水平,则“全国的居民户”构成总体。研究一批产品的质量情况时,则“全部产品”构成总体。此处总体的概念与第一章介绍的概念是一致的。
2.样本,也称为样本总体,简称样本。它是从总体中随机抽取出来,代表总体的那部分单位的集合体。如果说,总体是一个大总体,相对来说,样本是一个小总体。小总体是大总体的一部分,但小总体决不是总体单位。例如,全国的人口是总体,省人口、市人口、县人口均为小总体,不能把小总体认为是总体单位。
对于一个问题,总体是唯一确定的,而样本并不是唯一的。一个总体可能抽取许多个样本。如果说总体是由具有共同性质的许多单位所构成的集合,也可称为母集(或母体),则样本是来自该母集的一个子集,它代表总体,因此可以用样本的数量特征来推断总体的数量特征。2016年高级统计师考试教材19.9元 高级统计师考试保过班338元、考试评审指导微信346401794(QQ同号)、高级统计师历年真题、大纲、报名时间、培训、高级统计师实务教程、考试电子书、考试题库、高级统计师案例分析
二、总体指标和样本指标
1.总体指标,也称为母体参数,简称参数。总体指标是根据总体各个单位的标志值计算的,反映总体的数量特征。一个总体往往有许多个总体指标。例如,全国的人口的总体中有人口数、平均年龄、出生率等许多总体指标。这些总体指标,从不同的角度,反映了总体分布的基本状况和主要特征。比如说,总体的平均数和总体的标准差是表示总体分布的集中趋势和离中趋势的两个总体指标。例如,某地区甲县小麦的平均亩产量为500斤,标准差为30斤;乙县小麦的平均亩产量为450斤,标准差为32斤。上述指标反映了甲县的小麦平均亩产量的水平不仅高于乙县平均亩产量的水平,而且水平比较集中、均匀。
由于总体是唯一确定的,所以总体指标也具有唯一性。例如,全国第四次人口普查的总体是全国的人口。总体指标人口数是11.3亿人。这个指标是唯一的,不可能出现两个不同的人口数字。
2.样本指标,也称为统计量。是反映样本的数量特征的。它的数值随着样本的不同而变化。样本指标是一个随机变量。一方面,样本指标反映了样本的分布状况和数量特征;另一方面,样本指标是总体指标的估计量,换言之,可以用业估计总体分布的状况和数量特征。例如,上述甲县对小麦的产量进行抽样调查,设每次抽取50亩,第一次抽样调查小麦平均亩产量为490斤,第二次抽样调查小麦平均亩产量为505斤,第三次抽样调查小麦平均亩产量为495斤,……如此进行多次,每次的样本指标数值都略有不同,但彼此十分接近,并且一般都在平均亩产量500斤左右波动。
由于一个总体可以抽取许多个样本,样本不同,一般说,样本指标数值也不同,因此样本指标数值不是唯一确定的。
常用的总体指标和样本指标如下:
表7-1
最后需要说明的是样本单位与样本数目是两个不同的概念。样本单位数,也称样本数,也称样本容量。是一个样本中所包括的单位数。样本数目是指从总体中可能抽取的样本的个数。例如,我们从一个由8人组成的总体中每次抽出由2人构成的样本。则样本单位数n=2,样本数目按考虑顺序的重复抽样方法,可能产生的样本数目是64个。
三、重复抽样和不重复抽样
根据抽样方法的不同,有重复抽样和不重复抽样两种。
重复抽样是从总体N个单位中随机抽取一个容量为n的样本,每次抽出一个单位后,抽选下一个单位时,仍把前一个已抽中的单位放回总体中重新参加抽选,因此一个单位有重复抽中的可能,也称放回抽样。而不重复抽样则是将已抽中的单位不再放回总体,因而每个单位最多只能抽中一次,也叫不放回抽样。
根据对样本的要求不同,有考虑顺序抽样和不考虑顺序抽样两种。
考虑顺序是指若先抽中单位A,再抽中B,其样本为AB;若先抽中单位B,后抽中单位A,其样本为BA,则应该计算为两个不同的样本,但若不考虑顺序则可把AB和BA看作同一个样本。
把抽样本方法的不同和是否考虑顺序结合起来共有四种情况:
1.考虑顺序的重复抽样数目。即可重复排列数。组成样本的可能数目由下列公式计算:
![]()
2.考虑顺序的不重复抽样数目。即不重复排列数。组成样本的可能数目由下列公式计算:
![]()
3.不考虑顺序的重复抽样数目。即可重复组合数。组成样本的可能数目由下列公式计算:
![]()
4.不考虑顺序的不重复抽样数目。即不重复组合数。组成样本的可能数目由下列公式计算:

四、抽样平均误差和抽样极限误差
1.抽样误差。是指由于随机抽样而产生的一种代表性误差。即按随机原则抽样时,在不考虑登记误差和系统性误差的条件下,单纯由于不同的随机样本得出不同的估计量而产生的误差。
需要注意抽样误差和抽样调查中的误差两个概念的区别。抽样调查中可能产生登记误差,也可能产生系统性偏误。这些并不是抽样误差。登记误差和系统性偏误属于思想作用、技术问题,可以防止或避免。而抽样误差是无法避免的,是抽样调查所固有的。
2.抽样平均误差。抽样平均误差是样本平均数的标准差。它反映了样本平均数与总体平均数的平均误差程度。
假设以μx表示样本平均数的抽样平均误差,μp表示样本成数的抽样平均误差,M表示全部可能的样本数目。则

上述公式表明了抽样平均误差的关系。但是由于总体平均数和总体成数事先并不知道,而且也无法计算全部样本的现样指标值,所以按上述公式来计算抽样平均误差实际上是非常困难的。下面介绍的公式,是采取数学的方法推导出来的,有兴趣的同志可以参阅有关的数理统计著作中的抽样理论部分。
(一)样本平均数的抽样平均误差
在重复抽样的条件下:

在不重复抽样的条件下:

在不重复抽样平均误差公式还可以表示为如下近似公式:

(二)样本成数的抽样平均误差
在重复抽样的条件下:

在不重复抽样的条件下:

不重复抽样平均误差公式还可以表示为如下近似公式:

从上述不难看出,重复抽样与不重复抽样的抽样平均误差公式,在二次根式内相差一个修正因子
。由于这个因子总是小于1,因此不重复抽样平均误差总是小于重复抽样平均误差。
影响抽样平均误差的主要因素有以下四个。
(1)标准差σ,与抽样平均误差的大小成正比;即总总体被研究的标志值之间的差异程度越大时,抽样平均误差就越大,反之亦然。
(2)样本容量n,与抽样平均误差的大小成反比,即当抽取的样本单位数越多时,抽样平均误差就越小,当抽取的样本单位数较少时,抽样平均误差相应会大些。
(3)抽样方法的不同,对抽样平均误差的影响是采用不重复抽样的抽样平均误差要小于采用重复抽样的抽样平均误差。
(4)抽样的组织形式不同对抽样平均误差也有较显著的影响,这个问题留待第四节介绍。
上述公式的计算过程中用到总体标准差σ,但在一般情况下,事先并不掌握这方面的资料,这时也可以用样本标准差S来替代。
样本标准差的计算公式如下:
(一)简单式

(二)加权式

这样一来,抽样平均误差的计算公式可如下式:
样本平均数的抽样平均误差:
重复抽样

不重复抽样

3.抽样极限误差。抽样极限误差是指样本指标和总体指标之间抽样误差的可能范围。由于总体指标是唯一确定的,而样本指标则在总体指标附近上下波动,它们之间可能产生正离差,也可能发生负离差。这种以绝对值形式表示的样本指标和总体指标之间所允许的误差的上下界限,用以下的绝对值不等式表示:

由于总体平均数和总体成数一般是未知的,需要用样本平均数和样本成数进行估计。所以抽样极限误差的实际意义是希望总体平均数X[TX-]落在样本平均数x[TX-*3]±Δx的范围内,总体成数P落在样本成数p±ΔP的范围内,因此上述绝对值不等式可以表示为:

基于理论上的要求,抽样极限误差通常的表达式如下:
抽样极限误差=概率度×抽样平均误差
![]()
【例题1】某城市采用不重复方法随机抽选了100户居民,经调查其中有60户拥有彩电,又知道抽样数是全市居民户的千分之一,当概率度为2时,试计算抽样平均误差和抽样极限误差。
【分析与提示】

与概率t相对应的可靠程度为F(t)。它们的关系如下:(常用值)
表7-2
关于一般数值可查阅书后的附录“正态分布概率表”。
![]() |
|
| 高级统计师选课中心 | |