| 欢迎来到梦题库! 请登录 注册 今天是2026/4/21 |
![]() |
![]() |
12 | ||||
| 课程 | 题库 | 下载 | 答疑 |
第四节 时间数列的趋势分析
一、长期趋势及其测定
时间数列可以反映社会经济现象的发展变化。所谓长期趋势,是时间数列变动的基本形式。它是指由各个时期普遍的、持续的、决定性的基本因素的作用,使发展水平在一个长时期内沿着一个方向,逐渐向上或向下变动的趋势。
长期趋势的变化,有的相当复杂,可能有的等差上升,有的等比上升,或者波浪式的上升,时间快慢等等。要掌握其规律性,就要对时间数列进行统计处理,也就是对时间数列长期趋势的测定,一般也称为时间数列的修匀。2016年高级统计师考试教材19.9元 高级统计师考试保过班338元、考试评审指导微信346401794(QQ同号)、高级统计师历年真题、大纲、报名时间、培训、高级统计师实务教程、考试电子书、考试题库、高级统计师案例分析
二、时间数列的修匀
修匀时间数列有许多统计方法,这里主要介绍时距扩大法、移动平均法、最小平方法。现分述如下:
(一)时距扩大法。是将原来间隔较小的时间数列,加工整理为间隔较大的时间数列,以消除因间隔较小,受偶然因素影响所引起的波动。从而使现象发展变化的趋势能够明显地表露出来。以下举例说明:
【例题12】某工业企业资料如下:
表4-7 单位:万元
从表中看出,各月的产值由于受许多因素的影响,发展并不均匀,其增长趋势不太明显。以下将间隔扩大为季度,就较为明显地反映全年其生产增长的趋势。
【分析与提示】
表4-8 单位:万元
应用时距扩大法,其时间间隔的扩大程度要适当。间隔扩大到什么范围,要根据客观现象能显示出发展趋势为准。
(二)移动平均法。它是采用逐期推移方法,扩大时距分别计算一系列移动的序时平均数,形成一个新的派生序时平均数时间数列。因此,短期的偶然因素引起的变动被削弱,从而呈现出现象的发展变化趋势。
【例题13】我国历年某产品产量资料如下:
移动平均计算表
表4-9 单位:万吨
|
年份 |
产品产量 |
三年移动平均 |
五年移动平均 |
七年移动平均 |
|
1981 |
8.9 |
— |
— |
— |
|
1982 |
4.2 |
5.87 |
— |
— |
|
1983 |
4.5 |
6.97 |
6.8 |
— |
|
1984 |
6.9 |
8.79 |
7.12 |
8.34 |
|
1985 |
9.5 |
11.30 |
9.06 |
8.83 |
|
1986 |
10.5 |
12.23 |
10.62 |
10.29 |
|
1987 |
13.9 |
13.53 |
12.12 |
11.74 |
|
1988 |
12.3 |
13.80 |
13.16 |
13.11 |
|
1989 |
14.4 |
15.20 |
14.36 |
13.89 |
|
1990 |
14.7 |
15.37 |
14.56 |
14.70 |
|
1991 |
16.5 |
15.87 |
15.34 |
15.64 |
|
1992 |
14.9 |
17.20 |
16.56 |
16.73 |
|
1993 |
16.2 |
18.87 |
17.60 |
17.44 |
|
1994 |
20.5 |
19.93 |
18.18 |
18.10 |
|
1995 |
19.9 |
19.53 |
19.06 |
18.83 |
|
1996 |
19.4 |
20.10 |
20.14 |
19.94 |
|
1997 |
19.3 |
21.20 |
20.58 |
21.49 |
|
1998 |
21.6 |
23.77 |
22.00 |
23.21 |
|
1999 |
22.7 |
27.43 |
24.64 |
24.81 |
|
2000 |
27.0 |
30.23 |
27.00 |
26.53 |
|
2001 |
32.6 |
31.70 |
28.96 |
28.63 |
|
2002 |
31.1 |
32.12 |
31.22 |
30.63 |
|
2003 |
31.4 |
33.67 |
32.94 |
32.70 |
|
2004 |
34.0 |
35.60 |
33.86 |
34.11 |
|
2005 |
35.6 |
36.57 |
35.02 |
37.06 |
|
2006 |
37.2 |
38.13 |
36.80 |
39.54 |
|
2007 |
36.9 |
40.40 |
41.44 |
42.26 |
|
2008 |
40.3 |
44.37 |
44.60 |
— |
|
2009 |
48.8 |
48.33 |
— |
— |
|
2010 |
33.0 |
— |
— |
— |
应用移动平均法分析长期趋势时,须注意以下几点:
1.凡采用奇数项求得的平均数均对正各时期的位置,一次可得趋势值。如表中的三年移动平均,其第一个移动平均数为(8.9+4.2+4.5)÷3=5.87,正好对正第二年的位置,五年移动平均,其第一个移动平均数为(8.9+4.2+4.5+6.9+9.5)÷5=6.80,正好对正第三年的位置。若采用偶数项移动平均,须经过两次移动平均,如四项移动平均,则所得第一个移动平均数应置于原数列第二项与第三项之间,因而需要进行一次两项移动平均(或称为移正平均)。
2.移动平均法取时间的长度(三项或五项)要根据客观实际来选择。假如现象变化有周期性,最好以周期为长度。如我国的国民经济计划是以五年为一个周期,则可五项移动平均。如根据各年的季度资料,可进行四项平均等等。
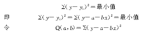
(三)最小平方法,又称最小二乘法。它是运用高等数学的方法,对原数列配合一条最佳的趋势线。其基本原理是求出的长期趋势值与时间数列的实际值的离差平方和为最小,即:

其中,y代表原数列,yc代表趋势值。
最小平方法不仅可配合直线,也可用于配合曲线。一般是根据原时间数列变动的特征,来确定配合直线或者曲线。具体作法是:根据时间数列绘制出散点图,从图形上看,大致呈何种分布就配合相应的数学方程。除用散点图以确定拟合外,还可大致按如下原则配合:如果时间数列逐期增长量大体相同,可拟合直线;如果时间数列二级增长量大体相同,可拟合抛物线;如果时间数列环比发展速度大体相同,可拟合指数曲线。以下分述拟合直线与曲线的方法:
(一)直线趋势
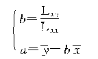
设直线趋势方程:yc=a+bx
式中:yc代表时间数列y的长期趋势值x代表时间a代表初始值
b代表直线方程的斜率,表示当x每增加一个单位时,yc的平均增加量。
根据最小平方法的基本要求:

则上述问题化为二元函数的极值问题。即确定适当的a、b使二元函数Q达到极小值。根据多元函数微分学原理,则有以下推导:

令

则得到标准方程组:

引进符号:


则直线方程的两个参数的求解公式如下:

以上确定参数a、b的方法为最小平方法。
下面举例说明:
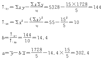
【例题14】某地区粮食产量资料如下:
表4-10
|
年份 |
时间变量x |
粮食产量 (万吨)y |
xy |
x² |
Yc |
|
2008 |
1 |
320 |
320 |
1 |
316.8 |
|
2009 |
2 |
332 |
664 |
4 |
331.2 |
|
2010 |
3 |
340 |
1020 |
9 |
345.6 |
|
2011 |
4 |
356 |
1424 |
16 |
360.0 |
|
2012 |
5 |
380 |
1900 |
25 |
374.4 |
|
合计 |
15 |
1728 |
5328 |
55 |
1728 |
要求:运用最小平方法进行趋势分析。(直线型)
【分析与提示】
设直线趋势方程为yc=a+bx

所以yc=302.4+14.4x为所求
可以看出,各年的实际值和趋势值的离差和为零,即:
![]()
为了计算简便,可令Σx=0,则求参数的a,b公式化简如下:

仍以表4-10为例来说明。
表4-11
|
年份 |
时间变量X |
粮食产量 (万吨)Y |
XY |
X2 |
Yc |
|
2008 |
—2 |
320 |
—640 |
4 |
316.8 |
|
2009 |
—1 |
332 |
—332 |
1 |
331.2 |
|
2010 |
0 |
340 |
0 |
0 |
345.6 |
|
2011 |
1 |
356 |
356 |
1 |
360.0 |
|
2012 |
2 |
380 |
760 |
4 |
374.4 |
|
合计 |
0 |
1728 |
144 |
10 |
1728 |
解:设直线趋势方程为yc=a+bx

所以yc=345.6+14.4x
可以看出,简捷法与前面的计算的yc的结果相同。
第四节 时间数列的趋势分析
一、长期趋势及其测定
时间数列可以反映社会经济现象的发展变化。所谓长期趋势,是时间数列变动的基本形式。它是指由各个时期普遍的、持续的、决定性的基本因素的作用,使发展水平在一个长时期内沿着一个方向,逐渐向上或向下变动的趋势。
长期趋势的变化,有的相当复杂,可能有的等差上升,有的等比上升,或者波浪式的上升,时间快慢等等。要掌握其规律性,就要对时间数列进行统计处理,也就是对时间数列长期趋势的测定,一般也称为时间数列的修匀。2016年高级统计师考试教材19.9元 高级统计师考试保过班338元、考试评审指导微信346401794(QQ同号)、高级统计师历年真题、大纲、报名时间、培训、高级统计师实务教程、考试电子书、考试题库、高级统计师案例分析
二、时间数列的修匀
修匀时间数列有许多统计方法,这里主要介绍时距扩大法、移动平均法、最小平方法。现分述如下:
(一)时距扩大法。是将原来间隔较小的时间数列,加工整理为间隔较大的时间数列,以消除因间隔较小,受偶然因素影响所引起的波动。从而使现象发展变化的趋势能够明显地表露出来。以下举例说明:
【例题12】某工业企业资料如下:
表4-7 单位:万元
从表中看出,各月的产值由于受许多因素的影响,发展并不均匀,其增长趋势不太明显。以下将间隔扩大为季度,就较为明显地反映全年其生产增长的趋势。
【分析与提示】
表4-8 单位:万元
应用时距扩大法,其时间间隔的扩大程度要适当。间隔扩大到什么范围,要根据客观现象能显示出发展趋势为准。
(二)移动平均法。它是采用逐期推移方法,扩大时距分别计算一系列移动的序时平均数,形成一个新的派生序时平均数时间数列。因此,短期的偶然因素引起的变动被削弱,从而呈现出现象的发展变化趋势。
【例题13】我国历年某产品产量资料如下:
移动平均计算表
表4-9 单位:万吨
|
年份 |
产品产量 |
三年移动平均 |
五年移动平均 |
七年移动平均 |
|
1981 |
8.9 |
— |
— |
— |
|
1982 |
4.2 |
5.87 |
— |
— |
|
1983 |
4.5 |
6.97 |
6.8 |
— |
|
1984 |
6.9 |
8.79 |
7.12 |
8.34 |
|
1985 |
9.5 |
11.30 |
9.06 |
8.83 |
|
1986 |
10.5 |
12.23 |
10.62 |
10.29 |
|
1987 |
13.9 |
13.53 |
12.12 |
11.74 |
|
1988 |
12.3 |
13.80 |
13.16 |
13.11 |
|
1989 |
14.4 |
15.20 |
14.36 |
13.89 |
|
1990 |
14.7 |
15.37 |
14.56 |
14.70 |
|
1991 |
16.5 |
15.87 |
15.34 |
15.64 |
|
1992 |
14.9 |
17.20 |
16.56 |
16.73 |
|
1993 |
16.2 |
18.87 |
17.60 |
17.44 |
|
1994 |
20.5 |
19.93 |
18.18 |
18.10 |
|
1995 |
19.9 |
19.53 |
19.06 |
18.83 |
|
1996 |
19.4 |
20.10 |
20.14 |
19.94 |
|
1997 |
19.3 |
21.20 |
20.58 |
21.49 |
|
1998 |
21.6 |
23.77 |
22.00 |
23.21 |
|
1999 |
22.7 |
27.43 |
24.64 |
24.81 |
|
2000 |
27.0 |
30.23 |
27.00 |
26.53 |
|
2001 |
32.6 |
31.70 |
28.96 |
28.63 |
|
2002 |
31.1 |
32.12 |
31.22 |
30.63 |
|
2003 |
31.4 |
33.67 |
32.94 |
32.70 |
|
2004 |
34.0 |
35.60 |
33.86 |
34.11 |
|
2005 |
35.6 |
36.57 |
35.02 |
37.06 |
|
2006 |
37.2 |
38.13 |
36.80 |
39.54 |
|
2007 |
36.9 |
40.40 |
41.44 |
42.26 |
|
2008 |
40.3 |
44.37 |
44.60 |
— |
|
2009 |
48.8 |
48.33 |
— |
— |
|
2010 |
33.0 |
— |
— |
— |
应用移动平均法分析长期趋势时,须注意以下几点:
1.凡采用奇数项求得的平均数均对正各时期的位置,一次可得趋势值。如表中的三年移动平均,其第一个移动平均数为(8.9+4.2+4.5)÷3=5.87,正好对正第二年的位置,五年移动平均,其第一个移动平均数为(8.9+4.2+4.5+6.9+9.5)÷5=6.80,正好对正第三年的位置。若采用偶数项移动平均,须经过两次移动平均,如四项移动平均,则所得第一个移动平均数应置于原数列第二项与第三项之间,因而需要进行一次两项移动平均(或称为移正平均)。
2.移动平均法取时间的长度(三项或五项)要根据客观实际来选择。假如现象变化有周期性,最好以周期为长度。如我国的国民经济计划是以五年为一个周期,则可五项移动平均。如根据各年的季度资料,可进行四项平均等等。
(三)最小平方法,又称最小二乘法。它是运用高等数学的方法,对原数列配合一条最佳的趋势线。其基本原理是求出的长期趋势值与时间数列的实际值的离差平方和为最小,即:

其中,y代表原数列,yc代表趋势值。
最小平方法不仅可配合直线,也可用于配合曲线。一般是根据原时间数列变动的特征,来确定配合直线或者曲线。具体作法是:根据时间数列绘制出散点图,从图形上看,大致呈何种分布就配合相应的数学方程。除用散点图以确定拟合外,还可大致按如下原则配合:如果时间数列逐期增长量大体相同,可拟合直线;如果时间数列二级增长量大体相同,可拟合抛物线;如果时间数列环比发展速度大体相同,可拟合指数曲线。以下分述拟合直线与曲线的方法:
(一)直线趋势
设直线趋势方程:yc=a+bx
式中:yc代表时间数列y的长期趋势值x代表时间a代表初始值
b代表直线方程的斜率,表示当x每增加一个单位时,yc的平均增加量。
根据最小平方法的基本要求:

则上述问题化为二元函数的极值问题。即确定适当的a、b使二元函数Q达到极小值。根据多元函数微分学原理,则有以下推导:

令

则得到标准方程组:

引进符号:


则直线方程的两个参数的求解公式如下:

以上确定参数a、b的方法为最小平方法。
下面举例说明:
【例题14】某地区粮食产量资料如下:
表4-10
|
年份 |
时间变量x |
粮食产量 (万吨)y |
xy |
x² |
Yc |
|
2008 |
1 |
320 |
320 |
1 |
316.8 |
|
2009 |
2 |
332 |
664 |
4 |
331.2 |
|
2010 |
3 |
340 |
1020 |
9 |
345.6 |
|
2011 |
4 |
356 |
1424 |
16 |
360.0 |
|
2012 |
5 |
380 |
1900 |
25 |
374.4 |
|
合计 |
15 |
1728 |
5328 |
55 |
1728 |
要求:运用最小平方法进行趋势分析。(直线型)
【分析与提示】
设直线趋势方程为yc=a+bx

所以yc=302.4+14.4x为所求
可以看出,各年的实际值和趋势值的离差和为零,即:
![]()
为了计算简便,可令Σx=0,则求参数的a,b公式化简如下:

仍以表4-10为例来说明。
表4-11
|
年份 |
时间变量X |
粮食产量 (万吨)Y |
XY |
X2 |
Yc |
|
2008 |
—2 |
320 |
—640 |
4 |
316.8 |
|
2009 |
—1 |
332 |
—332 |
1 |
331.2 |
|
2010 |
0 |
340 |
0 |
0 |
345.6 |
|
2011 |
1 |
356 |
356 |
1 |
360.0 |
|
2012 |
2 |
380 |
760 |
4 |
374.4 |
|
合计 |
0 |
1728 |
144 |
10 |
1728 |
解:设直线趋势方程为yc=a+bx

所以yc=345.6+14.4x
可以看出,简捷法与前面的计算的yc的结果相同。
![]() |
|
| 高级统计师选课中心 | |