| 欢迎来到梦题库! 请登录 注册 今天是2026/4/21 |
![]() |
![]() |
12 | ||||
| 课程 | 题库 | 下载 | 答疑 |
第三节 时间数列的速度分析
时间数列的速度分析指标,主要有发展速度、增长速度、平均发展速度、平均增长速度四种。它们之间有密切的联系,其中发展速度是最基本的指标。
一、发展速度和增长速度
(一)发展速度。发展速度是以相对数形式表示的动态指标,是报告期水平与基期水平的比率。即:

由于采用基期的不同,发展速度可分为环比发展速度和定期发展速度。2016年高级统计师考试教材19.9元 高级统计师考试保过班338元、考试评审指导微信346401794(QQ同号)、高级统计师历年真题、大纲、报名时间、培训、高级统计师实务教程、考试电子书、考试题库、高级统计师案例分析
环比发展速度是报告期水平与前一期水平的比率,说明报告期水平,比前一期水平的变动程度;定基发展速度是报告期水平与某一固定期水平的比率,说明现象在某一时期内总的发展速度。其计算公式如下:

环比发展速度与定基发展速度虽然有区别,但它们之间也存在着一定的换算关系:
(1)环比发展速度的连乘积等于定基发展速度,即:

(2)相邻两期的定基发展速度之商等于相应的环比发展速度,即:

(二)增长速度。增长速度与发展速度具有密切的联系,两者相差一个基数,即:

以上两种计算公式,可根据掌握统计资料的情况选择运用。
若发展速度大于100%,则增长速度大于零,表明现象的增长程度;若发展速度小于100%,则增长速度小于零,表明现象的降低程度。
相应的环比增长速度与定基增长速度的计算公式如下:

二、平均发展速度和平均增长速度
(一)平均发展速度。平均发展速度是各时期环比发展速度的序时平均数。计算平均发展速度常用的方法有两种:几何平均法和方程式法。
1.几何平均法,又称水平法。由于总速度不等于各年环比发展速度之和,而是等于各年环比发展速度的连乘积,所以平均发展速度不能用自述平均法,而要用几何平均法。其计算方式如下:

其中:x代表平均发展速度,Π代表连乘号,xi代表各期的环比发展速度,即:
由于环比发展速度的连乘积等于相应的定基发展速度,上式又可转化为:

几何平均法计算的平均发展速度,在国民经济的统计分析中的应用较为广泛。
【例题6】中新网×月×日电:国家统计局今日发布数据,前三季度国内生产总值217 817亿元,比去年同期增长7.7%。请问上述文字中“7.7%”是发展速度还是增长速度?是同比还是环比?说说你对发展速度、增长速度、同比和环比概念的理解。(2010年)
【分析与提示】
是增长速度,是同比,统计指标按其具体内容、实际作用和表现形式可以分为总量指标、相对指标和平均指标。同比实际上就是指定年度间具体时期的指标数据比例,比如今年3月份某统计指标的值是110亿元,而去年3月份该指标的值是100亿元,那么该指标今年同比去年增长了(110-100)/100 x100% = 10%,这是同比增长速度。也有 110/100 x 100% = 110%,这是同比发展速度。
同比发展速度主要是为了消除季节变动的影响,用以说明本期发展水平与去年同期发展水平对比而达到的相对发展速度。
就年报而言,就是将下半年业绩数据与上半年业绩数据作比较。当然,多个连续时期间的统计数据的比例也是环比,比如对于2005年的工业生产销售收入可以得到12月份对11月份的环比,11月份对10月份的环比..1月份对2004年12月份的环比。这也就引出了环比增长速度与环比发展速度的概念。
环比增长速度 = (本期数-上期数)/上期数 x 100%,它反映了本期相对上期增长了多少。
环比发展速度 = 本期数/上期数 x 100%,它反映的是报告期水平与前一期水平之比,表明现象逐期的发展速度。
【例题7】我国1980年国民生产总值为4470亿元,按中央提出的到世纪末翻两番的宏伟目标,在此期间的平均发展速度应为多少?
【分析与提示】
已知a0=4470亿元an=17880亿元n=20

以上的公式,还可以变形为复利公式:
![]()
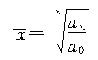
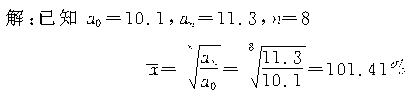
【例题8】1982年我国第三次人口普查的人口数为10.1亿人,1990年我国第四次人口普查的人口数为11.3亿人,试问在此期间我国人口的平均发展速度是多少?如果按此速度发展,则世纪末我国人口数将达到多少亿?
【分析与提示】
已知a0=10.1,an=11.3,n=8

到世纪末我国的人口数为:
![]()
【例题9】某地区2000~2005年期间工业增加值和工业生产者价格指数(PPI)资料如下表:
|
年份 |
2000年 |
2001年 |
2002年 |
2003年 |
2004年 |
2005年 |
|
工业增加值 (现价,亿元) |
2 000 |
2 200 |
2 310 |
2 400 |
2 520 |
2 620 |
|
工业生产者价格指数 (上年价格=100) |
98.7 |
97.8 |
102.3 |
106.1 |
104.9 |
103.0 |
请根据上述数据计算:
1.按现价计算该地区2001-2005年期间工业增加值的年平均增长量和增长速度;
2.按可比价计算该地区2001-2005年期间工业增加值的年平均增长速度;
3.该地区2000-2005年期间工业生产者价格年平均涨幅。
(列出计算公式即可)(2010年)
【分析与提示】
平均增长量=累计增长量/增长基期数
=(2620-2000)/5=124(亿元)
增长速度=2620/2200-1=19.09%
2、年平均增长速度=平均发展速度-1=
\* MERGEFORMAT
(可比价环比增长速度)
=
\* MERGEFORMAT -1
工业生产者价格年平均涨幅
=![]()
【例题10】甲企业近4年产品销售量分别增长9%,7%,8%,6%,乙企业这4年产品的次品率同样也分别是9%,7%,8%,6%。
问题:根据统计学原理,甲企业4年平均销售增长率和乙企业4年平均次品率是否也是同一个数值?为什么?(2006年)
【分析与提示】
甲企业4年平均销售增长率和乙企业4年平均次品率不是同一个数值?
【分析与提示】甲企业4年平均销售增长率和乙企业4年平均次品率不是同一个数值。因为甲企业4年平均销售增长率是按几何平均数的方法来计算的:
![]()
乙企业4年平均次品率是按算术平均法来计算的。
第三节 时间数列的速度分析
时间数列的速度分析指标,主要有发展速度、增长速度、平均发展速度、平均增长速度四种。它们之间有密切的联系,其中发展速度是最基本的指标。
一、发展速度和增长速度
(一)发展速度。发展速度是以相对数形式表示的动态指标,是报告期水平与基期水平的比率。即:

由于采用基期的不同,发展速度可分为环比发展速度和定期发展速度。2016年高级统计师考试教材19.9元 高级统计师考试保过班338元、考试评审指导微信346401794(QQ同号)、高级统计师历年真题、大纲、报名时间、培训、高级统计师实务教程、考试电子书、考试题库、高级统计师案例分析
环比发展速度是报告期水平与前一期水平的比率,说明报告期水平,比前一期水平的变动程度;定基发展速度是报告期水平与某一固定期水平的比率,说明现象在某一时期内总的发展速度。其计算公式如下:

环比发展速度与定基发展速度虽然有区别,但它们之间也存在着一定的换算关系:
(1)环比发展速度的连乘积等于定基发展速度,即:

(2)相邻两期的定基发展速度之商等于相应的环比发展速度,即:

(二)增长速度。增长速度与发展速度具有密切的联系,两者相差一个基数,即:

以上两种计算公式,可根据掌握统计资料的情况选择运用。
若发展速度大于100%,则增长速度大于零,表明现象的增长程度;若发展速度小于100%,则增长速度小于零,表明现象的降低程度。
相应的环比增长速度与定基增长速度的计算公式如下:

二、平均发展速度和平均增长速度
(一)平均发展速度。平均发展速度是各时期环比发展速度的序时平均数。计算平均发展速度常用的方法有两种:几何平均法和方程式法。
1.几何平均法,又称水平法。由于总速度不等于各年环比发展速度之和,而是等于各年环比发展速度的连乘积,所以平均发展速度不能用自述平均法,而要用几何平均法。其计算方式如下:

其中:x代表平均发展速度,Π代表连乘号,xi代表各期的环比发展速度,即:
由于环比发展速度的连乘积等于相应的定基发展速度,上式又可转化为:

几何平均法计算的平均发展速度,在国民经济的统计分析中的应用较为广泛。
【例题6】中新网×月×日电:国家统计局今日发布数据,前三季度国内生产总值217 817亿元,比去年同期增长7.7%。请问上述文字中“7.7%”是发展速度还是增长速度?是同比还是环比?说说你对发展速度、增长速度、同比和环比概念的理解。(2010年)
【分析与提示】
是增长速度,是同比,统计指标按其具体内容、实际作用和表现形式可以分为总量指标、相对指标和平均指标。同比实际上就是指定年度间具体时期的指标数据比例,比如今年3月份某统计指标的值是110亿元,而去年3月份该指标的值是100亿元,那么该指标今年同比去年增长了(110-100)/100 x100% = 10%,这是同比增长速度。也有 110/100 x 100% = 110%,这是同比发展速度。
同比发展速度主要是为了消除季节变动的影响,用以说明本期发展水平与去年同期发展水平对比而达到的相对发展速度。
就年报而言,就是将下半年业绩数据与上半年业绩数据作比较。当然,多个连续时期间的统计数据的比例也是环比,比如对于2005年的工业生产销售收入可以得到12月份对11月份的环比,11月份对10月份的环比..1月份对2004年12月份的环比。这也就引出了环比增长速度与环比发展速度的概念。
环比增长速度 = (本期数-上期数)/上期数 x 100%,它反映了本期相对上期增长了多少。
环比发展速度 = 本期数/上期数 x 100%,它反映的是报告期水平与前一期水平之比,表明现象逐期的发展速度。
【例题7】我国1980年国民生产总值为4470亿元,按中央提出的到世纪末翻两番的宏伟目标,在此期间的平均发展速度应为多少?
【分析与提示】
已知a0=4470亿元an=17880亿元n=20

以上的公式,还可以变形为复利公式:
![]()
【例题8】1982年我国第三次人口普查的人口数为10.1亿人,1990年我国第四次人口普查的人口数为11.3亿人,试问在此期间我国人口的平均发展速度是多少?如果按此速度发展,则世纪末我国人口数将达到多少亿?
【分析与提示】
已知a0=10.1,an=11.3,n=8

到世纪末我国的人口数为:
![]()
【例题9】某地区2000~2005年期间工业增加值和工业生产者价格指数(PPI)资料如下表:
|
年份 |
2000年 |
2001年 |
2002年 |
2003年 |
2004年 |
2005年 |
|
工业增加值 (现价,亿元) |
2 000 |
2 200 |
2 310 |
2 400 |
2 520 |
2 620 |
|
工业生产者价格指数 (上年价格=100) |
98.7 |
97.8 |
102.3 |
106.1 |
104.9 |
103.0 |
请根据上述数据计算:
1.按现价计算该地区2001-2005年期间工业增加值的年平均增长量和增长速度;
2.按可比价计算该地区2001-2005年期间工业增加值的年平均增长速度;
3.该地区2000-2005年期间工业生产者价格年平均涨幅。
(列出计算公式即可)(2010年)
【分析与提示】
平均增长量=累计增长量/增长基期数
=(2620-2000)/5=124(亿元)
增长速度=2620/2200-1=19.09%
2、年平均增长速度=平均发展速度-1=
\* MERGEFORMAT
(可比价环比增长速度)
=
\* MERGEFORMAT -1
工业生产者价格年平均涨幅
=![]()
【例题10】甲企业近4年产品销售量分别增长9%,7%,8%,6%,乙企业这4年产品的次品率同样也分别是9%,7%,8%,6%。
问题:根据统计学原理,甲企业4年平均销售增长率和乙企业4年平均次品率是否也是同一个数值?为什么?(2006年)
【分析与提示】
甲企业4年平均销售增长率和乙企业4年平均次品率不是同一个数值?
【分析与提示】甲企业4年平均销售增长率和乙企业4年平均次品率不是同一个数值。因为甲企业4年平均销售增长率是按几何平均数的方法来计算的:
![]()
乙企业4年平均次品率是按算术平均法来计算的。
![]() |
|
| 高级统计师选课中心 | |