欢迎来到梦题库!                  请登录       注册      今天是2026/4/21
12
课程 题库 下载 答疑
你当前的位置:网站首页>>实务精讲

高级统计实务《案例分析》考点精讲18

更新日期:2016/7/5 9:52:09

第五节  偏度和峰度

一、偏度

(一)偏度的概念

总体分布有两种基本形态:对称分布和不对称分布。不对称分布就是偏态。偏度是反映不对称分布的偏态方向和程度的统计分析指标,也叫偏斜度。它结合平均数、标准差,从另一角度描述了现象总体数据分布的特点。

  偏态按偏斜方向分为左向偏态和右向偏态。当                   时为对称分布,即正态分布。如果         

  ,称为右向偏态,简称右偏,此时,算术平均数与众数之差为正值,所以,右向偏态又称正偏。如果    ,称为左向偏态,简称左偏,此时,算术平均数与众数之差为负值,所以左向偏态又称负偏。2016年高级统计师考试教材19.9元 高级统计师考试保过班338元、考试评审指导微信346401794(QQ同号)、高级统计师历年真题、大纲、报名时间、培训、高级统计师实务教程、考试电子书、考试题库、高级统计师案例分析

 (二)偏度的计算

偏度是以正态分布曲线为标准,描述分布曲线是否偏态和偏斜程度的一种量度。其量度值为偏态系数,用SK表示。

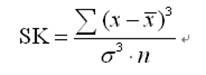
 简单偏态系数计算公式为

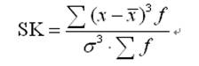
 加权偏态系数计算公式为

偏态系数不仅可以说明偏斜程度大小,还可以说明偏态方向。若SK=0,表明分布是对称的,即正态分布;若SK>0,表明是右偏分布或正偏;若SK<0,表明是左偏分布或负偏。偏态系数的绝对值越小,表示数据偏斜程度越小;偏态系数的绝对值越大,表示数据偏斜程度越大。

二、峰度

(一)峰度的概念

峰度是指数据分布平峰或尖峰的程度,也叫峰态。相对于标准正态分布而言,当标志值比较集中地分布于平均数的附近,其分布曲线就比较陡峭,属于尖顶峰度;当标志值的分布比较分散,没有很明显的集中点时,其分布曲线就比较平坦,属于平顶峰度。

(二)峰度的计算

峰度是以正态分布曲线为标准,描述分布曲线的尖峭程度的一种量度。其量度值称为峰度系数,用K表示。

简单峰度系数计算公式为

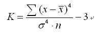
加权峰度系数计算公式为

    当SK=0,K=0时,标志值的分布为正态分布。以正态分布的峰度为标准,当K<0时,分布曲线是平顶峰度,表明频数分布比较分散;当K>0时,分布曲线呈尖顶峰度,表明频数分布比较集中。峰度系数偏离0的绝对值越小,表示数据的峰度偏离正态分布的程度越小;峰度系数偏离0的绝对值越大,表示数据的峰度偏离正态分布的程度越大。

【上一条】   【下一条】
你当前的位置:网站首页>>实务精讲

高级统计实务《案例分析》考点精讲18

更新日期:2016/7/5 9:52:09

第五节  偏度和峰度

一、偏度

(一)偏度的概念

总体分布有两种基本形态:对称分布和不对称分布。不对称分布就是偏态。偏度是反映不对称分布的偏态方向和程度的统计分析指标,也叫偏斜度。它结合平均数、标准差,从另一角度描述了现象总体数据分布的特点。

  偏态按偏斜方向分为左向偏态和右向偏态。当                   时为对称分布,即正态分布。如果         

  ,称为右向偏态,简称右偏,此时,算术平均数与众数之差为正值,所以,右向偏态又称正偏。如果    ,称为左向偏态,简称左偏,此时,算术平均数与众数之差为负值,所以左向偏态又称负偏。2016年高级统计师考试教材19.9元 高级统计师考试保过班338元、考试评审指导微信346401794(QQ同号)、高级统计师历年真题、大纲、报名时间、培训、高级统计师实务教程、考试电子书、考试题库、高级统计师案例分析

 (二)偏度的计算

偏度是以正态分布曲线为标准,描述分布曲线是否偏态和偏斜程度的一种量度。其量度值为偏态系数,用SK表示。

 简单偏态系数计算公式为

 加权偏态系数计算公式为

偏态系数不仅可以说明偏斜程度大小,还可以说明偏态方向。若SK=0,表明分布是对称的,即正态分布;若SK>0,表明是右偏分布或正偏;若SK<0,表明是左偏分布或负偏。偏态系数的绝对值越小,表示数据偏斜程度越小;偏态系数的绝对值越大,表示数据偏斜程度越大。

二、峰度

(一)峰度的概念

峰度是指数据分布平峰或尖峰的程度,也叫峰态。相对于标准正态分布而言,当标志值比较集中地分布于平均数的附近,其分布曲线就比较陡峭,属于尖顶峰度;当标志值的分布比较分散,没有很明显的集中点时,其分布曲线就比较平坦,属于平顶峰度。

(二)峰度的计算

峰度是以正态分布曲线为标准,描述分布曲线的尖峭程度的一种量度。其量度值称为峰度系数,用K表示。

简单峰度系数计算公式为

加权峰度系数计算公式为

    当SK=0,K=0时,标志值的分布为正态分布。以正态分布的峰度为标准,当K<0时,分布曲线是平顶峰度,表明频数分布比较分散;当K>0时,分布曲线呈尖顶峰度,表明频数分布比较集中。峰度系数偏离0的绝对值越小,表示数据的峰度偏离正态分布的程度越小;峰度系数偏离0的绝对值越大,表示数据的峰度偏离正态分布的程度越大。

       
高级统计师选课中心  
培训课程
名师试听
热销套餐
课程名称
试听
价格
报名
高级统计实务教程(有视频无纸质)
98元
历年考试真题含解析无纸质
48元
统计时政热点及备考资料无纸质
98元
高级统计押题密卷含热点(纸质)
158元
高级统计网授班(含题库班全套资料有视频)有纸质
339元
题库班+押题(有纸质)
298元
网授班+押题(有纸质)
439元
网页左侧浮动jquery在线QQ客服代码
  • 客服金老师