| 欢迎来到梦题库! 请登录 注册 今天是2026/4/21 |
![]() |
![]() |
12 | ||||
| 课程 | 题库 | 下载 | 答疑 |
(三)众数、中位数与算术平均数的关系
公数、中位数与算术平均数的关系,与总体分布的特征有关,可以分为以下三种情况。
(1) 当总体分布呈对称状态时,三者合而为一。
即![]()
(2) 当总体分布呈右偏时,则![]()
(3) 当总体分布呈左偏时,则![]()
在偏态分布中,如果不对称程度比较轻微,则三者间的数量关系如下。

2016年高级统计师考试教材19.9元 高级统计师考试保过班338元、考试评审指导微信346401794(QQ同号)、高级统计师历年真题、大纲、报名时间、培训、高级统计师实务教程、考试电子书、考试题库、高级统计师案例分析
四、应用平均指标应注意的问题
(一)必须注意所研究社会经济现象的同质性
计算和应用平均指标的基本前提是被研究现象必须具有某种共同的性质。也就是说,总体各个单位在某一标志上性质是相同的。只有这样才能反映总体的本质,说明总体的一般水平。
(二)必须注意用组平均数补充说明总平均数
许多平均指标的计算是在科学分组的基础上进行的,因此应重视影响总平均数的各个有关因素的作用,通过计算组平均数来补充说明总平均数,以揭示现象内部的结构,从而克服认识上的偏差。
(三)必须注意用分配数列补充说明总平均数
平均指标综合反映了现象的一般水平,但它把总体各单位的差异抽象掉了,因而掩盖了总体各单位的差异及其分配状况。因此,为了进一步分析和说明总体的数量特征,就必须要将总体各单位按被平均的标志分组,列出分配数列,以各组的具体分配情况补充说明总平均数。
(四)计算平均数时,要注意极端值的影响
算术平均数受总体中极端值的影响较大。为了正确反映总体的一般水平,当总体存在过大或过小的极端数值时,应予以剔除,然后将其余数值计算平均数。目前这种方法在文艺、体育比赛评分中应用较多。
【例题8】(2010年)平均指标反映了总体某单位数量标志的一般水平。当统计部门公布一些平均指标时,许多人会觉得与自己的实际感受存在较大差距而产生困惑。请根据平均指标的特点,分析产生这一现象的原因,并简述在实际中应如何正确使用平均数。
【分析与提示】平均指标是反映客观现象总体各单位某一数量标志一般水平的综合指标,其数值表现为平均数,故又称统计平均数。它具有两个特征:
(1)它用一个代表性数值说明被研究总体的一般水平;
(2)它把被研究总体某一数量标志在总体各个单位之间的差异给抽象了。
计算平均数的最常用的方法是简单算术平均数和加权算术平均数。
求简单算术平均数的基本公式是:平均数=标志总量÷总体总量
加权算术平均数是将变量乘权数求出标志总量,把权数相加求出总体总量,然后按上述公式计算出平均数。该方法适用于复杂社会经济现象的统计分组资料计算平均数的情形。
使用平均数时应注意了解平均数的特点,在运用算术平均数时要特别注意极端值的影响,当数据中出现特大或特小值时,平均数的代表性将减弱。这时为了克服平均数掩盖下的总体内部构成变化的影响,需要计算组平均数来补充说明总平均数,有时也采用中位数和众数的方法来代表总体的一般水平。
(三)众数、中位数与算术平均数的关系
公数、中位数与算术平均数的关系,与总体分布的特征有关,可以分为以下三种情况。
(1) 当总体分布呈对称状态时,三者合而为一。
即![]()
(2) 当总体分布呈右偏时,则![]()
(3) 当总体分布呈左偏时,则![]()
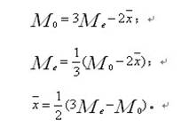
在偏态分布中,如果不对称程度比较轻微,则三者间的数量关系如下。

2016年高级统计师考试教材19.9元 高级统计师考试保过班338元、考试评审指导微信346401794(QQ同号)、高级统计师历年真题、大纲、报名时间、培训、高级统计师实务教程、考试电子书、考试题库、高级统计师案例分析
四、应用平均指标应注意的问题
(一)必须注意所研究社会经济现象的同质性
计算和应用平均指标的基本前提是被研究现象必须具有某种共同的性质。也就是说,总体各个单位在某一标志上性质是相同的。只有这样才能反映总体的本质,说明总体的一般水平。
(二)必须注意用组平均数补充说明总平均数
许多平均指标的计算是在科学分组的基础上进行的,因此应重视影响总平均数的各个有关因素的作用,通过计算组平均数来补充说明总平均数,以揭示现象内部的结构,从而克服认识上的偏差。
(三)必须注意用分配数列补充说明总平均数
平均指标综合反映了现象的一般水平,但它把总体各单位的差异抽象掉了,因而掩盖了总体各单位的差异及其分配状况。因此,为了进一步分析和说明总体的数量特征,就必须要将总体各单位按被平均的标志分组,列出分配数列,以各组的具体分配情况补充说明总平均数。
(四)计算平均数时,要注意极端值的影响
算术平均数受总体中极端值的影响较大。为了正确反映总体的一般水平,当总体存在过大或过小的极端数值时,应予以剔除,然后将其余数值计算平均数。目前这种方法在文艺、体育比赛评分中应用较多。
【例题8】(2010年)平均指标反映了总体某单位数量标志的一般水平。当统计部门公布一些平均指标时,许多人会觉得与自己的实际感受存在较大差距而产生困惑。请根据平均指标的特点,分析产生这一现象的原因,并简述在实际中应如何正确使用平均数。
【分析与提示】平均指标是反映客观现象总体各单位某一数量标志一般水平的综合指标,其数值表现为平均数,故又称统计平均数。它具有两个特征:
(1)它用一个代表性数值说明被研究总体的一般水平;
(2)它把被研究总体某一数量标志在总体各个单位之间的差异给抽象了。
计算平均数的最常用的方法是简单算术平均数和加权算术平均数。
求简单算术平均数的基本公式是:平均数=标志总量÷总体总量
加权算术平均数是将变量乘权数求出标志总量,把权数相加求出总体总量,然后按上述公式计算出平均数。该方法适用于复杂社会经济现象的统计分组资料计算平均数的情形。
使用平均数时应注意了解平均数的特点,在运用算术平均数时要特别注意极端值的影响,当数据中出现特大或特小值时,平均数的代表性将减弱。这时为了克服平均数掩盖下的总体内部构成变化的影响,需要计算组平均数来补充说明总平均数,有时也采用中位数和众数的方法来代表总体的一般水平。
![]() |
|
| 高级统计师选课中心 | |