| 欢迎来到梦题库! 请登录 注册 今天是2026/4/21 |
![]() |
![]() |
12 | ||||
| 课程 | 题库 | 下载 | 答疑 |
(五)中位数
1.中位数的含义
将总体各单位的标志值按大小顺序排列,处于中间位置的那个标志值即为中位数,用表示。中位数将数列分为相等的两部分,一部分的标志值小于中位数,另一部分的标志值大于中位数。由于中位数的位置居中,其数值不受极端数值的影响,也能代表总体标志值的一般水平。
2.中位数的确定方法
(1) 由未分组的资料确定中位数。首先要将总体各个标志值按大小顺序依次排列,然后确定中位数所在的位置,与中位数所在位置相对应的标志值即为中位数。2016年高级统计师考试教材19.9元 高级统计师考试保过班338元、考试评审指导微信346401794(QQ同号)、高级统计师历年真题、大纲、报名时间、培训、高级统计师实务教程、考试电子书、考试题库、高级统计师案例分析
如果标志值的项数是奇数,那么居于中间位置的那个标志值,就是中位数。
如果标志值的项数是偶数,则居于中间位置的两项数值的算术平均数是中位数。
(2) 由单项数列确定中位数。首先用公式
确定中位数的位置;其次计算各组的累计次数(向上累计次数或向下累计次数);最后根据中位数的位置找出中位数。
(3) 由组距数列确定中位数。首先用公式
确定中位数所在组的位置;其次计算各组的累计次数(向上累计次数或向下累计次数);最后依据公式计算中位数的近似值。其计算公式如下。
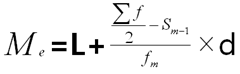
下限公式(向上累计时用):

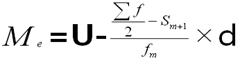
上限公式(向下累计时用):

式中: L ——中位数所在组的下限;
U——中位数所在组的上限;
ƒm——中位数所在组的次数;
Sm-1——中位数所在组以前各组的累计次数;
Sm+1——中位数所在组以后各组的累计次数;
∑ƒ——总体单位总数;
d ——中位数所在组的组距。
【例题7】
|
按年销售额分组/万元 |
营业员人数/人 |
|
50~60 60~70 70~80 80~90 90~100 100以上 |
24 48 105 60 37 26 |
|
合计 |
300 |
要求:计算中位数。
【分析与提示】
|
按年销售额分组 /万元 |
营业员人数/人 |
向上累计次数/人 |
向下累计次数/人 |
|
500-600 600-700 700-800 800-900 900-1000 1000以上 |
24 48 105 60 37 26 |
24 72 177 237 274 300 |
300 276 228 123 63 26 |
|
合计 |
300 |
- |
- |
下限公式(向上累计时用):

上限公式(向下累计时用):

(五)中位数
1.中位数的含义
将总体各单位的标志值按大小顺序排列,处于中间位置的那个标志值即为中位数,用表示。中位数将数列分为相等的两部分,一部分的标志值小于中位数,另一部分的标志值大于中位数。由于中位数的位置居中,其数值不受极端数值的影响,也能代表总体标志值的一般水平。
2.中位数的确定方法
(1) 由未分组的资料确定中位数。首先要将总体各个标志值按大小顺序依次排列,然后确定中位数所在的位置,与中位数所在位置相对应的标志值即为中位数。2016年高级统计师考试教材19.9元 高级统计师考试保过班338元、考试评审指导微信346401794(QQ同号)、高级统计师历年真题、大纲、报名时间、培训、高级统计师实务教程、考试电子书、考试题库、高级统计师案例分析
如果标志值的项数是奇数,那么居于中间位置的那个标志值,就是中位数。
如果标志值的项数是偶数,则居于中间位置的两项数值的算术平均数是中位数。
(2) 由单项数列确定中位数。首先用公式
确定中位数的位置;其次计算各组的累计次数(向上累计次数或向下累计次数);最后根据中位数的位置找出中位数。
(3) 由组距数列确定中位数。首先用公式
确定中位数所在组的位置;其次计算各组的累计次数(向上累计次数或向下累计次数);最后依据公式计算中位数的近似值。其计算公式如下。
下限公式(向上累计时用):

上限公式(向下累计时用):

式中: L ——中位数所在组的下限;
U——中位数所在组的上限;
ƒm——中位数所在组的次数;
Sm-1——中位数所在组以前各组的累计次数;
Sm+1——中位数所在组以后各组的累计次数;
∑ƒ——总体单位总数;
d ——中位数所在组的组距。
【例题7】
|
按年销售额分组/万元 |
营业员人数/人 |
|
50~60 60~70 70~80 80~90 90~100 100以上 |
24 48 105 60 37 26 |
|
合计 |
300 |
要求:计算中位数。
【分析与提示】
|
按年销售额分组 /万元 |
营业员人数/人 |
向上累计次数/人 |
向下累计次数/人 |
|
500-600 600-700 700-800 800-900 900-1000 1000以上 |
24 48 105 60 37 26 |
24 72 177 237 274 300 |
300 276 228 123 63 26 |
|
合计 |
300 |
- |
- |
下限公式(向上累计时用):

上限公式(向下累计时用):

![]() |
|
| 高级统计师选课中心 | |