| 欢迎来到梦题库! 请登录 注册 今天是2026/4/20 |
![]() |
![]() |
12 | ||||
| 课程 | 题库 | 下载 | 答疑 |
6.国民经济核算中的资产负债表与财政部国有资产报告的关系
国民经济核算中的资产负债表是按照国民经济核算标准编制,由统计部门负责编制。国有资产报告是根据《关于建立国务院向全国人大常委会报告国有资产管理情况制度的意见》的要求,由财政部门负责编制。两者既有联系,又有区别。
核算目的不同。国民经济核算中的资产负债表的目的,是揭示特定时点上一个国家或地区资产和负债的总量、分布和结构,包括政府、居民、非金融企业、金融机构等机构部门的资产负债信息,以摸清“家底”,揭示风险,服务政府管理。财政部国有资产报告反映各类国有资产的基本情况,以摸清国有资产家底,推动规范和改进国有资产管理,实现国有资产监督制度化、规范化。
核算对象不同。国民经济核算中的资产负债表以整个经济总体和机构部门,即非金融企业部门、金融机构、广义政府部门和住户部门为核算对象,既包括国有部门,又包括非国有部门。财政部国有资产报告的核算对象是国有非金融企业、国有金融机构和广义政府,只包括国有部门,不包括非国有部门。国有资产报告的核算对象在SNA中统称公共部门。
核算内容不同。国民经济核算中的资产负债表核算的是经济总体和机构部门的资产、负债及资产净值,全部为价值量核算。资产分为非金融资产和金融资产,每项资产和负债又按照国际标准,结合我国国情,进行了详细分类。财政部国有资产报告反映国有资产总体情况,除资产总额、负债总额,还包括营业收入、利润及国有企业负责人平均薪酬等与国有企业有关的经济指标,也包括按实物量核算的水资源、矿产、煤炭等自然资源拥有量。
资产负债分类不同。国民经济核算中的资产负债表按照资产使用特征及性质分类,把资产划分为非金融资产与金融资产,负债指金融负债,其内容与金融资产相同;财政部国有资产报告中只有资产和负债两类,未对资产和负债进行细分类。
计价方法不同。广义政府部门资产负债表原则上采用市场交易价格估价,若没有市场交易价格,采用合适的估价方法核算;财政部国有资产报告遵循会计核算原则,数据来自会计报表,主要采用历史成本法计价。
7.资产负债表中资产净值的经济含义
资产净值是指资产负债核算中机构部门或经济总体全部资产(即非金融资产和金融资产之和)减去全部负债后的差额,是机构部门和经济总体所拥有财富的真实体现。资产大于负债用正数表示,反之用负数表示。按照国民经济核算原理,投资者投入企业的股权资产属于投资者的金融资产,同时作为被投资企业的金融负债,这与企业财务会计资产负债表将股权作为企业的净资产(所有者权益=资产一负债)记账方式不同。因此,非金融企业部门和金融机构部门的资产净值无经济含义。但对于广义政府部门和住户部门,因为其投入企业的股权资产作为金融资产核算,其资产净值反映的是本部门拥有的净资产,代表本部门的财富水平。
8.资产负债的重估价
在编制资产负债表时若直接采用企业、行政事业会计记账的概念和数据(即各类资产的价值按历史成本价格计价,不考虑和剔除核算期内市场价格变动因素的影响),其结果,一是会导致各种资本存量价值不能在一致的基础上进行加总,二是会直接影响各种资本存量价值的准确性和真实性,三是会使得国民经济核算中的流量与
存量核算在计价原则上不能相互衔接和统一。
为了克服会计核算资料的局限性,剔除市场价格变动因素的影响,使不同时期获得的各类资产在计价上具有一致性和可比性,正确核算各种资产的存量价值,根据国民经济核算的原则与规定,在编制资产负债表时,必须对每一类资产负债都按编表时点的市场价格估价。重估价的主要方法有市场现价法、永续盘存法和净现值法等。
9.永续盘存法
永续盘存法原是企业会计确定存货数量的一种方法,该方法是根据“期末存货=期初存货+本期增加一本期减少”的平衡关系,推算其期末存货。国民经济核算中,把根据这一思想对资产进行重估价的方法也称之为永续盘存法,基本公式为:
![]()
其中,K,是第t年某类资产的不变价资本存量,δ是折旧率,I,是第t年增加的某类资产(流量数据)。
根据基本公式,使用永续盘存法需要掌握的关键资料包括该资产的初始存量、资产的价格指数、使用年限、折旧方法等。在我国资产负债核算中,这些关键资料通常结合我国实际国情、各类资产的自身特点、企业所得税法对各类固定资产折旧的有关规定或国外经验数据综合考虑确定。目前,在我国资产负债表中,固定资产中的房屋与构筑物、机器与设备、研究与开发、矿藏勘探与评估、计算机软件与数据库等项目采用永续盘存法估价。
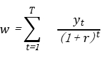
10.净现值法
净现值法是借助于资产价值的经济学定义估算资产价值的方法,某一资产的价值首先取决于该资产在其使用年限内预期获得的
租金收入(自用资产可以根据其预期收益虚拟租金收入)的价值,这里的租金收入指某一资产在每一核算期内获得的收入。由于所产生的租金收入要跨越不同年份,在核算期末要将未来年份的租金收入折算为现值。这一过程称为贴现,通常以长期债券的利息率作为贴现率。计算公式为:

其中,w指资产的价值,y,指t年租金收入,r指贴现率,T指资产使用年限。
11.股权核算的主要内容
在资产负债表中,股权属于股权投资者的资产,同时是股权发行者(融资者)的负债。股权分为上市公司股权和非上市公司股权两种。上市公司股权是指在证券交易所或有组织的金融市场上有规则地交易的公司股票。非上市公司股权是指未在证券交易所上市的权益性证券,常见于直接投资企业、私人权益资本、合资企业和非法人企业等。
根据2008年SNA核算标准,资产和负债应当采用可观测的市场价格估价。如果资产在市场上能够正规、活跃、自由地交易,则用现期市场交易价格核算。如果资产没有市场交易和市场价格,就需要按照一个假定价格进行估算,即假定在资产负债表编表日在市场上获得该资产的可能价格。因此,上市公司股权可以直接按交易价格进行估价。2008年SNA推荐了一些估算非上市公司股权的方法,比如近期交易价格法、净资产价格法等。考虑到我国基础资料情况,目前采用会计账面价值法核算非上市公司股权。会计账面价值等于实收资本、资本公积、盈余公积、未分配利润等会计项目之和,即企业所有者权益(净资产)。
2024年高级统计师报名时间 高级统计师考试教材 高级统计师报名条件及时间 统计时政热点 统计师辅导 高级统计师历年真题 高级统计师押题密卷 购买点图片
12.保险准备金核算的主要内容
保险准备金是保险人为保证其如约履行保险赔偿或给付义务,根据政府有关法律规定或业务特定需要,从保费收入或盈余中提取的与其承担的保险责任相对应的一定数量的基金,主要包括未到期责任准备金、未决赔款准备金、寿险责任准备金、长期健康险责任准备金等。非金融企业部门、金融机构部门、广义政府部门和住户部门作为投保人,持有保险准备金资产;同时,金融机构部门作为保险责任人,承担保险准备金负债。
13.社会保险基金权益核算的主要内容
社会保险基金权益是指社会保险基金净权益,包括各种社会保险形式的累计结余。目前,我国的社会保险主要包括失业保险、基本养老保险、基本医疗保险和企业年金、职业年金计划等。社会保险基金净权益,是投保人的金融资产,广义政府部门的负债。
14.知识产权产品存量核算的主要内容
知识产权产品包括研究与开发、矿藏勘探与评估、计算机软件与数据库,娱乐、文学和艺术品原件等。研究与开发是指为了增加知识储备并利用这种知识储备开发新的应用,系统性地从事创造性工作而支出的价值。矿藏勘探与评估是指对石油、天然气和非石油矿藏进行勘探,并随后对这些发现进行评估所支出的价值。计算机软件包括计算机程序、程序描述和系统与应用软件的支持材料,数据库是指某种允许高效访问和使用数据的方式组织起来的数据文件。娱乐及文学和艺术品原件是指记录或体现有戏剧表演、广播电视节目、音乐表演、体育比赛、文学和艺术作品等的影片、录音、手稿、磁带和模型等。受基础资料限制,目前仅核算研究与开发、矿藏勘探与评估、计算机软件与数据库三类,通过永续盘存法进行估价核算。
15.土地价值核算的主要内容
按照2008年SNA关于资产的定义,纳入资产负债核算范围的土地必须满足两个条件:一是某个或某些单位能够对其行使有效的所有权,二是其所有者会因对土地的持有或在一段时间内的使用而获取经济利益。
原则上,资产负债核算中应当将土地的价值与土地之上建筑物的价值分开核算,但在现实中,土地经常与其上的房屋或其他构筑物及种植园等一起被购买或出售,难以区分土地价值和其上建筑物的价值。为此,土地价值通常采用以下三种方法核算:一是如果可以直接获取其上有建筑物的土地的市场价格,可直接使用土地的市场价格对其进行估价;二是当无法直接获得土地价格的数据时,可采用土地建筑物比例法,即根据利用建筑物的重置成本或土地和建筑物的合并市场价值,与土地价值和建筑物价值的比率,推算出土地的价值;三是如果土地价值不能与其上的建筑物、种植园等分开,且后者占比较大,土地价值应一并计入建筑物、种植园。
在我国,土地与其上的建筑物一般是一同买卖,当人们购买一套住房时,并不能区分出购房款项中有多少是用于购买房子本身,有多少是用于购买楼房下面的土地。因此,在我国资产负债表中,固定资产项下的房屋和构筑物中包含了房屋和构筑物下的土地的价值,土地暂未作为一项资产单独列示。
16.金融负债与债务的区别与联系
金融负债是指一单位承担的在特定条件下对另一单位进行支付或系列支付的义务。国民经济核算中的金融负债与金融资产一一对应(金融机构部门作为储备资产而持有的货币黄金除外,货币黄金是唯一没有相应负债的金融资产),按照《中国国民经济核算体系(2016)》概念和范围,金融负债包括通货、存款、贷款、股权和投资基金份额、债务性证券、保险准备金和社保基金权益、金融衍生品和雇员股票期权、国际储备、其他。债务由所有属于债务工具的负债组成,包括通货和存款、贷款、债务性证券、保险准备金及其他应付款。债务工具是要求债务人在未来向债权人支付利息和/或本金的金融债权。债务的口径比负债要小,它不包括股权与投资基金份额、金融衍生品和雇员股票期权。
6.国民经济核算中的资产负债表与财政部国有资产报告的关系
国民经济核算中的资产负债表是按照国民经济核算标准编制,由统计部门负责编制。国有资产报告是根据《关于建立国务院向全国人大常委会报告国有资产管理情况制度的意见》的要求,由财政部门负责编制。两者既有联系,又有区别。
核算目的不同。国民经济核算中的资产负债表的目的,是揭示特定时点上一个国家或地区资产和负债的总量、分布和结构,包括政府、居民、非金融企业、金融机构等机构部门的资产负债信息,以摸清“家底”,揭示风险,服务政府管理。财政部国有资产报告反映各类国有资产的基本情况,以摸清国有资产家底,推动规范和改进国有资产管理,实现国有资产监督制度化、规范化。
核算对象不同。国民经济核算中的资产负债表以整个经济总体和机构部门,即非金融企业部门、金融机构、广义政府部门和住户部门为核算对象,既包括国有部门,又包括非国有部门。财政部国有资产报告的核算对象是国有非金融企业、国有金融机构和广义政府,只包括国有部门,不包括非国有部门。国有资产报告的核算对象在SNA中统称公共部门。
核算内容不同。国民经济核算中的资产负债表核算的是经济总体和机构部门的资产、负债及资产净值,全部为价值量核算。资产分为非金融资产和金融资产,每项资产和负债又按照国际标准,结合我国国情,进行了详细分类。财政部国有资产报告反映国有资产总体情况,除资产总额、负债总额,还包括营业收入、利润及国有企业负责人平均薪酬等与国有企业有关的经济指标,也包括按实物量核算的水资源、矿产、煤炭等自然资源拥有量。
资产负债分类不同。国民经济核算中的资产负债表按照资产使用特征及性质分类,把资产划分为非金融资产与金融资产,负债指金融负债,其内容与金融资产相同;财政部国有资产报告中只有资产和负债两类,未对资产和负债进行细分类。
计价方法不同。广义政府部门资产负债表原则上采用市场交易价格估价,若没有市场交易价格,采用合适的估价方法核算;财政部国有资产报告遵循会计核算原则,数据来自会计报表,主要采用历史成本法计价。
7.资产负债表中资产净值的经济含义
资产净值是指资产负债核算中机构部门或经济总体全部资产(即非金融资产和金融资产之和)减去全部负债后的差额,是机构部门和经济总体所拥有财富的真实体现。资产大于负债用正数表示,反之用负数表示。按照国民经济核算原理,投资者投入企业的股权资产属于投资者的金融资产,同时作为被投资企业的金融负债,这与企业财务会计资产负债表将股权作为企业的净资产(所有者权益=资产一负债)记账方式不同。因此,非金融企业部门和金融机构部门的资产净值无经济含义。但对于广义政府部门和住户部门,因为其投入企业的股权资产作为金融资产核算,其资产净值反映的是本部门拥有的净资产,代表本部门的财富水平。
8.资产负债的重估价
在编制资产负债表时若直接采用企业、行政事业会计记账的概念和数据(即各类资产的价值按历史成本价格计价,不考虑和剔除核算期内市场价格变动因素的影响),其结果,一是会导致各种资本存量价值不能在一致的基础上进行加总,二是会直接影响各种资本存量价值的准确性和真实性,三是会使得国民经济核算中的流量与
存量核算在计价原则上不能相互衔接和统一。
为了克服会计核算资料的局限性,剔除市场价格变动因素的影响,使不同时期获得的各类资产在计价上具有一致性和可比性,正确核算各种资产的存量价值,根据国民经济核算的原则与规定,在编制资产负债表时,必须对每一类资产负债都按编表时点的市场价格估价。重估价的主要方法有市场现价法、永续盘存法和净现值法等。
9.永续盘存法
永续盘存法原是企业会计确定存货数量的一种方法,该方法是根据“期末存货=期初存货+本期增加一本期减少”的平衡关系,推算其期末存货。国民经济核算中,把根据这一思想对资产进行重估价的方法也称之为永续盘存法,基本公式为:
![]()
其中,K,是第t年某类资产的不变价资本存量,δ是折旧率,I,是第t年增加的某类资产(流量数据)。
根据基本公式,使用永续盘存法需要掌握的关键资料包括该资产的初始存量、资产的价格指数、使用年限、折旧方法等。在我国资产负债核算中,这些关键资料通常结合我国实际国情、各类资产的自身特点、企业所得税法对各类固定资产折旧的有关规定或国外经验数据综合考虑确定。目前,在我国资产负债表中,固定资产中的房屋与构筑物、机器与设备、研究与开发、矿藏勘探与评估、计算机软件与数据库等项目采用永续盘存法估价。
10.净现值法
净现值法是借助于资产价值的经济学定义估算资产价值的方法,某一资产的价值首先取决于该资产在其使用年限内预期获得的
租金收入(自用资产可以根据其预期收益虚拟租金收入)的价值,这里的租金收入指某一资产在每一核算期内获得的收入。由于所产生的租金收入要跨越不同年份,在核算期末要将未来年份的租金收入折算为现值。这一过程称为贴现,通常以长期债券的利息率作为贴现率。计算公式为:

其中,w指资产的价值,y,指t年租金收入,r指贴现率,T指资产使用年限。
11.股权核算的主要内容
在资产负债表中,股权属于股权投资者的资产,同时是股权发行者(融资者)的负债。股权分为上市公司股权和非上市公司股权两种。上市公司股权是指在证券交易所或有组织的金融市场上有规则地交易的公司股票。非上市公司股权是指未在证券交易所上市的权益性证券,常见于直接投资企业、私人权益资本、合资企业和非法人企业等。
根据2008年SNA核算标准,资产和负债应当采用可观测的市场价格估价。如果资产在市场上能够正规、活跃、自由地交易,则用现期市场交易价格核算。如果资产没有市场交易和市场价格,就需要按照一个假定价格进行估算,即假定在资产负债表编表日在市场上获得该资产的可能价格。因此,上市公司股权可以直接按交易价格进行估价。2008年SNA推荐了一些估算非上市公司股权的方法,比如近期交易价格法、净资产价格法等。考虑到我国基础资料情况,目前采用会计账面价值法核算非上市公司股权。会计账面价值等于实收资本、资本公积、盈余公积、未分配利润等会计项目之和,即企业所有者权益(净资产)。
2024年高级统计师报名时间 高级统计师考试教材 高级统计师报名条件及时间 统计时政热点 统计师辅导 高级统计师历年真题 高级统计师押题密卷 购买点图片
12.保险准备金核算的主要内容
保险准备金是保险人为保证其如约履行保险赔偿或给付义务,根据政府有关法律规定或业务特定需要,从保费收入或盈余中提取的与其承担的保险责任相对应的一定数量的基金,主要包括未到期责任准备金、未决赔款准备金、寿险责任准备金、长期健康险责任准备金等。非金融企业部门、金融机构部门、广义政府部门和住户部门作为投保人,持有保险准备金资产;同时,金融机构部门作为保险责任人,承担保险准备金负债。
13.社会保险基金权益核算的主要内容
社会保险基金权益是指社会保险基金净权益,包括各种社会保险形式的累计结余。目前,我国的社会保险主要包括失业保险、基本养老保险、基本医疗保险和企业年金、职业年金计划等。社会保险基金净权益,是投保人的金融资产,广义政府部门的负债。
14.知识产权产品存量核算的主要内容
知识产权产品包括研究与开发、矿藏勘探与评估、计算机软件与数据库,娱乐、文学和艺术品原件等。研究与开发是指为了增加知识储备并利用这种知识储备开发新的应用,系统性地从事创造性工作而支出的价值。矿藏勘探与评估是指对石油、天然气和非石油矿藏进行勘探,并随后对这些发现进行评估所支出的价值。计算机软件包括计算机程序、程序描述和系统与应用软件的支持材料,数据库是指某种允许高效访问和使用数据的方式组织起来的数据文件。娱乐及文学和艺术品原件是指记录或体现有戏剧表演、广播电视节目、音乐表演、体育比赛、文学和艺术作品等的影片、录音、手稿、磁带和模型等。受基础资料限制,目前仅核算研究与开发、矿藏勘探与评估、计算机软件与数据库三类,通过永续盘存法进行估价核算。
15.土地价值核算的主要内容
按照2008年SNA关于资产的定义,纳入资产负债核算范围的土地必须满足两个条件:一是某个或某些单位能够对其行使有效的所有权,二是其所有者会因对土地的持有或在一段时间内的使用而获取经济利益。
原则上,资产负债核算中应当将土地的价值与土地之上建筑物的价值分开核算,但在现实中,土地经常与其上的房屋或其他构筑物及种植园等一起被购买或出售,难以区分土地价值和其上建筑物的价值。为此,土地价值通常采用以下三种方法核算:一是如果可以直接获取其上有建筑物的土地的市场价格,可直接使用土地的市场价格对其进行估价;二是当无法直接获得土地价格的数据时,可采用土地建筑物比例法,即根据利用建筑物的重置成本或土地和建筑物的合并市场价值,与土地价值和建筑物价值的比率,推算出土地的价值;三是如果土地价值不能与其上的建筑物、种植园等分开,且后者占比较大,土地价值应一并计入建筑物、种植园。
在我国,土地与其上的建筑物一般是一同买卖,当人们购买一套住房时,并不能区分出购房款项中有多少是用于购买房子本身,有多少是用于购买楼房下面的土地。因此,在我国资产负债表中,固定资产项下的房屋和构筑物中包含了房屋和构筑物下的土地的价值,土地暂未作为一项资产单独列示。
16.金融负债与债务的区别与联系
金融负债是指一单位承担的在特定条件下对另一单位进行支付或系列支付的义务。国民经济核算中的金融负债与金融资产一一对应(金融机构部门作为储备资产而持有的货币黄金除外,货币黄金是唯一没有相应负债的金融资产),按照《中国国民经济核算体系(2016)》概念和范围,金融负债包括通货、存款、贷款、股权和投资基金份额、债务性证券、保险准备金和社保基金权益、金融衍生品和雇员股票期权、国际储备、其他。债务由所有属于债务工具的负债组成,包括通货和存款、贷款、债务性证券、保险准备金及其他应付款。债务工具是要求债务人在未来向债权人支付利息和/或本金的金融债权。债务的口径比负债要小,它不包括股权与投资基金份额、金融衍生品和雇员股票期权。
![]() |
|
| 高级统计师选课中心 | |